sommaire
Le téléphone
en ESPAGNE
L'avènement de la télégraphie
électrique et le grand développement des réseaux
nationaux ont rapidement fait du télégraphe un moyen
de communication important et bien qu'à l'époque les
relations internationales n'avaient pas les exigences d'aujourd'hui.
Une série d'accords bilatéraux ont émergé
entre les nations, comme celui signé entre l'Espagne et la
France en 1854, qui a été remplacé en 1855 par
un autre établi par les représentants de l'Espagne,
de la France, de la Belgique, de la Suisse et de la Sardaigne, réunis
à Paris.
l'Union télégraphique d'Europe occidentale a été
créée, tout comme l'Union télégraphique
austro-allemande avait été constituée par les
pays d'Europe centrale.
Les communications au XIXe siècle étaient essentiellement
réduites à des envois postaux ou à des signaux
optiques entre des tours qui avaient une visibilité entre elles
(Télégraphe de Chappe).
Il n'y a pas beaucoup de documentation sur ce développement
du téléphone au cours du dernier tiers du XIXe et du
début du XXe siècle, mais on sait que de nombreuses
expériences et essais furent menés en Espagne, en voici
quelques extraits.
sommaire
Pour commener par le tout début, il est intéressant
d'en connaitre plus sur Bell et l'invention
du téléphone.
En 1876 Certains télégraphes
espagnols se sont rendus à l'Exposition de Philadelphie
et ont observé l'invention du téléphone,
mais étonnamment, ils ne s'y intéressaient pas particulièrement.
Cependant, le téléphone Bell des États-Unis a
été mentionné dans la presse espagnole à
une date précoce. Le premier article date du Madrid "Impartial"
d'octobre 1876, qui comprenait les nouvelles du "Journal
Officiel de la République Française" sur
une merveilleuse invention, dans lequel il traduisit la conversation
entre Thomsom et Watson avec un émetteur et un récepteur
à Philadelphie.
Le soupçon que la nouveauté du téléphone
soit passée inaperçue par la grande presse Parisienne
est alimenté par le fait qu'un de ses collègues de Madrid,
toujours à son écoute, a eu la nouvelle d'une source
française très différente.
C'était L'Impartial du 5 octobre 1876 : Dans le Journal
Officiel de la République Française, nous avons lu la
surprenante nouvelle d'une invention que nous pouvons presque qualifier
de merveilleuse:
Sir William Thomson, président de la section des sciences physiques
de la Royal Britannic Association, a récemment expliqué
à Glasgow à un public distingué les merveilles
de la science dont il avait été témoin lors de
son récent voyage en Amérique.
Parmi ceux-ci, les progrès de la télégraphie
sont si stupéfiants qu'ils semblent être des miracles
:
"Avec un seul fil, grâce à la combinaison ingénieuse
due à Elisha Gray, quatre télégrammes peuvent
être envoyés simultanément; Le télégraphe
automatique d'Edison transmet 1 015 mots en 57 secondes; mais la merveille
des merveilles est sans doute le télégraphe qui parle,
transmettant à l'extrémité opposée du
fil clairement et distinctement tout ce qui se dit au point où
il opère. J'ai entendu, dit le savant physicien, de mes propres
oreilles, et de la manière la plus intelligible, ce qu'un petit
disque circulaire reproduisait, mot pour mot, que mon collègue
le professeur Watson articulait à l'autre bout du fil. Il avait
appliqué sa bouche près d'une membrane très étanche,
qui supportait un léger morceau de fer doux, placé de
manière à ce qu'il puisse communiquer à un appareil
électrique magnétique des vibrations proportionnelles
au choc sonore de l'air. Celles-ci sont transmises par le fil au disque
à l'extrémité opposée, qui répète
fidèlement, comme je l'ai expérimenté, tous les
mots".
Cette traduction de l'Impartial est la première
nouvelle du téléphone Bell qui a été trouvée
dans les publications espagnoles, à la fois générales
et spécialisées, et la plus correcte, malgré
des inexactitudes.... je vous laisse traduire :
". Aparte su referencia a Bell como «joven aldeano inglés»,
valga como muestra, la descripción del transmisor:
... es una caja cubierta en la parte superior por una membrana elástica,
tal como una piel: en una palabra, un tambor cuadrado. Sobre una de
las superficies laterales un agujeroda paso a un tubo exterior con
su boquilla, es decir, un portavoz. Interiormente, bajo la membrana
y tocando con ella, se adelanta una ligerísima lámina
de metal, puestaen comunicación con un hilo telegráfico.
Se habla por el torna voz y la membrana retiembla;cada vibración
de ésta, fuerte o débil, larga o rápida, se comunica
a la laminitade metal y el hilo telegráfico la trasmite al
punto de destino. Tan sencillo es el aparatotrasmitidor.Seguramente
estos artículos del Imparcial serían copiados por otros
periódicos"
Ces articles de l'Impartial seraient certainement copiés par
d'autres journaux. Ce fut le cas du second, paru dans le Diario
de Cádiz le 4 novembre.
Quant à la presse technique espagnole de 1876, nous n'avons
localisé qu'une très mauvaise nouvelle du «télégraphe
parlant» dans la Gaceta de los Caminos de Hierro du 29
octobre, copiée par également le Madrid
Gaceta Industrial.
Certes, des informations très similaires ont
été copiées par le Diario de Cádiz
le 4 novembre 1876.
La Gaceta de los Caminos de Hierro a publié une
brève actualité sur «le télégraphe
parlant» en octobre 1876, copiée par La
Gaceta Industrial en 1877. El Imparcial de mars
mentionnait que les tests entre Boston et Salem et La Gaceta
Industrial de avril comprenaient la démonstration de
Salem. Época a inséré des chroniques
de New York et El Imparcial des 22 et 30 avril
comparait le téléphone parlant de Bell avec la comédie
musicale de Gray. Plus tard, le Memorial de Ingenieros et la
Revista Científico Militar du 15 juin ont produit
un article d'origines diverses citant le Scientific American avec
des dessins de la du Telephone Box de Bel (renvoi
à l'histoire du téléphone Bell).
L a Revista de Telégrafos, première publication
technique espagnole consacrée aux applications de l'électricité
de l'époque de le téléphone dans différentes
éditions de 1877. Son premier article intitulé «Sur
le téléphone parlant de Bell» du 6 avril 1877,
commentait brièvement les caractéristiques techniques
de ses premiers appareils.
Fin 1877 Bell en voyage de noce
débarque en Angleterre et en profite pour promouvoir son invention
le téléphone.
Après les premières présentations au Royaume-Uni
ou peut-être avant, certains téléphones Bell ont
commencé à circuler en Europe, provenant de ses bagages
ou envoyés directement par son beau-père, Gardiner Green
Hubbard, qui depuis le 9 juillet 1877, présidait la première
compagnie de téléphone à Boston et a cherché
à exploiter les brevets de son gendre en dehors des États-Unis.
Hubbard, d'après un courrier pour Bell, datée du 13
novembre 1877, il est écrit qu'il avait déjà
vendu deux appareils à destination de la Scandinavie et envoyé
une "livraison de téléphones" à Paris
"pour les agences scandinaves et autres". Bell lui-même
en a donné deux en octobre à Alfred Niaudet de
la Maison Bréguet, célèbres constructeurs
parisiens d'instruments scientifiques et de matériel télégraphique,
dans une interview qu'ils ont eue à Londres. (voir
la page Bell et la France)
Louis-François-Clément Bréguet, patriarche
de la maison, a remis les téléphones à ses collègues
de l'Académie des Sciences le 29 octobre 1877. Son neveu, Alfred
Niaudet, l'a fait à la Société Française
de Physique le 2 novembre 1877, et à la Société
des Ingénieurs Civils le 7 décembre 1877. Auparavant,
le 28 novembre 1877, son fils Antoine avait organisé
une manifestation dans les ateliers pour un petit groupe de journalistes.
Le journal madrilène La Iberia a publié le 11
novembre 1877 un article intéressant relatant le téléphone,
son inventeur et la présentation de Bréguet à
l'Académie, et peut-être son collègue La
Épocapara l'a basé le même jour avec un
bref reportage sur ce dernier.
Premier
téléphone Bell Breguet en France
Le Hand téléphone Bell 
sommaire
En Espagne, selon une source contemporaine
... huit jours après que M. Bréguet a dévoilé
ledit appareil [le téléphone] en France en présentant
un modèle à l'Académie des sciences de Paris,
MM. Dalmau et son fils l'ont fait connaître en Espagne,
en livrant à l'École industrielle de Barcelone
un modèle qu'ils venaient de recevoir des États-Unis.
Après quelques jours, de nouveaux téléphones
sont sortis de leur propre atelier, et ont ensuite été
testés à différentes distances.Tomás
José Dalmau García, le fils de cette société
de l'optique et de la construction d'instruments scientifiques à
Barcelone, a demandé le 19 novembre 1877 le privilège
d'introduction du téléphone à Barcelone.
A Cuba une province coloniale
de l'Espagne
1877 Cuba alors province
espagnole d'outre-mer se prépare à la célébration
du premier téléphone installé dans lepays.
Dans la nuit du 31 octobre 1877 la première communication
téléphonique connue en espagnol y est établie,
d'où son importance pour l'histoire des télécommunications
latino-américaines.
La conversation a eut lieu entre le vice-président du service
d'incendie du commerce de La Havane, le lieutenant-colone Dr
Juan J. Musset, et sa femme, la liaison était
étanlie entre la caserne des pompiers du quartier Comercio,
située au 103 rue San Ignacio (actuellement 209),
et la maison située au Numéro 24 de la rue Amargura
(actuel 110).
J.J
Musset
Selon le journal La Voz de Cuba, le 1er novembre,
un de ses collaborateurs avait assisté "au spectacle
singulier d'une conversation à voix haute, et pas très
forte d'ailleurs" qu'avaient tenu Musset et sa femme.
Les deux appareils avec lesquels ce test a été effectué
étaient du type Graham Bell et ont été fournis
par le Dr Enrique Hamel, inspecteur télégraphique
du service d'incendie.
Comme le rapporte le journal La Voz de Cuba à
cette date : "... un fil très fin qui va d'un bout
à l'autre de la ligne, et dont les extrémités
se terminent en petites boîtes d'environ dix pouces de long,
cinq de large et trois de haut. (Chaque) petite boîte a
une sorte d'embouchure très semblable au pavillon d'une
clarinette, mais plus petite. Celui qui veut parler (à
travers) l'instrument rapproche cette embouchure de la distance
d'un demi-pouce, plus ou moins, de ses lèvres, et émet
sa voix comme dans une conversation ordinaire ; tandis que celui
qui entend à l'autre bout de la ligne, applique l'embouchure
d'un autre instrument semblable à son oreille, et perçoit
les paroles avec une parfaite clarté.
Dans l'expérience (...) la conversation a duré près
d'une heure, et plusieurs personnes y ont pris part, comprenant
parfaitement ce qui se disait aux deux bouts de la ligne. Au milieu
de la conversation, l'appareil qui fonctionnait dans la rue de
la Amargura a été placé sur un piano avec
l'embouchure reposant sur le dessus des cordes, et après
avoir joué de l'instrument pendant un certain temps, M.
(Musset) a demandé s'il avait bien entendu le piano, elle
répondit aussitôt ; 'Il a été parfaitement
entendu; Vous avez joué Las Malagueñas'. Et il en
fut ainsi, en effet."
Dans le but exprès de rendre public un fait aussi
transcendantal, une démonstration publique de l'utilisation
du téléphone a été convoquée
le 2 novembre de la même année, entre les
mêmes points où la conversation précédente
avait eu lieu.
La réunion a réuni les autorités gouvernementales
coloniales, des journalistes et diverses personnalités,
dont le docteur Nicolás José Gutiérrez, président
de l'Académie royale des sciences médicales, physiques
et naturelles de La Havane.
On sait d'après les chroniques que plusieurs des personnes
présentes parlaient au téléphone en espagnol,
français et anglais. A cela s'ajoutait la transmission
de diverses pièces musicales jouées au piano par
une fille de M. Musset, ainsi que quelques sonneries de clairon.
Depuis le 2 novembre 2009, une plaque commémorative
située sur la façade de la maison numéro
101A d'Amargura entre Cuba et San Ignacio, dans la Vieille Havane,
nous rappelle cette première conversation téléphonique
dans la langue de Cervantes.

En 1879, le marchand Enrique B. Hamel introduit
dans la capitale cubaine des exemplaires fabriqués par
la Tropical American Telephone &
Telegraph Company, propriété du consortium
J. P. Morgan & Company, une entité nord-américaine.
Ces appareils primitifs pouvaient communiquer entre eux à
une distance maximale 450 mètres et coûtaient 5
onces d'or. Cependant, il s'agissait d'expériences isolées
et non d'un service organisé avec possibilité
d'interconnexion entre ses abonnés.
Shéma dès 1877
L'installation des premiers téléphones
à Cuba devait être autorisée par le gouverneur
général de l'île, malgré le fait
que les coûts d'équipement, de câbles, etc.,
étaient assumés par le demandeur, ils dépendaient
donc des besoins et de l'initiative populaires.
De plus, à ce premier moment, la communication n'était
possible qu'entre deux récepteurs connectés l'un
à l'autre, sans l'intervention d'un opérateur,
de sorte que la réglementation étatique initiale
n'approuvait pas les lignes téléphoniques appartenant
à des propriétaires différents
.
|
sommaire
A Barcelone, Catalogne
En Espagne, la firme Francisco
Dalmau e Hijo, après avoir reçu deux appareils
de Cuba (et non pas des Etats Unis), pour l'école d'ingénieurs
de Barcelone, les premiers à arriver en Espagne le 1er
novembre 1877, via la société Havana
Trade Fire qui se les procure en Amérique, et
avec lequels les premiers tests ont été effectués
dans les laboratoires de l'école .
Les premiers tests ont été réalisés
entre deux salles isolées de l'école industrielle
de Barcelone pendant plusieurs jours en décembre, devant
les responsables des télégraphes et autres autorités.
En raison de la mauvaise qualité ou de la faible sensibilité
des téléphones Bell utilisés dans les tests,
les résultats n'étaient pas satisfaisants, en raison
de la courte distance entre les pièces.
Un autre test a été effectué sur une liaison
téléphonique au bureau télégraphique
de Mataró (Barcelone), au début de novembre
1877. La ligne était un seul fil de fer de 2 mm d'épaisseur
et 723 m de long, le retour se faisant par la terre.
Tomás José Dalmau García,
le fils de ce nom de société d'optique
et de construction d'instruments scientifiques de Barcelone,
a demandé le 19 novembre 1877 le privilège
d'introduire le téléphone Bell en Espagne. Les
dessins qui illustrent la description de l'appareil dans le
rapport présenté sont ceux du modèle portatif,
qui doit avoir été celui reçu des États-Unis
à ce moment-là. (Fichier historique de l'Office
espagnol des brevets et Marques (OEPM), dossier PR 5753. ) Le
privilège a été accordé à
Dalmau, le 20 février 1878, pour une procédure
qu'il a introduite depuis les États-Unis pour reproduire
et transmettre des sons et des voix articulés, dans leur
vrai ton, intensité et qualité, selon l'invention
du professeur Graham Bell de Boston.
La lecture d'un article paru dans le Diario de Barcelona
du 5 décembre 1877 est concluante: « Le
célèbre fabricant d'objets scientifiques M. Francisco
Dalmau y Hijo a reçu deux paires de téléphones
d'Alexandre Graham Bell, destinés à l'École
de ingénieurs industriels de cette capitale. C'est un
instrument extrêmement simple, presque aussi simple que
l'appareil acoustique qui est si répandu aujourd'hui
dans les ateliers, bureaux, etc., à la seule différence
que, comme nous l'avons déjà dit, au lieu d'être
le de la voix dans un un tube, c'est un fil électrique
qui transmet la vibration d'une plaque d'acier circulaire très
fine adaptée à l'embouchure à travers laquelle
la voix est prononcée ou reçue. Son volume est
si petit qu'il se transporte facilement dans votre poche ...
» (la traduction n'est pas très
exacte)
Bell
Williams Coffin 
(Estaciones halladas en ETSEIB) Ces faits sont issus d'un document
consultable en pdf.
1878
Ce sont deux boîtes qui sont apparues lors du travail
d'inventaire des anciens instruments de l'Escola Tècnica
Superior d'Enginyeria Industrial de Barcelona (ETSEIB) réalisé
par Jaume Valentines, qui malgré leur aspect peu attrayant,
s'est identifié comme faisant partie d'un ancien téléphone
système. L'étude ultérieure de Jesús
Sánchez Miñana et de ses collègues a aboutit
à déterminer qu'il s'agissait de deux répliques
de postes téléphoniques appelé "cercueil"
de Ch.Williams, répliques fabriqués par le constructeur
barcelonais Dalmau, Appareils pouvant dater de mi-1878
car il a été retrouvé une facture de Dalmau
indiquant: "Téléphone composé de deux
stations modèles complètes, de deux sonneries
à induction, et de quatre embouchures "
La première conférence téléphonique
à Barcelone a eu lieu à travers le circuit télégraphique
4 km de long sur la ligne militaire qui reliait les châteaux
de Montjuic et de la Citadelle, en passant par
la Capitainerie générale, le gouvernement militaire
et le Fort de Atarazonas, le 30 Décembre 1877
l'installation des téléphones en vedette raffinée
de Bell construit dans l'atelier de Nuremberg (Allemagne), de
Friedich Heller fournies par le catalan Federico Font opticien
de la Vall y Heinrich.
Les effets inductifs sur le circuit téléphonique
n'a pas empêché les autorités militaires
de converser les uns avec les autres, avec une clarté
acceptable.
Francisco Dalmau et son fils , avec des téléphones
construits par Dalmau et fils, ont essayé de communiquer
de Barcelone avec Gérone et Tarragone
à travers le fil télégraphique du chemin
de fer au début de 1878, mais d'innombrables bruits ont
été produits à la suite de l'induction.
qui les a fait échouer.
Cependant, il est considéré comme la première
tentative d'établir une communication téléphonique
longue distance en Espagne.
L'offre sur les téléphones en Espagne a été
modifiée au début de 1878: quelques-uns sont venus
de l'étranger et d'autres ont été fabriqués
en Espagne avec Los Dalmau et Enrique Bonnet à
la barre.
Cette première entre Montjuïc et la citadelle de
Barcelone, était pour les médecins Jaime Ferrán
et José Vidal Nolla, ce dernier représentant la
maison Dalmau, proche collaborateur du scientifique I.Paulí
et diffuseur de l'invention dans les médias,
En Catalogne, Les premières demandes
d'installation de lignes privées urbaines et provinciales
ont été faites en 1878.
Parmi les plus représentatives, on peut citer:
1) L'opticien catalan Federico Font a demandé
au conseil municipal de Barcelone au début de 1878 l'autorisation
de communiquer par téléphone le bureaux de quelques
industriels installés dans la capitale avec leurs usines
et ateliers situés dans les villes voisines.
Son intention était d'implanter 3 lignes équipées
d'appareils fabriqués dans les ateliers Hellery Dalmau.
Sa demande a été rejetée au motif qu'elle
allait à l'encontre de la législation en vigueur
en "installant des lignes téléphoniques pour
communiquer la capitale avec différentes villes",
ignorant qu'elles étaient de service privé et
non public. Ils ont également violé le secret
des communications télégraphiques, car les fils
téléphoniques passaient très près
des fils télégraphiques.
2 °) Le Catalan Tomás Nualart a établi
lui-même une ligne téléphonique privée
à La Garriga (Barcelone) en 1878 et il a peut-être
été le premier à travailler en Espagne,
sans connaître les détails techniques de l'installation.
L'État a contraint Tomás à payer 60 pesetas
par an pour les frais d'inspection, conformément à
l'article 36 de la R.D. du 11 août 1884 concernant le
service téléphonique.
Le 16 septembre 1928, le service automatique
a commencé à être fourni à Barcelone.
Cette même année, Bilbao, Malaga, Séville
et Valence ont eu la même chance.
|
sommaire
A Madrid
|
Les nouvelles de Cuba atteignirent immédiatement
le corps télégraphique de la métropole
et très vite ils demandèrent l'invention par la
médiation du chef de l'organisation insulaire nommée
Enrique Arantave y Bellido, qui réussit à envoyer
quelques appareils à Madrid à la fin de 1877.
Le général de Telégrafos a commencé
les premiers essais officiels à Madrid à la fin
de 1877 et le directeur du Telegraph Magazine,
M. Julián Alonso Prados, en a donné des détails
dans un article intitulé "Le téléphone"
publié le 1er mars 1878.
Les appareils utilisés ont été construits
en Espagne par le directeur de la section télégraphique,
M. Enrique Iturriaga.
L'aimant permanent de ces téléphones était
renforcé par une bobine insérée dans le
circuit d'une batterie locale, la force d'attraction de celui-ci
étant augmentée à volonté au fur
et à mesure que l'intensité des sons devait être
renforcée pour obtenir une plus grande portée.
Une communication téléphonique acceptable a été
établie le 2 janvier 1878 entre le Casón
de Telégrafos de Madrid et le ministère
de la Guerre via une batterie locale.
Deux jours plus tard, ils ont posé une deuxième
ligne de 52 km entre les Palais royaux de
Madrid et Aranjuez, constituée d'un circuit de
deux fils de fer de 5 mm. Les deux lignes représentaient
à la fois un avant et un après dans l'histoire
de l'Espagne.
L'appel inaugural a eu lieu la veille du mariage du roi Alfonso
XII d'Espagne et María de las Mercedes de Orleans,
le 22 janvier 1878.
Le même jour du mariage et comme une autre
grande invention exceptionnelle, c'était la première
fois que des lumières électriques étaient
allumées à Puerta del Sol à travers des
lanternes à arcs voltaïques.
Malheureusement les progrès du XIXe siècle
n'ont pas sauvé l'heureux couple.
Il n'y avait pas
assez d'inventions pour sauver la reine. María de las
Mercedes est décédée cinq mois plus tard
à Madrid des suites du typhus, deux jours seulement après
son 18e anniversaire.
Alfonso XII mourra également jeune,
à l'âge de 27 ans, mais avec sa seconde épouse,
María Cristina de Habsburgo, il eut trois enfants. Alfonso
XIII serait le troisième de trois frères et est
né après la mort de son père.
Les premiers modèles utilisés étaient des
téléphones Bells Box.
La box
D'autres communications ont été établies
dans les environs de Madrid au début de 1878, atteignant
des municipalités plus éloignées telles
que Tembleque (110 km les jours 5 et 6), Alcázar
de San Juan (160 km les jours 7, 8 et 9) et Manzanares
(220 km au jour 30), avec un succès remarquable.
El Cuerpo (Le Corps) a tenté de communiquer
entre Madrid et Andújar (400 km) par les
fils de ligne télégraphique le 13 février
1878 .
Malgré les bruits d'induction avec la boucle de retour,
cela fonctionnait relativement bien, transmettant et recevant
des mots avec une certaine clarté dans les deux sens.
Le Telegraph Review d'avril 1878 a donné
plus de détails sur les téléphones utilisés.
" L'appareil (Hand Téléphone) avait
un pavillon acoustique en forme de cône avec des bases
parallèles, le plus grand servant d'embout buccal et
le plus petit pour conduire les ondes sonores qui ont percuté
le diaphragme. Ce composant était une plaque circulaire
extrêmement mince de fer doux qui, lorsqu'elle était
déplacée, variait le champ magnétique d'un
aimant permanent en acier en forme de tige cylindrique. Un solénoïde
était enroulé sur un pôle de l'aimant au
moyen d'une pièce polaire magnétique qui lui servait
de noyau et ses extrémités étaient fixées
à deux vis dans le boîtier de l'appareil. D'autres
modèles (la Box) avaient un aimant permanent en
forme de fer à cheval avec un solénoïde enroulé
sur chaque pôle, générant des courants de
Foucault plus forts".
Dans toutes les expérimentations, il a été
observé que l'utilisation d'un fil de retour au lieu
du bruit de terre provenant de la transmission des circuits
voisins était étouffée, ces installations
étant généralement mises en place par l'État,
l'armée ou les responsables des chemins de fer pour des
applications spécifiques.
L'intérêt et le dévouement accordés
à la nouvelle invention par les télégraphes
espagnols du Corps se sont manifestés très tôt
dans les premières années du téléphone
en Espagne.
|
sommaire
A Valence
Ces récits à propos de Dalmau,
permettrait de comprendre que, pour autant que l'on sache, Barcelone
était le seul endroit en Europe à avoir reçu
les premiers téléphones mobiles non promotionnels,
importé des Amériques via Cuba. Belle histoire.
En ce qui concerne un autre événement à Valence,
en 1878, Vu dans le journal «LAS PROVINCIAS».
M. Juan Solís Gil "... Après avoir
développé le fil conducteur dans toute la mesure
permise par l'établissement où est imprimé
LAS PROVINCIAS, la voix transmise par l'ingénieux appareil
a été entendue différemment et clairement.
. . "
.
Vu dans la presse : Las Provincias
del 20 de Enero de 1878. |
sommaire
Les premiers pas du téléphone
à Valladolid.
|
Deux ans après que GrahamBell a déposé
son premier brevet sur le téléphone aux États-Unis,
les premières annonces concernant les nouveaux téléphones
Bell qui arrivaient dans la ville ont commencé à
apparaître dans la presse locale de Valladolid.
PREMIÈRES RÉFÉRENCES DANS LA PRESSE
LOCALE
Dans les premiers mois de 1878, les citoyens et les entreprises
ont été informés qu'ils pouvaient se fournir
en téléphone, avec 50 mètres de fil, au
C / Tallers, nº2, à Barcelone, et de la même
manière, à la gare de Valladolid pour 8 duros
la paire.
Ils ont également recueilli une brève information
sur les tests qui ont eu lieu dans certaines maisons et établissements
privés dans les derniers jours de février 1878,
pour tester les nouveaux appareils.
Plusieurs entreprises de l'époque mettent des téléphones
en vente et offrent simultanément leurs services pour
les installations et les informations sur leur fonctionnement
à partir de 1881.

- L'officier du télégraphe, D. Elías Iglesias,
fut l'un des premiers à installer des paratonnerres,
des sonnettes, des tubes acoustiques, des téléphones
et autres objets dérivés, auquel il se consacra
avec économie et perfection. sonneries
- M. Fausto Negrete a aussi annoncé la vente et l'installation
de sonnettes, de tubes acoustiques, de téléphones,
de microphones, de paratonnerres, etc. à partir de 1887
à toute personne qui avait besoin de tels services depuis
ses locaux établis au C / Panaderos, n ° 77.

- Les officiers du Telegraph Corps, M. Valiente, Asenjo et Torres,
en tant que successeurs aux affaires de M. Iglesias s'est occupé
de toutes sortes d'installations de sonnettes, tubes acoustiques,
paratonnerres, téléphones et lumières électriques
dans C / del Val, nº6, Segundo et Plaza del Teatro, nº
7, avec une certaine économie et perfection.

- En mars 1888, une publicité pour l'installation et
la réparation de sonnettes électriques, de téléphones,
de paratonnerres et de tubes acoustiques parut dans la presse
locale au C / Platerías, n ° 16, deuxième
à Valladolid, à côté de l'opticien
J. Oliva de la C / Atocha , nº 27, de Madrid, pour les
mêmes installations. Oliva les a exécutés
avec une totale économie et perfection.
- L'opticien-électricien M. Melitón Celis a établi
son entreprise de matériel optique et électrique
à C / Teresa Gil, nº5, dans les années 90
et s'est consacré à l'installation d'instruments
optiques et physiques, paratonnerres, sonnettes cloches électriques,
téléphones et autres.
- L'électricien Sebastián Battaner a ouvert
un établissement public de toutes sortes de matériel
électrique appelé «La Electra» à
C / Platerías, n ° 14, vers 1900. Battaner était
connu parmi une grande partie de la population de la ville comme
un technicien compétent de l'électricien de Castellana
Société. Depuis ses locaux, il s'occupe de toutes
les commandes qui lui sont confiées concernant les nouvelles
installations d'éclairage, les paratonnerres, les tubes
acoustiques, la téléphonie, les sonnettes et machines
électriques, ou la réparation de celles existantes.
De plus, il était dédié à la vente
publique d'innombrables accessoires électriques.
Il n'y a pas de données spécifiques sur le nombre
de téléphones vendus à Valladolid au cours
de ces premières années, mais contrairement à
ce qu'exprimait leur publicité, leur utilisation n'était
pas généralisée. Il faut tenir compte de
l'application limitée du téléphone à
cette époque, alors qu'aucune entreprise n'offrait de
service téléphonique dans la ville. Son utilisation
était limitée aux seuls appels privés,
qui consistaient en deux ou plusieurs téléphones
reliés en permanence par un ou deux fils téléphoniques.
Sa mission était d'établir une communication téléphonique
directe entre différentes dépendances d'un même
propriétaire, des points distants d'une usine, des bureaux,
des ateliers ... ou des bureaux d'un homme d'affaires avec son
domicile.
Dans le cadre de cette modalité privée, les téléphones
portables de Bell ont été utilisés, en
utilisant l'un d'eux comme émetteur à côté
de la bouche et l'autre comme récepteur attaché
à l'oreille à chaque extrémité de
la ligne.
PREMIÈRES DEMANDES DE LIGNES PRIVÉES.
Les premières références aux lignes privées
installées à Valladolid et ses environs qui sont
documentées sont les suivantes:
1er) Le 10 février 1887, la presse locale
a repris la curieuse nouvelle pour être le pionnier de
l'autorisation accordée à D. A. Rafael Guzmán,
d'installer une ligne téléphonique qui communiquerait
ses ateliers sur le trottoir de Santi Spiritu avec son établissement
en C / Constitución.
2ème) Le gouverneur civil de Valladolid fit part
au conseil municipal de son intérêt à placer
un téléphone dans le cimetière catholique
le 29 mars 1910, pour pouvoir communiquer en cas de besoin
avec son service.

Tout cela à la demande de l'inspecteur provincial de
la santé et afin de ne pas retarder le transfert des
cadavres en cas de maladies contagieuses. Quelques mois plus
tard, la Commission statistique de l'instruction et de la gouvernance
de la société compétente a conclu que même
si le démarrage du service était extrêmement
nécessaire, il n'y avait pas de poste budgétaire
dans l'année en cours et donc il serait inclus sans faute
dans le budget pour lannée prochaine.
3ème) Le chef de la section de la compagnie téléphonique
péninsulaire, M. Pascual Fernández de Cuevas,
a demandé à la mairie de Valladolid une autorisation
appropriée pour placer plusieurs poteaux téléphoniques
dans le lieu appelé Cañada de las Merinas et Camino
de la Farola le 29 mars 1910 , pour transporter la ligne
vers d'autres parties de la ville.
Le maire, à la demande de l'architecte municipal, a autorisé
ce qui était souhaité dans le chemin du lampadaire,
à condition que les poteaux soient placés à
des endroits n'interrompant pas la circulation publique et que
les précautions établies sur les conduites de
fluides électriques soient respectées. Concernant
la Cañada, l'affaire est passée au rapport de
l'Inspecteur Général de la Mesta pour se prononcer
sur les aspects pertinents de ce cheptel, sans en savoir plus
à ce sujet.
4ème) L'ingénieur industriel M. Aquilino
Sánchez Serrano et propriétaire de la centrale
électrique «La Conchita» située à
Tudela de Duero, a élaboré un projet de pose de
deux lignes téléphoniques aériennes qui
relieraient ladite centrale électrique à une sous-station
de transformation située à La Cistérniga
et les bureaux généraux de sa société
à C / Miguel Íscar, coin de C / Santiago nº
61, dans la capitale en mai 1917 et ont demandé
l'autorisation de son exécution.

«La Conchita» a produit suffisamment d'énergie
électrique pour l'alimentation et l'éclairage
de plusieurs villes voisines et pour améliorer le service,
il était nécessaire d'établir des communications
rapides avec elles. La construction et l'utilisation de ces
lignes téléphoniques étaient conformes
aux dispositions établies dans le Règlement téléphonique
du 30 juin 1914.
La 1ère ligne traversait une partie de la zone urbaine
de Valladolid soutenue par des supports en fer et des papillons
en bois sur les toits et les façades des bâtiments
et dans son parcours, il était nécessaire de traverser
la voie ferrée du Nord à proximité de la
gare de Valladolid, en continuant le bord droit de la route
de Valladolid Soria, selon son tracé dans un plan détaillé
avec une ligne noire continue.
La ligne était constituée de deux fils de bronze
au silicium de 10 à 11 mm de diamètre séparés
de 0,4 m et d'une résistance électrique de 28,5
O par km depuis son origine à Valladolid jusqu'au croisement
avec la voie ferrée.
À partir de ce moment, il est devenu en fer galvanisé
de 2 mm de diamètre avec un espacement similaire entre
les fils.
Les fils se croisent à une certaine distance pour éviter
les effets d'induction des lignes voisines.
Les supports étaient des poteaux en bois équipés
de plusieurs isolateurs en porcelaine à double cloche,
avec des supports en fer courbés de 12 mm de diamètre.
La résistance électrique de la section provinciale
était de 39 ohms par km et la résistance totale
du circuit de cette ligne était de 441 ohms.
Les conditions de résistance et de stabilité des
appuis et de la ligne répondaient aux exigences du règlement
du 7 octobre 1904, car il s'agit de poteaux épais et
respectant les valeurs de déflexion maximales admissibles
dans les différentes travées du tracé17.
La section urbaine de la 1ère ligne projetée partait
du coin C / Miguel Íscar jusqu'à C / Santiago,
traversait C / Miguel Íscar et Manteria, continuait par
Plaza Cruz Verde et traversait C / Tudela, Plaza Tudela et C
/ San Isidro jusqu'à la jonction avec le chemin de fer
du Nord.
L'image suivante représente une partie du tracé
urbain de cette ligne .
La ligne suivait le bord droit de l'autoroute Valladolid-Soria
jusqu'au voisinage des gisements d'eau à la périphérie
de Valladolid puis le long de la rive gauche jusqu'à
atteindre le poste de Cistérniga.
L'image suivante représente une
partie du tracé provincial de cette ligne: Le tableau
suivant montre le budget détaillé de cette ligne
.
Le projet initial de la ligne Valladolid - La Cistérniga
a été positivement examiné par l'ingénieur
en chef municipal de Madrid le 4 août 1917.
Le prix de cette ligne s'élevait à 1822,97 pesetas
et les stations terminales avaient des téléphones
à magnéto.
La 2ème ligne de La Cistérniga à Tudela
de Duero avait été demandée par M. Sánchez
Serrano pour la première fois le 30 novembre 1912.
Son intention était de profiter du support d'une ligne
à haute tension reliant la sous-station et la gare centrale
des deux villes, pour faciliter la pose de la section de ligne
téléphonique provinciale.
Cependant, l'installation n'a pas été effectuée
car elle n'était pas considérée comme essentielle
à ce moment-là.
Le service de la centrale électrique "La Conchita"
augmenta considérablement son activité en 1917
et Serrano demanda à nouveau la pose de cette ligne dans
son projet signé le 21 mai 1917, alléguant
son besoin évident.
La 2ème ligne projetée reliée à
la 1ère du poste de transformation de La Cistérniga
et se poursuit le long du côté gauche de l'autoroute
Valladolid-Soria, parcourant la distance entre les deux villes,
jusqu'à la fin de la centrale électrique «La
Conchita» à Tudela de Duero, à proximité
de l'autoroute. L'image suivante représente la ligne
à l'arrivée au poste de La Cistérniga
La ligne La Cistérniga-Tudela de Duero était constituée
d'une paire de fils de fer galvanisé de 2 mm de diamètre
séparés de 0,4 m.
La résistance totale du circuit de cette ligne était
de 721 ohms pour une distance totale de 9 243,8 m.
Les supports et isolateurs en fer présents dans l'installation
étaient de même classe que ceux de l'autre ligne.
Les fils de la ligne téléphonique ont été
croisés tous les 200 m ou 5 travées (40 m entre
les travées), pour éviter les effets inductifs
de la ligne à haute tension. Le tableau suivant présente
le budget détaillé de cette ligne.

Le prix de cette ligne s'élevait à 1 725,86 pesetas
et les stations terminales étaient équipées
de téléphones magnéto.
Le coût total de réalisation de l'ensemble du projet
s'élevait à 3 548,33 pesetas.
L'ingénieur industriel de la ville de Valladolide a examiné
en détail le projet présenté par Aquilino
en 1917 et a finalement accordé l'autorisation d'accréditation
le 27 août 1919, pour autant qu'il se conforme à
toutes les dispositions du règlement téléphonique
du 30 juin 1914.
5ème) M. Eloy Silió y Cortés en
tant que directeur général de la S.A. La Cerámica
domiciliée à C / Canterac, nº2, Valladolid,
a déclaré en 1922 que sa société
souhaitait installer une ligne téléphonique pour
le service de transport aérien depuis les bars situés
dans la commune de La Cistérniga jusqu'à son usine
appelée «LaProgresiva» située au C
/ Canterac, nº2.
Pour cette raison, Silió a demandé au maire, le
6 décembre 1922, un certificat de propriété
de l'usine «La Progresiva», qui lui a été
accordé aux fins pertinentes.
En l'absence de plus de données, on pense que la ligne
souhaitée a finalement été établie.
Le nombre de lignes privées installées n'est pas
exactement connu, bien que sur la base des données collectées
dans divers fonds locaux, on en déduit qu'ils étaient
peu nombreux.
Logiquement, seuls les citoyens ayant un plus grand pouvoir
d'achat pouvaient choisir d'installer ces installations au cours
des premières années d'existence du téléphone
à Valladolid.
À la suite de certaines informations parues dans le Telegraph
Magazine de l'époque, on sait que l'État facturait
aux propriétaires des lignes des droits de contrôle,
en fonction de leur longueur et de leurs caractéristiques.
Les particuliers ont également payé une redevance
annuelle à l'État de 5 pesetas par km pour obtenir
la concession.
La capitale s'adapte à un rythme lent mais régulier
aux nouveaux moyens de communication, principalement en installant
de petites installations à usage commercial ou industriel.
Le téléphone a raccourci les distances et facilité
les activités professionnelles, malgré toutes
les limitations et inconvénients du moment.
Valladolid dispose d'un service public de téléphonie
urbaine depuis la fin du XIXe siècle et la vie civique
gagne progressivement en activité et en dynamisme.
L'implantation de lignes privées dans la capitale diminuait
et son application se limitait au reste de la province et aux
zones éloignées du centre.
|
sommaire
Enrique Bonnet, Le pionnier Espagnol
Biographie
|
Une minorité d'électriciens connaissant
l'électricité et ses applications était
très bien documentée sur le téléphone.
Parmi eux, Enrique Bonnet Ballester, pionnier de la téléphonie,
s'est démarqué en Espagne.
Avant la présence des téléphones de Bell
en Europe à la fin de 1877, Bonnet a conçu, construit
et testé ses propres versions.
Il semble qu'il ait travaillé sur son téléphone
magnétique à partir de 1876 à la suite
de ce qui a été publié par El Telegrafista
Español en 1889.
Bonnet a conçu 2 appareils dans la seconde moitié
de 1876, peut-être le premier construit en Espagne.
Premier téléphone Bonnet
Réversible comme le téléphone de Bell
Son téléphone avait des qualités hautement
recommandées. L'aimant était unipolaire et se
composait de 5 barres d'acier de 13 cm de longueur, 12 mm de
latitude et 2 mm d'épaisseur, pesant entre 80 et 90 grammes.
Un cylindre en fer doux boulonné à la tête
de l'aimant servait de noyau à la bobine de fil revêtue
de l'électroaimant. Le diaphragme ou disque vibrant était
en fer doux très fin et avait en son centre un trou circulaire
d'un diamètre de 5 mm. Les éléments étaient
enfermés dans une boîte en bois composée
de deux parties cylindriques: une longue et fine qui servait
de poignée et une autre de plus grand diamètre
contenant la tête de l'aimant, la bobine de fil, la plaque
vibrante et l'embout buccal.
Une telle disposition donnait à cet appareil l'aspect
typique d'un marteau. L'aimant était très léger
et tenait deux fois son poids.
Il lui aurait été facile de lui donner une plus
grande attraction magnétique sur la plaque vibrante,
mais il a préféré le coefficient de conservation
maximum au coefficient de saturation.
La plaque vibrante était mince, sensible et très
proche du noyau de la bobine, il n'a donc pas fallu une grande
intensité magnétique pour la faire vibrer assez
fortement. La force de l'aimant et l'épaisseur de la
plaque avaient une proportion convenable selon son inventeur.
Le trou central de la plaque de fer doux a transformé
la coque du téléphone en une véritable
caisse de résonance efficace, renforçant notamment
les vibrations et permettant de bien régler l'appareil.
Comme avantages se sont démarqués la persistance
du magnétisme, le volume et la clarté de la voix
reçue, la simplicité de construction, la légèreté
(ils pesaient 90 grammes) et l'économie d'acquisition.
Ses téléphones ont été testés
dans plusieurs bureaux voisins de Cadix et ils ont fonctionné
correctement.
Le téléphone primitif de Charcoal Microphone
Bonnet avait un seul embout pour parler et écouter,
le forçant à alterner de la bouche à l'oreile.
Si vous vouliez l'utiliser sur des lignes longue distance, il
avait de sérieuses limitations comme les autres.
Bonnet en lisant quelques publications techniques en 1878 dans
les magazines de l'époque Engineering, The Nature et
The Industrial Gazette qui exposaient les caractéristiques
du microphone à crayon à charbon que Hughes avait
conçu. rapidement, il a apprécié les immenses
possibilités qu'offrirait le microphone en tant qu'émetteur
et s'est mis à concevoir et à construire son propre
modèle.
Micro Bonnet
Téléphone
Bonnet complet
Cette même année, il a développé
un microphone avec plusieurs crayons de charbon de bois.
Fondamentalement, il était composé de 6 tiges
de carbone parallèles les unes aux autres. En haut, ils
reposaient tous sur une autre barre qui formait la tête
de lit et en bas 3 jouaient sur une barre et les 3 autres sur
une autre. Cela a abouti à 2 séries égales
de 3 assemblées en série et maintenues en tension
au moyen de la tête. Toutes les barres étaient
boulonnées sur une plaque d'acajou mince, fibreuse et
répulsive dans une boîte de résonance. Quand
quelqu'un parlait devant lui, les crayons captaient les vibrations
et induisaient immédiatement des courants électriques
qui étaient transmis par la ligne au récepteur.
Les charbons mobiles avaient un diamètre de 5 mm et une
longueur de 4 cm. Les barres fixes supérieures et inférieures
étaient plus épaisses.
Bonnet présenta publiquement ses téléphones
à Cadix le 31 janvier 1878, effectuant
un petit test dans le Grand Théâtre de la ville,
avec le premier modèle de base réversible (photo
ci dessus).
Quelques jours plus tard, il mis en vente des téléphones
à 25 pesetas la paire, y compris un fil de connexion.
Ce prix était extrêmement bas par rapport aux modèles
français DArsonval (80 pesetas) et Adder (100 pesetas),
également adoptés en Espagne.
Dans le journal Diario de Cádiz
on peut lire :" Cet essai a été réalisé
par M. Enrique Bonnet, qui, après de longues études,
a réussi à construire le" téléphone
"avec toute la perfection nécessaire pour qu'il
puisse être utilisé, quelle que soit la distance
à laquelle les participants se trouvent.
Ce dont
nous avons été témoins, c'est au Grand
Théâtre, en nous plaçant au rez-de-chaussée,
dans la partie destinée au Secrétariat, nous avons
commencé à communiquer avec ceux qui étaient
au quatrième étage et à environ quatre-vingts
mètres, comme nous l'avons déjà dit.
Il y avait MM. Bonnet, Juliá, Ori et quelques autres
amis. A l'autre bout, MM. Gómez Plana et Juliá
précitée ont défilé et en mettant
l'appareil à notre oreille, nous pouvions parfaitement
distinguer le premier qui disait: «Gloire à l'inventeur
du téléphone». "Et à son constructeur
à Cadix", avons-nous répondu; dont les propos
ont été clairement et nettement appréciés
par notre interlocuteur. "
Le télégraphiste Alfonso Márquez, qui
depuis 1881 a rendu compte de tous les progrès de Bonnet
dans le magazine La Academia, a commenté que "en
1876, quand nous avons reçu des nouvelles d'Amérique
du Nord sur l'invention du téléphone, M. Bonnet
a construit un couple de ces appareils, peut-être le premier
à être connu en Espagne. "
À l'Exposition provinciale de Cadix en 1879,
Bonnet présenta une maquette d'une station de téléphone
de sa propre construction, qui en 1881 obtint une médaille
d'argent à l'Exposition internationale de l'électricité
à Paris.
Selon Alfonso Márquez
collaborateur de Bonnet, il est possible
que Enrique Bonnet ait été en avance
et soit le premier à avoir fabiquer et fait fonctionner
le premier téléphone en Espagne :
«En 1876, alors que des nouvelles
incertaines nous arrivaient d'Amérique du Nord au sujet
de l'invention du téléphone, M. Bonnet a construit
deux de ces appareils, peut-être le premier à être
essayé en Espagne, et sûrement le premier à
être construit dans notre pays.
Ceux d'entre nous qui ont eu le plaisir d'assister à
ces premiers tests, alors que le téléphone avait
encore le charme qui entoure tout ce qui est nouveau et tout
ce qui est inconnu, se souviendront toujours de l'émotion
ressentie en entendant la parole humaine, venant d'une immense
distance, à travers ces bois rugueux. trompettes ».
Au-delà de la crédibilité que mérite
l'histoire de Márquez dans son ensemble, ce paragraphe
est particulièrement cohérent car ce n'est qu'en
1876 que les nouvelles parvenues au téléphone
prêtent à confusion, et elles viennent des États-Unis.
En Espagne, aucune description n'a été trouvée
avant le 1er avril 1877, lorsque la Revista de Telégrafos
en a traité pour la première fois, insérant
la traduction d'un article de L'Elettricista deux
mois plus tôt, qui à son tour devait être
l'un des publié pour la première fois en Europe.
Il est très probable que Bonnet ait reçu à
Cadix, des magazines et des journaux des États-Unis avec
suffisamment de données pour qu'une personne de talent
puisse construire une réplique du téléphone
de Bell, un appareil très simple, bien qu'absolument
innovant.
Quoi qu'il en soit, le téléphone réversible
de Bell servait à parler et écouter alternativement,
E. Bonnet a dû se consacrer dès le début
à le perfectionner, dans une logique similaire à
celle de Gower, Ader, Edison... pour l'équiper d'un microphone
indépendant.
Lors de l'Exposition Régionale organisée à
Cadix par la Société Économique des Amis
du Pays de Cadix, en août 1879, elle présenta «des
postes téléphoniques, composés de microphone,
écouteur, sonnette, bouton d'appel».
À partir de 1880, Bonnet
a effectué plusieurs tests de son poste téléphonique
en utilisant la ligne télégraphique entre Cadix
et Séville, et plus tard entre Fregenal
de la Sierra (Badajoz) et Cadix.
Ces stations ont été testées
entre deux bureaux à Cadix en 1881, réussissant
à transmettre avec une clarté totale.
Schéma
Chaque station avait un microphone M, deux téléphones
TT ', un bouton d'appel e, une sonnerie T et un relais relié,
deux interrupteurs automatiques et deux piles: une pour le microphone
et une pour la sonnette.
Le microphone était inséré dans le circuit
primaire d'une bobine d'induction (faible résistance
3-4 Ohms), dont le secondaire (haute résistance) était
relié à la ligne. Le microphone et sa bobine d'induction
et les leviers de commutation étaient cachés dans
une boîte derrière la plaque vibrante M. Les crochets
où les téléphones étaient suspendus
en position de repos étaient une sorte d'interrupteurs
d'activation qui permettaient de passer en état d'appel.
Toujours dans l'innovation, Enrique Bonnet
conçu un petit centre manuel en 1880 pour connecter
plusieurs stations de micro-téléphone les unes
aux autres et peu de temps après, de petits réseaux
privés ont été établis à
Valence, Cordoue et Carthagène.
Enriquet Bonnet, peu de temps avant son
séjour à Madrid et à Paris en 1881, pour
des raisons inconnues, avait dédié ses téléphones
au directeur des télégraphes Federico García
del Real, qui à son tour les a donnés au Museo
del Corpo.
La Revista du 1er février, en rapportant
cela, décrit en détail les appareils et rapporte
qu'ils les ont testés et réussi à parler
clairement et d'une voix naturelle à une distance de
cinquante ou deux pieds du microphone; mais en mettant un peu
d'effort dans votre voix, vous pouvez parler à une distance
beaucoup plus grande.
Dans la même publication du 1er octobre, le chroniqueur
de l'Exposition, le télégraphe Victorio Valero
y Gómez, après une autre brève description
des téléphones, affirmait avoir pu parler à
deux mètres du microphone, recevant parfaitement, et
ajoutait: la combinaison est très appropriée pour
les auditions théâtrales ».
Eniquet Bonnet impressionné par les auditions téléphoniques
: le théatrophone,
dont il a été témoin à l'Exposition
universelle de Paris, entre le Palais de l'Industrie et l'Opéra
et la Comédie Française, décide de faire
les premières émissions connues en Espagne.
Pas un an ne s'était écoulé depuis son
retour, pour qu'il fasse de même au Théâtre
Royal de Madrid,
À son retour à Cadix, Bonnet a également
dû considérer qu'il était temps de protéger
commercialement son téléphone, et il a demandé
le brevet le 21 janvier 1882 au gouvernement civil de la ville,
Il lui a été délivré pour vingt
ans, daté du 3 juin.
|
sommaire
Rodrigo Sánchez Arjona
Le voisin de Fregenal de la Sierra (Badajoz)
Rodrigo Sánchez Arjona et propriétaire de
la dehesa "Los Mimbres" obtint une autorisation du gouvernement
à la mi-mars 1880 pour établir une ligne
téléphonique de 8 km qui relierait sa maison
de Fregenal à son domaine.
Elle est considérée comme l'une des premières
lignes provinciales établies en Espagne.
Lors d'un voyage à Paris en 1879, il acquiert deux modèles
de téléphones Gower-Bell ( fabriqués
aux USA). L'installation complète a été réalisée
par Ángel Bravo le 19 mars 1880. Le premier appel
a été un succès et seulement un ton légèrement
métallique a été apprécié à
des moments très typiques de ces appareils.
(Un rapport de Gower sur son téléphone, présenté
à l'Académie des Sciences de Paris par Théodore
du Moncel, fut publié par la Revue le 1er mars 1879.).
Modelo Gower-Bell utilizado por Arjona.
Le téléphone récepteur était logé
dans un boîtier rectangulaire en forme de bureau de 22 centimètres
de long sur 15 de large et 10 de haut et se composait des dispositifs
suivants: une bobine d'induction A, un relais F, une sonnerie
G et un récepteur Bell modifié. Ce dernier avait
un aimant avec ses pôles tournés vers le centre où
ils étaient pliés à angle droit, pour entrer
dans le corps des deux bobines. Le diaphragme vibrant a été
placé horizontalement au fond du boîtier, juste devant
un trou réalisé à cet effet au fond, pour
recueillir les vibrations reçues dans un tube acoustique
qui se fourche en deux qui se terminent par des trompettes, applicables
aux oreilles de la personne qui écoute.
Dans l'état de repos de l'appareil, les deux trompettes
étaient suspendues à deux fourches D et E dépassant
de la boîte. Ces crochets remplissaient la fonction de commutateurs
automatiques et établissaient les différents circuits
de fonctionnement : sonnerie pour recevoir les appels et téléphone
pour écouter (récepteur) et parler (microphone).
Pour l'assemblage du téléphone, il y avait disposé
sur une table verticale sur laquelle la boîte était
supportée par 4 boutons ou vis de pression avec les lettres
suivantes: L, Z, C et C 'qui représentaient respectivement
ligne, terre et zinc, cuivre et cuivre de la batterie locale.
Il disposait également de deux interrupteurs circulaires
et d'un bouton d'appel pour la sonnerie LL placés en haut
de la table. Ce poste micro-téléphonique complet
offrait la possibilité d'établir une communication
vers un seul fil fermant le circuit par la terre, ou vers deux
fils par moyen d'un fil de retour. La photo suivante vous permet
de vous faire une idée en détail de l'apparence
externe de l'un de ces appareils
Les deux interrupteurs circulaires servaient à diriger
les fils de ligne et de batterie lors de la conversation.
Le microphone était installé dans la partie supérieure
de la boîte et avait une forme hexagonale avec plusieurs
barres métalliques inclinées, suivant le modèle
de l'émetteur Crossley. Les barres a, b et c et d, e et
f étaient connectées aux deux fils de retour qui
fermaient le circuit de liaison.
Cette union a été vérifiée au moyen
d'une sorte de chaîne constituée de tubes remplis
de carbone.
Sánchez Arjona a de nouveau demandé au gouvernement
de lui accorder une nouvelle autorisation d'utiliser les fils
télégraphiques de Fregenal à Séville
et Cadix. Le permis souhaité a été obtenu
à la fin de 1880 et les essais ont été
effectués les 27 et 28 décembre 1880 et d'autres
jours de janvier 1881 avec des résultats assez satisfaisants.
Tout d'abord, ils se sont entretenus avec Séville, puis
avec Cadix. A Fregenal, un téléphone Gower-Bell
a été utilisé et en Andalousie les stations
de micro-téléphone Bonnet.
La presse nationale et étrangère a repris l'événement
avec des éloges très émouvants.
Plus tard, Rodrigo a planifié un réseau provincial
entre différentes villes d'Estrémadure. Cependant,
cette initiative n'a pu être menée à bien
si tôt en raison de la résistance officielle exercée
par le gouvernement et de la priorité accordée à
la mise en place de réseaux urbains dans les principales
capitales du pays. |
sommaire
Bien que le fonctionnement des téléphones
soit déjà expliqué dans d'autres pages du site,
reprenons ce fonctionnemnt en détail.
CARACTÉRISTIQUES DES INSTALLATIONS.
|
Les Téléphones magnétiques
Ce type d'installation utilise des appareils simples et peu
coûteux comme le téléphone Bell Hand-Téléphone
(butterstamp) ou Siemens de 1877.
Un seul téléphone magnétique ordinaire
par individu suffisait, s'il est utilisé de manière
appropriée, alternant comme émetteur à
la bouche et récepteur à l'oreille.
Fondamentalement, il était composé d'une barre
d'acier magnétisée terminant l'un de ses pôles
par une bande de fer doux, sur laquelle une bobine de fil de
cuivre isolé était fixée.
Ses deux extrémités étaient reliées
à deux bornes fixées sur l'anneau en ébonite
qui servait de couvercle à l'instrument. La fine plaque
de fer vibrante se tenait devant la bande de fer doux.
Pour l'utiliser comme émetteur, il était porté
devant bouche. Les vibrations sonores produites faisaient vibrer
la la plaque et induisait des courants électriques alternatifs
représentatifs des mots prononcés par l'utilisateur.
Dans son utilisation comme récepteur, on le portait l'oreille.
Les courants électriques alternatifs traversaient la
bobine, par magnétisme faisant vibrer la plaque et reproduisait
fidèlement les sons d'origine (mais avec un affaiblissement).
La communication du téléphone émetteur
avec le récepteur au moyen d'un conducteur électrique
pouvait transmettre jusqu'à une distance relativement
longue suivant les conducteurs utilisés.
Les téléphones unipolaires de Bell (Hand Téléphone)
ont été utilisés en premier et plus tard
des téléphones bipolaires de Bell, Ader,
dArsonval, Breguet, etc.
Peu de temps après l'installation des premières
lignes, le bruit dérivé des effets inductifs a
eu une influence négative plus ou moins grande sur la
transmission téléphonique via les lignes privées.
Pour cette raison, il a été avantageusement remplacé
en plaçant deux téléphones de chaque côté
de la ligne, l'un en tant qu'émetteur et l'autre en tant
que récepteur.
Les fils conducteurs des installations intérieures étaient
des fils de cuivre isolés et à lextérieurs,
du fil de fer nu ou du fil de cuivre étaient généralement
utilisés, fils soutenus par des isolateurs en porcelaine
à double cloche, fixés sur la quincaillerie des
bâtiments et sur des poteaux plantés dans le sol.
Shéma en 1877
Télphone
Bell 1877
Hand Téléphone
Les deux bornes de ces appareils pouvaient être reliées
à deux conducteurs de ligne, bien que dans les petites
installations, il n'y avait généralement qu'un
seul fil et la deuxième borne était connectée
à la terre, par un corps métallique qui touchait
un sol humide, un puits ou même de l'eau
C'était des installations simples pour communiquer au
moyen de lignes particulières entre les différentes
dépendances d'un même propriétaire, installations
généralement destinées à une activité
domestique, industrielle ou commerciale.
Dans les premières lignes posées, un système
d'appel (ou d'avertissement) type "trompette" a été
utilisé qui nécessitait de souffler dans l'embouchure
de l'émetteur, pour faire vibrer la plaque réceptrice
très énergiquement. (systèmes Gower, Siemens
...). Ce principe n'a pas duré longtemps.
Pour compléter une installation, il fallait comme on
vient de le voir deux téléphones (ou paire de
téléphones) reliés par un fil ligne pour
communiquer (parler et/ou écouter) et une sonnerie permettant
de signaler à la station appelée d'avertir l'utilisateur.
Dans la grande majorité des cas, on souhaitait générer
un signal d'une intensité sonore suffisante, facile à
capter pour tout utilisateur.
Il a alors été inventé deux systèmes
d'avertisseurs différents :
1 - le Buzzer ou Sonnette
à courant continu produit par une batterie genre
pile Leclanché, ou il suffisait
d'appuyer sur le bouton d'appel du poste d'origine pour faire
sonner la sonnette du poste destinataire.
Modèle Bell avec bouton d'appel
Sonnette à courant continu
Cependant, ces types d'installations nécessitaient au
départ un grand nombre d'éléments de batterie
pour fonctionner, dont l'efficacité dépendait
dans une large mesure de leur conservation.
Dans certains modèles de postes, le simple fait de soulever
le récepteur de son support et le mettre à l'oreille,
le support ou crochet commutateur, connectait la ligne à
la batterie, pour établir automatiquement l'appel et
la conversation sans avoir besoin d'utiliser un bouton.
2 - la sonnerie à courant alternatif
produit par une génératrice à manivelle,
appelé téléphone à appel magnétique.
Le fait de tourner la manivelle faisait sonner la sonnette du
poste destinataire. Comme les modèle Ericsson "Squelette"
ou "machine à coudre" ... Il n'y avait pas
besoin de pile supplémentaire pour faire fonctionner
ces appareils.
C'est Watson qui le premier a
inventé la sonnerie magnétique pour le téléphone
, brevet déposé le 1er Août 1878
Il y a après le Système Ader d'avertisseur téléphonique
sans pile, à signal visible, Brevet Gower-Ader
du 30 septembre 1879 n° 132944
mais cet appareil fonctionnait assez mal dans le central téléphonique
Gower de Paris,

Chacune de ces procédures permettait d'initier une conversation
à une station et un utilisateur destinataire percevrait
rapidement le présence d'un appel entrant.
Les téléphones à appel magnétique
avec génératrice et sonnette à courant
alternatif
Les sonnettes électriques alimentées par le courant
d'une magnéto sont finalement devenues populaires dans
de nombreux postes d'abonnés téléphoniques,
après avoir déjà essayé d'autres
systèmes acoustique ou buzzer à courant continu.
La communication avec deux téléphones à
sonnerie magnétiques utilisant un ou deux fils était
possible, mais il est devenu nécessaire d'ajouter une
autre série de dispositifs auxiliaires à la station
pour générer le courant d'appel afin de signaler
un appel entrant : la magnéto, la génératrice.
Premier modèle
La magnéto
Les aimants ou alternateurs étaient simplement des générateurs
électriques à entraînement mécanique,
basés sur le mouvement rotatif d'une bobine de fil à
proximité d'aimants permanents. Ces dispositifs étaient
constitués de 2 parties: l'aimant ou générateur
du courant d'appel et la sonette ou récepteur des appels.
L'appareil muni de deux ou trois barres d'acier aimantées
en forme de fer à cheval, génére un champ
magnétique. Autour de ces aimants tourne une bobine de
fil (modèle Siemens ou similaire), qui était mise
en mouvement par plusieurs roues dentées guidées
par une manivelle à l'extérieur de l'appareil.
Chaque révolution de la bobine génére un
courant alternativement, qui circule à travers la ligne
jusqu'à la station finale. Dans certains générateurs,
jusqu'à 5 aimants permanents sont été placés
sous de forme de fer à cheval pour augmenter encore les
effets magnétiques et obtenir des courants induits plus
intenses. La rotation de la manivelle transforme l'énergie
mécanique en électricité (courant d'appel)
au sein du champ magnétique de l'aimant, d'où
le nom de générateur ou magnéto. Dans des
conditions ordinaires, une personne fait tourner la manivelle
à une vitesse d'environ 200 tours par minute, ce qui,
sous un rapport d'engrenage de 5:1, peut aller jusqu'à
1000 tours par minute à partir du générateur
et un courant de 1000 cycles par minute. De cette manière,
une série de courants induits de 75 V de tension et de
25 à 40 cycles / seconde de fréquence et généré
à partir du dispositif d'abonné lui-même,
ce coutrant traverse la ligne et alimente la sonnette de réception,
la faisant sonner avec une force suffisante. L'aimant ést
complété par un crochet commutateur sur lequel
le téléphone était suspendu. Le poids du
récepteur supportait le crochet contre un contact inférieur
et dans cette position isole les organes téléphoniques,
ne laissant plus que les appareils d'appel dans le circuit.
Lorsque le téléphone est décroché,
l'appareil met le téléphone et le microphone dans
le circuit de conversation.
Le dispositif mécanique avait également un interrupteur
automatique qui supprimait la bobine du générateur
pendant que le générateur ne fonctionnait pas,
afin de ne pas introduire de résistance passive dans
la ligne.
Côté
sonnerie distante, l'un des pôles de l'aimant en fer à
cheval polarise l'armature, tandis que l'autre pôle magnétise
aux centres des bobines. Les courants qui traversent les deux
bobines augmente ou diminue alternativement l'aimantation des
noyaux, attirant l'armure qui frappe le marteau successivement
contre les timbres de la sonnerie dans un sens ou dans l'autre.
Dans des stations particulières, il était possible
d'effectuer des tests de plus grande importance.
De nouveaux câbles aérienns ont été
poses dans certaines rues au-dessus des maisons, obtenant des
résultats assez favorables dans plusieurs cas. Au contraire,
lors de l'installation de lignes destinées à communiquer
deux à deux séparés par une distance de
quelques kilomètres, on a immédiatement observé
que dans la station de réception la clarté et
l'intensité des sons reçus diminuaient considérablement.
Ces types de difficultés étaient notables, mais
très vite le microphone a remédié à
ces déficiences intrinsèques des premiers téléphones
magnétiques et élargi son champ d'application.
Progressivement, des tests ont été réalisés
à une plus grande distance, atteignant la périphérie
de Valladolid et les zones rurales de sa province, comme le
montre les exemples précités.
Les installations d'une certaine longueur devaient avoir un
microphone pour obtenir une qualité adéquate dans
les transmissions .
Les Téléphones à Microphones à
charbon
C'est Hughes
l'inventeur du microphone à charbon, et Edison
qui amélirera le microphone en brevetant un microphone
composé d'un bouton de poudre de carbone molle comprimée
en mars 1877.
L'utilisation limitée des téléphones magnétiques
a conduit à l'incorporation du microphone comme élément
émetteur dans les stations privées.
Cet appareil convertissait le courant continu fourni par une
batterie en courants ondulaires lorsque on parle devant la plaque
vibrante.
Le courant circule le long de la ligne et reproduit fidèlement
la parole sur la membrane de réception de tout téléphone
magnétique situé dans la station distante.
Ce type de systèmes téléphoniques intégrés
dans une station particulière, ainsi que les dispositifs
auxiliaires pour le début et la fin de la conversation,
étaient appelés téléphones voltaïques,
en référence à la batterie électrique
pour alimenter le microphone afin de le différencier
des téléphones magnétiques ordinaires et
simples.
Le principe de fonctionnement du microphone reposait sur la
propriété qu'ont certains corps, et tout particulièrement
le carbone, «d'être plus ou moins conducteurs d'électricité
selon qu'ils sont plus ou moins comprimés». Ce
phénomène était plus sensible si le matériau
utilisé était plus sensible à la compression.
Le microphone était composé de morceaux de carbone
plus ou moins volumineux, légèrement pressés
l'un contre l'autre. Lorsque des vibrations étaient imprimées
sur ces charbons, la pression entre les contacts et la conductivité
du circuit changeait et par conséquent la résistance
offerte par celui-ci et l'intensité du courant.
Les vibrations sonores de la voix étaient transmises
aux charbons au moyen d'une membrane vibrante devant laquelle
on parlait.
La transmission des mots à travers des téléphones
voltaïques pourrait être réalisée de
deux manières différentes, donnant lieu à
deux modalités de circuits avec microphones dans la station
particulière.
Circuit avec microphone à charbon 
Le courant fourni par la batterie circule dans les différents
charbons du microphone qui produit le corant ondulatoire, circule
dans la ligne et agit sur la membrane réceptrice à
l'autre extrémité de la ligne. Dans la situation
de repos de la station, le courant n'a subi aucune altération
lors du passage à travers les charbons, mais en parlant
devant la plaque vibrante, les ondes sonores transmettent des
vibrations aux charbons, la pression entre les contacts est
modifiée et par conséquent l'intensité
du courant de la pile qui circule sur la ligne.
Le courant continu de la batterie a acquis un caractère
d'onde une fois qu'il est passé à travers le microphone,
mais il n'a pas changé de nature puisqu'il s'agissait
d'un courant voltaïque ordinaire. Cela attire plus ou moins
la plaque vibrante réceptrice, reproduisant clairement
les vibrations émises par la plaque vibrante émettrice.
Les quelques magasins vendant du matériel électrique
et téléphonique à Valladolide ont commencé
à proposer des variétés de microphones
et à leurs clients tels que le Berliner, Blake,
Crossley, Ader, etc.
Au début les microphones étaient composés
de crayons de charbon à contacts multiples, par la suite
le microphone à poudre de charbon améliorant le
système, la qualité et la fiabilité des
téléphones se généralisera autour
des années 1900.
Depuis la fin du XIXe siècle, la grande majorité
des postes était posée sur des bureaux ou des
consoles et la plaque vibrante était verticale ou légèrement
inclinée. Les microphones nécessitaient environ
3-4 cellules de batterie Leclanché pour fonctionner
et plus pour certains modèles si vous vouliez communiquer
un peu loin.
La portée de transmission téléphonique
sur une ligne donnée dépendait de la force électromotrice
de votre batterie, c'est-à-dire du total nombre d'éléments
mis en série.
Circuit avec microphone et bobine d'induction
C'est Edison l'inventeur de
l'utilisation de la bobine d'induction au fonctionnement
du téléphone.
Pour éviter d'utiliser un grand nombre de piles et augmenter
la puissance du microphone, une bobine d'induction est
insérée dans le circuit microphonique, constituée
d'une bande de fer doux sur l'enroulement primaire recouvert
de deux couches de fil d'environ 1 mm de diamètre.
Les deux extrémités de ce conducteur etant reliées
d'un côté à la pile et de l'autre au charbon
supérieur du microphone.
Un deuxième fil plus mince de 0,25 à 0,2 mm de
diamètre est enroulé sur le premier et ses extrémités
sont fixées respectivement à la ligne et à
la terre.
La bobine d'induction
Avec cet agencement, le courant de la batterie ne circulait
qu'à travers les charbons et le gros fil de la bobine
(primaire). En parlant devant la plaque vibrante, cela fonctionnait
de la même manière que précédemment,
à la différence que dans ce cas, dans le fil mince
secondaire de la bobine les courants induits étaient
amplifiés par la bobine d'induction.
Il ne s'agit plus d'un courant voltaïque comme dans le
cas précédent. Les courants induits avaient une
tension élevée et étaient donc plus facilement
perdus dans l'air et les supports. Cependant, ils étaient
plus adaptés à la reproduction de la parole et
étaient préférables dans les systèmes
de transmission téléphonique des lignes longues.
Les microphones nécessitaient au moins 4 cellules de
batterie Leclanché pour fonctionner.
La portée de transmission téléphonique
sur une ligne donnée dépendait de la force électromotrice
de sa batterie ou du nombre de cellules dont elle était
composée. et les conditions spécifiques du primaire
et du secondaire de la bobine d'induction du microphone .
Les Systèmes à batterie locale
( BL )
Les terminaux téléphoniques qui comprenaient un
microphone appartenaient aux systèmes de batteries locaux.
Chaque utilisateur disposait, dans sa dépendance particulière,
des éléments de batterie nécessaires pour
alimenter le microphone dans un boîtier externe proche
de l'appareil. D'ou le nom de batterie locale.
Ce diagramme représente les éléments de
base de ce système, Son fonctionnement est celui de la
figure précédente.

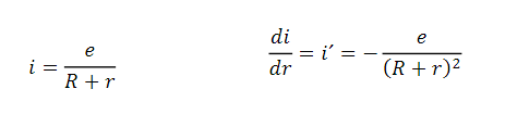
Première formule : Si e est la f.e.m (force électro
motrice) . À partir des piles qui alimentaient le microphone,
r qui est sa résistance variable, et R
qui la résistance du reste du circuit, le courant traversant
le microphone a été calculé suibant la
deuxième formule.
Cette expression a permis de déduire rapidement que ladite
variation était inversement proportionnelle au carré
de la résistance totale du circuit dans lequel le microphone
était inséré, y compris sa propre résistance.
Le fonctionnement du microphone était d'autant plus efficace
que les variations de courant qu'il produisait étaient
importantes.
En conclusion, il était souhaitable que
la résistance du circuit local du microphone soit aussi
petite que possible.
La seule résistance considérable était
la bobine d'induction du primaire du transformateur, qui a été
essayé de ne pas dépasser la valeur de 3 ohms.48.
Un microphone à granules de carbone standard avait des
résistances allant de 5 à 50 ohms, en fonction
des caractéristiques acoustiques des ondes sonores. impacté
contre sa membrane vibrante. Les limites des variations de résistance
dans le circuit local allaient d'un minimum de 8 ohms à
un maximum de 53 ohms. Il y a donc eu une augmentation considérable
de plus de 6,7% entre les deux plafonds environ.
Les variations de courant générées par
le microphone dans le circuit local ont été converties
en courants induits de haute intensité qui circulaient
dans la ligne, grâce à un rapport de transformation
adéquat entre les enroulements primaire et secondaire
du transformateur.
Le schéma suivant montre deux stations particulières
équipées de un système de batterie local
connecté en série par double fil.

L'enroulement induit ou secondaire avait un plus grand nombre
de spires pour augmenter le potentiel de transformation des
courants.
De son côté, l'enroulement inductif ou primaire
lié au microphone avait un fil épais pour réduire
au maximum la résistance du circuit local.
Si le microphone est connecté en série à
la ligne de conversation, le récepteur téléphonique
et la sonnerie d'alerte présente une résistance
élevée et donc les variations de résistance
obtenues par le microphone sont très faibles et les variations
de courant négligeables.
D'où la nécessité d'insérer une
bobine d'induction.
Le microphone est situé dans un circuit indépendant
dans le système à batterie locale et est alimenté
par sa batterie lorsque l'individu ferme le circuit de courant
en appuyant sur l'interrupteur. L'utilisateur laisse le circuit
local ouvert lorsqu'il ne parle pas dans le microphone afin
que la batterie ne se décharge pas inutilement.
Ces opérations pouvaient être effectuées
automatiquement à certaines occasions par l'action mécanique
du crochet commutateur
Le récepteur téléphonique est situé
dans le circuit principal à côté de la sonnerie
et de l'aimant. Lorsque le récepteur n'est pas utilisé,
il est suspendu au crochet de la station qui touche le contact
inférieur de la figure précédente en raison
du poids du téléphone.
L'aimant et le crochet de l'interrupteur avaient un ressort
interne qui réagissait automatiquement sur le processus
de communication. L'armature de la magnéto, la bobine
secondaire du transformateur de ligne et le téléphone
récepteur sont court-circuités lorsque la sonnerie
sonne, afin de ne pas introduire de résistance passive
sur la ligne. De même, la bobine secondaire du transformateur
de ligne et le téléphone récepteur a été
court-circuités lorsque la poignée de la magnéto
est tournée. Une fois que le téléphone
récepteur est soulevé, le crochet commutateur
touche le contact supérieur du schéma précédent
et la conversation téléphonique commence. Dans
une telle situation, l'armature de l'aimant et le buzzer sont
court-circuités pour n'introduire aucune résistance
dans le circuit de communication et l'interrupteur du microphone
a dû être enfoncé. Pour appeler ou recevoir,
il fallait toujours rester en circuit ouvert (sans décrocher).
Les premiers utilisateurs à utiliser le microphone à
Valladolid ont fait installer des systèmes de batteries
locales.
La plupart du temps, ces installations étaient simples
son prix était assez bas par rapport aux installations
à microphones qui vont suivre.
Du point de vue scientifique, c'était une procédure
rationnelle et correcte de travailler, mais certains inconvénients
économiques ont conditionné son abandon progressif
et la technique a évolué vers des systèmes
de batteries centrales.
La batterie locale n'était pas un moyen économique
de produire de l'électricité, car dans ses modalités
commerciales, elle impliquait une consommation de zinc et de
cuivre, ce n'étaient pas des substances bon marché.
Les batteries s'épuisaient et se détérioraient
très facilement, ce qui nécessitait des réparations
et des rénovations avec les coûts associés
conséquents.
Les téléphones privés
avec sonnerie à courant continu
Un microphone avec sa batterie d'alimentation et ses bobines
d'induction, un / deux téléphones magnétiques,
un aimant et un buzzer (à courant contin) formaient
essentiellement une station micro-téléphonique
composite.
Différents fabricants ont conçu de multiples variantes
intégrant les éléments d'une manière
ou d'une autre assez similaire.
Les quelques vendeurs de matériel électrique et
téléphonique basés à Valladolid
ont installés ces postes dans les habitations, usines,
bureaux, ateliers, entrepôts ... chez les particuliers
qui en faisait la demande, et après avoir obtenu les
autorisations et licences pertinentes.
Chaque client particulier déterminait que téléphone,
microphone, sonnette ... qui lui convenait le mieux.
La fonction principale d'une telle installation était
de communiquer directement avec une autre personne sans nécessiter
l'intervention d'un standard téléphonique central.
La photographie suivante montre une station composite particulière
qui a été utilisée à Valladolid.
Les téléphones à l'époque de provenance
de France Belgique ... adoptaient les nomenclatures en vigueur
à l'époque:
L = ligne, S = Sonnerie, CM (ou PM ) = Microphone
relié à la pile, CS (ou PS) = Sonnerie
réliée sur l'autre borne de la pile, T
= terre
Le poste micro-téléphonique comprenait les éléments
suivants: une batterie d'alimentation P avec différents
éléments de batterie, un microphone émetteur
M, une touche ou un bouton B pour générer le courant
d'appel, un interrupteur à crochet F, un récepteur
R et une sonnette recevant le appel courant. appel courant.
Ces stations avaient 4 plots de raccordements : L, S,
CM et CS et se composait de deux circuits, l'un
pour l'appel et l'autre pour la conversation.
La borne L était connectée à la
ligne, la borne S à la sonnerie de la station,
la borne CS la sonnerie et la batterie sur le plus et
la borne CM connectait le microphone M à
la batterie sur la borne moins, la pile (ou batterie) est une
pile à 2 éléments Leclanché.
Les schémas de fonctionnement sont représenté
dans les figures suivantes :
- Au repos lorsque le crochet commutateur est appuyé
sur le contact inférieur, le circuit L, Bouton B faisant
A puis C, H, S, la station est prête à recevoir
un appel (courant de sonnerie).Et c'est de même sur la
station distante, aucun courant ne circule sur la ligne.
- Lorsque la station A appelle la station B, l'utilisateur appuie
sur le bouton de sa station, le circuit d'appel est : L, A,
D, CS, 2 éléments de la pile, ligne, sonnerie
distante, S', H' C', A', L', ligne et retour sur L, la sonnerie
du distant sonne.
- Ensuite les deux correspondants décrochent et établissent
le circuit de communication, les microphones transmettent les
courants ondulatoires.
Le schéma électromécanique de cette situation
est représenté dans la figure suivante
Le circuit fait : L, A, C, E, G, micro, CM, un élément
de la pile, ligne, C'M', micro, G', E', C', A', L', ligne, et
boucle sur L de départ'.
(La sonnerie du demandeur est isolée du circuit et la
pile et la sonnerie du demandé sont isolés, seule
la pile du demandeur débite du courant).
Une fois la conversation terminée, les deux abonnés
ont raccroché leurs récepteurs R aux crochets
de commutation F de leurs stations respectives. De cette manière,
la communication avec la batterie P du microphone a été
interrompue automatiquement (évitant sa consommation
en ne parlant pas) et les deux stationssont en attendant de
recevoir un nouvel appel.
Ces stations avec microphone étaient plus cher que les
installations précedentes mais étaient adaptés
aux liaisons plus longues.
Ainsi, pendant de nombreuses années, il n'y avait que
des stations avec une batterie locale à Valladolid
Les installations privées établies à Valladolid
et ses environs à la fin du XIXe siècle et au
début du suivant, comportaient des stations très
similaires à celles du premier réseau urbain implanté
en 1888.
Cependant, ces types d'installations nécessitaient au
départ un grand nombre d'éléments de batterie
pour fonctionner, dont l'efficacité dépendait
dans une large mesure de leur conservation. C'est pour cela
que la sonnerie à courant alternatif et à magnéto
a commencé à remplacer les installations à
appel à courant continu et s'est généralisé
au passage au système à batterie centrale.
Le schéma suivant montre les pièces
et la disposition d'une station micro-téléphonique
de l'époque.
Des systèmes à batterie centrale avec une
seule batterie commune (dans le centre téléphonique)
ont été imposés pour les installations
espagnoles à partir des années 1920, avec l'arrivée
du CTNE Compagnie nationale de
téléphone d'Espagne.

Catalogue SGT avant 1893
|
sommaire
PREMIÈRES LIGNES PRIVÉES ET PREMIERS
CLIENTS.
Certains individus ont tout de suite apprécié les immenses
possibilités que le téléphone pouvait leur offrir
en termes de communication et ont souhaité très tôt
créer des installations. C'était un appareil avec lequel
ils pouvaient être autonome, sans avoir besoin de recourir à
des codes ou à une préparation spéciale contrairement
au télégraphe.
Le nombre de lignes privées et officielles établies
en Espagne vers la fin des années 1870 était très
faible et ne suffisait pas à implémenter le téléphone
de manière visible dans le pays dans cette première
étape.
Des causes et circonstances importantes s'y sont opposées:
- faible demande initiale pour le téléphone,
- initiative privée avec des ressources limitées,
- faiblesse économique de l'État,
- politique changeante et contradictoire sur les critères à
appliquer, etc.
Une augmentation plus palpable des lignes établies par
des particuliers ou par le Telegraph Corps pour les services officiels
est appréciée à partir de 1880.
L'essentiel du trafic réalisé était de nature
locale dans les centres urbains, communiquant entre deux dépendances
voisines d'un même propriétaire ou de certains cabinets
de l'Etat (ministères, administrations et bureaux).
Les premiers clients de la téléphonie étaient
des groupes de professionnels liés au monde des affaires et
de la politique: la banque, la bourse et les chambres de commerce,
les commerçants, les industriels, les avocats, les médecins
... et l'Etat à travers le Telegraph Corps.
La situation avait tendance à être inefficace et
chaotique en 1882.
Il devenait de plus en plus nécessaire d'établir des
réseaux urbains et d'élaborer des règlements
qui dicteraient la marche à suivre concernant la réglementation
et l'exploitation du service téléphonique.
LES PREMIERS RÉSEAUX PRIVÉS.
La demande accrue de téléphones privés a déclenché
la pose d'un plus grand nombre de conducteurs pour communiquer entre
eux.
Certains propriétaires et administrations ont demandé
à communiquer entre eux plusieurs de leurs dépendances
pour faciliter le développement de leurs entreprises ou services
et c'est ainsi que les premiers réseaux téléphoniques
à usage privé ont vu le jour.
Dans un premier temps, des lignes ont été mises en place
reliant tout le monde contre tout le monde, sous la typologie des
réseaux maillés. Cependant, ce système nécessitait
un grand nombre de fils conducteurs, ce qui était une dépense
inabordable.
Peu de temps après, un petit standard central a relié
les unités privées entre elles.
Les réseaux communaux
La compagnie de téléphone internationale Bell
Telephone Company, basée à Anvers, a proposé
aux communes de plusieurs capitales espagnoles par l'intermédiaire
de leur représentant Julio Vizcarrondo et Coronado d'installer
des réseaux pour relier leur siège communal et les administrations
civiles. Les conseils municipaux de Barcelone et de Bilbao ont choisi
de créer eux-mêmes des réseaux municipaux en 1884.
Le conseil municipal de Bilbao a mis en place un réseau téléphonique
pour le service général de ses dépendances et
les incendies qui avaient un poste central de 9 lignes téléphoniques
et 12 sonnettes d'alarme incendie.
Après un processus de vente aux enchères, il a finalement
été attribué à un commerçant de
la ville nommé Juan de Torre, qui avait proposé
des modèles de téléphones Gower-Bell.
La mairie de Barcelone a organisé une
vente aux enchères sur le matériel nécessaire
pour installer un réseau de 16 stations de micro-téléphone
reliées à une centrale.
Les caractéristiques les plus marquantes figuraient dans les
spécifications techniques imposées aux candidats:
- Les lignes seront monolignes en fer galvanisé d'un diamètre
de 2,5 mm, suspendues au moyen d'isolateurs de type prussien sur des
poteaux en bois placés sur les toits des maisons, fixés
aux murs avec des pinces en fer forgé.
- Le poste micro-téléphonique central sera du système
Fein, Ader ou Gower-Bell avec une capacité de 50 lignes et
doté des dispositifs et accessoires nécessaires à
son bon fonctionnement.
- Les 16 postes micro-téléphoniques seront du même
système et seront équipés de téléphones,
micro, doubles embouchures, cloches, pupitres, magnéto pour
le système Fein, interrupteurs, vis, batteries système
Leclanché, paratonnerres, etc.
Le réseau a été attribué à la Société
anglo-espagnole d'électricité représentée
à Barcelone par Jorge St. Noble, utilisant des téléphones
modèles Gower-Bell.
Les réseaux privés
Depuis 1878, plusieurs personnes ont posé des fils sur les
toits et les toits des maisons de Barcelone sans autres permis que
ceux des résidents touchés, formant des réseaux
clandestins. Parallèlement à ceux-ci coexistaient d'autres
autorisés installés par la Société espagnole
d'électricité, accumulant autant de conducteurs croisés
les uns avec les autres, ce qui a causé de multiples problèmes
dus aux effets inductifs.
Le R.D. du 16 août 1882 et les règlements suivants tendaient
à normaliser cette situation.
L'installation de lignes privées était
soumise aux autorisations municipales et gouvernementales et aux réglementations
électrotechniques en vigueur, car il n'y avait pas de réglementation
téléphonique spécifique en Espagne jusqu'en 1882.
Les exemples précédents confirment le caractère
arbitraire des critères appliqués dans chaque cas lors
de l'autorisation ou de l'absence d'installations.
sommaire
Quel était le travail des opératrices
téléphoniques ?
|
Dans les premières décennies du
20e siècle, travailler chez Telefónica
représentait une avancée sociale importante.

Depuis la fin du XIXe siècle, en dépit d'être
un travail exigeant, il avait plus de prestige que les autres
emplois exercés par des femmes dans les ateliers, les
usines, les services domestiques ou dans les champs, et les
conditions de travail étaient meilleures et le salaire
plus élevé.
D'autres caractéristiques, comme la reconnaissance sociale
de leur travail et les relations avec d'autres collègues
en dehors de la sphère purement familiale, offraient
aux femmes au début du siècle une nouvelle perspective
sur leur situation, leur rôle dans la société
et leur rapport à un environnement profondément
traditionnel.
C'étaient les premiers pas vers une femme moderne.
Pour entrer en tant qu'opératrices téléphoniques,
les jeunes femmes devaient passer plusieurs tests : une dictée,
faire différentes opérations mathématiques,
lire un texte au téléphone et, le plus curieux,
un test de longueur de bras, "en étendant les bras,
elle réussir à toucher deux positions sur le meuble,
à une certaine distance l'un de l'autre en même
temps pour pouvoir atteindre toutes les positions d'abonnés
disponibles devant elles". Et aussi des tests de culture
générale apparemment simples car l'accès
de la population féminine à l'éducation
de base était très limité.
Avant de faire passer automatiquement les appels entre les abonnés
au téléphone, elles devaient se connecter sur
la position et communiquer via le standard avec l'abonné
qui voulait en appeler un autre. L'opératrice lui demandait
à quel numéro il voulait parler. Une fois indiquée,
elle mettait les deux parties intéressées en contact
manuellement. De cette façon, les communications passaient
toujours entre les mains de ces employées (car c'étaient
presque toujours des femmes). Dans toutes les compagnies de
téléphone, cet emploi était presque exclusivement
féminin, et pas seulement le poste de l'opérateur
téléphonique, mais aussi ceux de ses supérieurs:
patrons et agents de sécurité.
Apparemment, le timbre de la voix féminine était
plus compréhensible à une époque où
la communication téléphonique n'était pas
très bonne.
Mais elles recevaient également un salaire inférieur
à celui des hommes, et devaient faire preuve d'une extrême
patience dans leurs relations quotidiennes avec les utilisateurs.
La compagnie nationale de téléphone d'Espagne,
l'actuelle Telefónica, a commencé à installer
progressivement, à partir de 1924, des centraux automatiques
dans tout le pays. Un équipement qui dispensait des opérateurs
téléphoniques dans les communications téléphoniques.
Cela ne signifiait cependant pas la disparition des opérateurs
téléphoniques. Au contraire, son rôle est
fondamental dans lamélioration des communications
dans le pays.
Le travail de l'opératrice téléphonique
était extrêmement exigeant, les temps d'attention
aux utilisateurs étaient contrôlés de manière
exhaustive et les appels devaient toujours être traités
de manière polie et amicale. Le service était
rude, les changements peu compatibles avec la vie de famille.
En effet, à partir des années 1940, lorsque l'opératrice
téléphonique s'est mariée - comme dans
d'autres professions - elle devait quitter son emploi pour se
consacrer exclusivement aux tâches ménagères.
Cependant, un profond sentiment de solidarité
et de camaraderie a émergé parmi les opératrice.
Le temps était partagé avec des compagnons d'origines
et de classes sociales très différentes qui, autrement,
n'auraient guère croisé leurs chemins. Elles appréciaient
les salles de repos où, lorsqu'elles n'étaient
pas en service, elles pouvaient se détendre. Ils y avaient
des magazines, des livres et une personne de garde leur préparait
et leur servait du café, sans frais pour eux.
Avec le temps, la profession a évolué
jusqu'à disparaître. Petit à petit, le service
téléphonique s'est automatisé et le nombre
d'opératrices a inévitablement diminué
de manière significative. Le travail se concentra davantage
sur les appels internationaux, tandis que l'automatisation complète
du service se répandit dans tout le pays.
Le dernier standard téléphonique manuel en service
en Espagne était celui de Polopos, une ville de
l'Alpujarra de Grenade. en 1988 Popolos est automatisé
et le travail de la téléphoniste n'est plus nécessaire.
Les conditions de travail de ces jeunes femmes étaient
identiques en France, que vous trouverez dans cette page "Les
demoiselles du téléphone".
|

Petit centre manuel LM Ericsson 1884 et Centre urbain vers
1930.
sommaire
Début du développement du téléphone
en Espagne :
Bien que le téléphone soit une technologie
innovante, on pensait à l'époque qu'il ne pouvait pas
remplacer le télégraphe, le compléter, mais pas
le remplacer. Le déploiement le plus développé
était celui du télégraphe.
Comme le télégraphe a précédé le
déploiement du chemin de fer, les tracés des voies n'ont
pas pu être utilisés pour implanter les câbles.
Des kilomètres et des kilomètres de câble en cuivre
nu (sans couverture isolante) sur des poteaux ont été
installés dans toutes les régions de façon plus
ou moins anarchique, sans plan, sans vision globale du réseau.
Le fait est que, tout le monde pouvait avoir
sa ligne.
L'industrie, tout en sauvegardant les intérêts
publics, trouvera dans l'exploitation de ce nouveau mode de communications,
un vaste champ où son activité et sa féconde
initiative pourront facilement se développer. Cet abandon eut
immédiatement les résultats qu'on en attendait.
Il y a eu plusieurs tentatives pour normaliser les
installations, mais toutes ont échouées pour diverses
raisons.
En Aragon, ce fut un échec mais dans le reste de l'Espagne
ce n'était pas beaucoup mieux.
Dans la péninsule, on ne sait pas avec certitude quand et où
ont travaillé les premiers «opérateurs téléphoniques»,
mais on peut s'aventurer que c'était peut-être à
Madrid, au début de 1885 (après des expériences
commencées les années précédentes).
En Europe, les courants économiques
qui prévalaient à la fin du XIXe siècle étaient
opposés au monopole mais toléraient un usage modéré
de l'exclusivité, évitant cependant un manque de contrôle
des prix qui pénaliserait la demande et les profits.
À quelques exceptions près, le téléphone
a été laissée aux mains des services télégraphiques
de l'État.
Sans parier clairement sur le développement des potentialités
d'une nouvelle forme de communication, ces services ont accordé
des permis d'exploitation à des entreprises privées.
Peu de temps après, l'État de certains pays a racheté
les lignes et les réseaux à des entreprises privées.
et établi un monopole.
Ainsi, au début du XXe siècle, la téléphonie
européenne était divisée en deux grands blocs
selon qu'il existait ou non des monopoles d'État (Allemagne,
Suisse, Autriche-Hongrie, Suisse, Belgique, Italie, Grèce,
Bulgarie, Serbie et la Roumanie) ou un contrôle étatique
étendu sur le téléphone sans atteindre un monopole
(Grande-Bretagne, Russie, Portugal, Suède, Norvège,
Danemark et Hollande).
L'Espagne devrait être incluse parmi les pays du deuxième
groupe.
L'administration espagnole avait suivi différents critères
dans les grands systèmes précédents: propriété
privée pour le chemin de fer et propriété publique
pour le télégraphe électrique, pour le téléphone,
l'action de l'Etat a été hésitante.
C'est seulement au commencement de 1882 que le gouvernement
commença à s'occuper du téléphone. de
son introduction dans la péninsule
Par arrêté royal du 16 août 1882, le gouvernement
a confié la construction et l'exploitation provisoire des réseaux
téléphoniques urbains à l'initiative privée,
se réservant le droit d'approuver les tarifs et de contrôler
les travaux et le service.
Une fois limportance économique et stratégique
du téléphone vérifiée, lÉtat
a recouvré le droit détablir et dexploiter
le service en 1884, sous un mandat conservateur.
Avec le modèle établi, il y a un désordre
dans la mise en uvre du service et une croissance des lignes
non autorisées. Pour résoudre ce problème, sous
un gouvernement conservateur et avec Cánovas comme président
et Romero Robledo comme ministre de l'Intérieur, le décret
royal du 11 août 1884 est publié, dans lequel un nouveau
règlement est approuvé, qui utilise le réseau
téléphonique officiel comme exemple et accorde à
l'Etat, par l'intermédiaire du Telegraph Corps, l'exploitation
de ce service.
Dans l'exposition de l'arrêté royal, il est dit: «Le
petit réseau officiel établi à Madrid par la
Direction générale des postes et télégraphes
pour relier les principaux bureaux de l'Etat, réalisé
avec pas plus de ressources que les maigres qui ont pu pour faciliter
Les mêmes dépendances et la bonne volonté du corps
télégraphique, travaille avec la plus grande régularité
et précision. A Barcelone, au contraire, où l'installation
d'un grand nombre de lignes privées a été autorisée
conformément au décret express du 16 août 1882,
il y a déjà un tel désordre et confusion parmi
eux que les autorités de cette ville ont venant depuis quelque
temps en informant qu'ils jugent dangereux de continuer à délivrer
de tels permis et en même temps le commerce et le public réclament
l'intervention de l'Etat pour que ce service soit assuré avec
régularité.
Après avoir reconnu la double erreur commise dans les prévisions
- le service portait un déficit et l'ordre public n'était
pas menacé dans les pays où le service était
privé - le gouvernement libéral offrit, en 1886,
à l'initiative privée le réseaux quil a
établis de son propre chef.
Central téléphonique
Fein conçu pour le réseau téléphonique
de la ville de Barcelone, il diffère des autres appareils de
ce type par ses dispositifs de commutation particuliers, qui servent
à établir les liaisons entre les autres centraux téléphoniques.
De même, il l'a autorisé à en proposer de nouveaux
en échange de réductions des frais d'abonnement aux
entités officielles, d'une redevance minimale de 10% de la
collecte plus une redevance fixe par abonné, des droits d'inspection,
de fixation des tarifs et du choix de la technologie.
Les concessions étaient d'une durée n'excédant
pas vingt ans. Dans les offres, le pourcentage pour l'Etat serait
valorisé, jamais moins de 5%, le projet d'aménagement
proposé, et les tarifs (bien que dans le règlement du
25 septembre le suivant, un maximum de 1000 pesetas par circuit et
par an a été défini). Mais pour des raisons non
encore élucidées, parmi lesquelles un rapport du Conseil
d'État se prononçant sur l'exploitation de la téléphonie
par l'État, et bien que des appels d'offres aient été
lancés pour attribuer les réseaux téléphoniques
de Madrid, Barcelone et Bilbao, et qu'il y ait eu plusieurs offres,
De multiples plaintes ou doléances ont soulevé le spectre
du monopole et ont contribué à une nouvelle modification
du système en 1890.
A cette occasion, une solution mixte a été choisie:
l'Etat construirait les lignes et concéderait leur exploitation
à des particuliers en échange d'une redevance fixe par
km et conducteur.
En 1894, l'éclectisme du règlement précédent
est maintenu, mais l'État se réserve la possibilité
de concurrencer ses propres réseaux dans des lieux déjà
équipés.
Nouvelle exploitation du service par les particuliers et les entreprises
Le 13 juin 1886, après la mort d'Alphonse XII et de nouveau
avec un gouvernement libéral de Sagasta et Venancio González
à la tête du portefeuille du gouvernement, un troisième
décret royal a été publié qui une fois
de plus céder l'exploitation du téléphone aux
entreprises et aux particuliers, tant pour les nouveaux réseaux
téléphoniques que pour ceux sous la responsabilité
de l'Etat.
Dans son exposition, il est dit que «L'Etat en tant qu'administrateur
de ce service sera un obstacle perpétuel à son développement
dans les proportions exigées par les besoins de la vie moderne
dans tous les domaines, et de l'industrie privée, d'autre part,
au profit du public. intérêts, il trouvera dans l'exploitation
de ce nouveau moyen de relation un espace suffisant pour développer
son activité et sa fructueuse initiative ».
Les tarifs sont à nouveau abaissés, établissant
le tarif annuel maximum pour un poste téléphonique à
300 pesetas dans une ferme située dans le district municipal
du bureau central, et à 600 pesetas si la ferme est partagée
par plusieurs locataires. À ce montant, il faut ajouter les
0,30 pesetas qui coûtent trois minutes ou une fraction de chaque
appel.
Avec ce règlement, les réseaux commencent à être
attribués dans les principales villes, s'ils établissent
des caractéristiques et des tarifs différents dans chaque
cas.
sommaire
En 1886, il y avait déjà 3 réseaux téléphoniques
installés avec des capitaux privés: Barcelone,
Madrid et Valence, en plus des privés, en même
temps que le téléphone continuait à se développer
en dehors de la péninsule, et Cuba, pionnier de la l'installation
de ce service, d'autres provinces d'outre-mer comme Porto Rico et
les Philippines sont ajoutées.
Dans la continuité d'un règlement antérieur (R.
D. 29 janvier 1889), les stations municipales étaient éventuellement
reliées entre elles et, obligatoirement, à d'autres
stations d'État, que ce soit par téléphone ou
télégraphe.
Au fil des ans, le gouvernement a conservé le droit d'établir
ou d'exploiter le service téléphonique par l'intermédiaire
du Telegraph Corps, mais a apporté d'importantes corrections.
D'une part, il admet la possibilité de dépasser le cadre
spatial étroit auquel se réduisaient les anciens réseaux
urbains. De plus, il a permis l'intervention d'autres entreprises
publiques sans bloquer le passage aux entités privées.
D'une certaine manière, le règlement
de 1914 reconnaît la viabilité de formules non strictement
étatistes et, plus précisément, le succès
obtenu par le Conseil provincial de Guipúzcoa avec son réseau
provincial.
D'autre part, le nouveau cadre juridique a permis au Commonwealth
de Catalogne de créer un réseau public.
En utilisant différentes formules, de nombreux conseils provinciaux
ont subventionné la construction de réseaux provinciaux.
Une politique gouvernementale soumise à des hauts et
des bas continus a abouti à un système hétéroclite.
Au-dessus des changements conjoncturels, étroitement liés
au glissement des parties, l'Etat fixe toujours le caractère,
les limites et la durée des concessions, ainsi que les tarifs.
En réalité, la fragmentation des concessions par unités
de population a transformé les réseaux résultants
en un agrégat généralement disjoint.
Les délais et les tarifs élevés avaient un effet
négatif sur l'offre et la demande.
En fin de compte, ils ont découragé les entreprises
et les abonnés et ont étouffé l'expansion du
téléphone.
De plus, ils ont renforcé le caractère urbain du réseau
en faisant baisser les abonnés périurbains d'une partie
des coûts d'installation.
En se limitant à établir des critères de qualité
mais pas des marques spécifiques, l'État a laissé
le choix des équipements entre les mains du concessionnaire,
même si le marché pouvait dans une certaine mesure normaliser
la technologie appliquée.
Dans les réseaux téléphoniques publics, le corporatisme
des fonctionnaires a annulé les complémentarités
qui pouvaient émaner de la propriété publique
de Telégrafos.
Plutôt que la complémentarité, l'opposition, la
méfiance et les appréhensions ont surgi à l'égard
de la nouvelle technologie. Des villes clés, comme Madrid,
Barcelone ou Bilbao, en ont souffert (mais pas exclusivement) des
retards importants dans la concession des réseaux».
Le manque de coordination entre les différentes agences gouvernementales
impliquées a conduit à des situations d'incohérence
frisant le chaos.
Par exemple, en 1887, diverses personnalités valenciennes se
sont adressées au ministère de l'Intérieur pour
s'opposer à la revendication d'exclusivité qu'utilise
le concessionnaire du réseau local; le service de la communication
a donné la raison audit concessionnaire, pour le retirer ensuite;
remettant la question entre les mains des autorités supérieures,
tant le Conseil d'État que l'Intérieur ont soutenu le
concessionnaire. Mais une réclamation du concessionnaire de
Malaga serait donnée dans le sens inverse».
En conséquence de tout cela, les carences sont si notoires
qu'en 1888, le ministre de l'Intérieur n'hésite pas
à les diffuser et à exiger un service téléphonique
comparable à celui des autres pays civils.
En 1887, trois autres sociétés
se sont formées pour établir des réseaux à
Ségovie, Séville et Saragosse.
La, Orduna et Munoz, dont le siège social est à Valence,
a établi deux nouveaux réseaux à Malaga et à
Bilbao.
Ces huit réseaux qui avaient, en octobre 1887, un ensemble
de deux mille deux cents abonnés, mais pas encore de
lignes interurbaines.
En 1888 Les réseaux Alcoy, Alicante, Cadix, Carthagène,
Cordoue, La Corogne, Felanitx, Gijón, Murcie, Oviedo, Sabadell,
Saint-Sébastien, Santander et Valladolid ont été
inaugurés.
Cette même année, les réseaux d'Almería,
Castellón Grenade, Jerez de la Frontera, Palma de Majorque
et Vigo ont été mis aux enchères et l'année
prochaine ceux de Burgos, León, Pampelune, Tolède et
Vitoria entre autres.
Le tableau suivant montre le montant encaissé par les sociétés
locataires en 1887 et le pourcentage accordé à l'Etat
:
Les tarifs d'abonnement diminuent progressivement à mesure
que le nombre d'abonnés dans les principaux réseaux
augmente.
Fin 1888 : nombre d'abonnés
téléphoniques dans les diverses capitales espagnoles
:
Madrid 1458 abonnés, Barcelone 777, Bilbao 437, Valence 331,
Alicante 190, Ségovie 165, Séville 165, Saragosse 109
et Cadix 10
Les références plus modernes trouvées
des activités privées de Bonnet indiquent que
vers 1890, les engagements de son entreprise avaient atteint
une échelle considérable. Ainsi, Márquez a écrit
dans sa biographie de 1889 que l'une des uvres les plus notables
de Bonnet ces derniers temps avait été la constrution
du réseau téléphonique de Cadix. Malgré
son activité professionnelle privée croissante, Bonnet
est resté actif dans les télégraphes. Le 9 novembre
1883, il fut promu premier directeur adjoint et le 16 février
1890, directeur de troisième section, la classe la plus basse
de l'établissement des chefs, officiellement appelée
«état-major supérieur».
En 1890, un arrêté royal a été
signé sur la réglementation du service téléphonique.
Les trois règlements appliqués
successivement n'avaient pas réussi à établir
les réseaux de manière coordonnée.
Au début des années 90, une nouvelle tentative a été
faite pour organiser le service téléphonique et l'arrêté
royal du 11 novembre 1890, signé par la reine régente
María Cristina sous un nouveau gouvernement conservateur de
Cáno-vas et avec Francisco Silvela comme ministre de l'intérieur,
il établit un système mixte: avec des concessions privées
et étatiques, en divisant en même temps le service en
réseaux téléphoniques secondaires urbains, interurbains
interurbains et secondaires communiqués avec des stations télégraphiques
et privées.
De nouveaux réseaux téléphoniques interurbains
ont été créés. Plusieurs zones ont été
établies, la zone Nord-Est a été accordée
à la Société de Crédit Commercial de Barcelone,
Aragon a obtenu trois axes de communication pour sa capitale, Saragosse:
avec Madrid, Catalogne et Pays Basque. Le reste du territoire aragonais
a été ignoré par l'entreprise gagnante.
Le système Van
Rysselberghe a marqué le point de départ du
développement de la téléphonie longue distance
en Espagne.
Le Telegraph Corps a effectué les premiers tests entre Madrid
et le Real Sitio de San Ildefonso en 1885 et dans les années
suivantes a effectué d'autres tests entre Madrid et ses environs
avec des résultats favorables. La ligne Madrid-Saint-Sébastien,
composée d'un circuit bifilaire de 2 mm, a fonctionné
pour le service officiel dans la dernière décennie du
19e siècle et est devenue la plus longue sous cette modalité.
Les résultats ont été positifs jusqu'à
un certain point, car les inductions présentes ont provoqué
des perturbations dans la communication. L'introduction de microphones
plus puissants, diverses mesures appliquées pour limiter les
effets inductifs et une meilleure répartition des fils de ligne
suivant les schémas du système de transposition ont
largement résolu les problèmes. qui a surgi en 1886.
Des liaisons similaires ont été établies à
partir de Madrid en profitant des lignes télégraphiques
existantes.
Cependant, la construction des premières lignes téléphoniques
interurbaines à la fin du XIXe siècle et leurs bonnes
performances en fonctionnement pourvues de vannes électroniques
depuis le début du XXe siècle ont conditionné
l'abandon progressif du système Van Rysselberghe.
sommaire
1891-1907:
Le développement réglementaire,
qui est effectué au moyen de l'arrêté royal du
2 janvier 1891, nécessite la réalisation d'un rapport
détaillant l'importance du réseau, un plan «aménagé
à l'échelle» et un budget, augmentant la documentation
demandée et étant similaire à celle des projets
en cours.
De même, et par rapport à la qualité du service,
il établit que «L'interruption du circuit téléphonique
d'un abonné ne lui permet pas d'exiger le retour de la partie
du quota qui correspond pour la durée de celui-ci, mais quand
il a dépassé trois jours dans les mois de mai à
septembre inclus, et de six dans le reste de l'année.
Si les pannes se reproduisent fréquemment, l'abonné
peut résilier son contrat ou réclamer une indemnité
au concessionnaire. »Comme on peut le constater, le nombre de
jours à partir desquels une indemnisation peut être demandée
a été réduit.
Avec le développement du service, la fraude est détectée
chez les anciens abonnés qui gardent le terminal téléphonique,
comme cela se produit à la Compagnie de téléphone
de Madrid, donc en 1890, le ministère de l'Intérieur
a fixé le paiement de 75 pesetas à la Banco de Espa-ña
en garantie concept. Il y a aussi des problèmes liés
à l'installation de câbles supportés sur des propriétés
privées et huit ans plus tard leur installation est régularisée
nécessitant une autorisation de la propriété
avant la pose des lignes.
Introduction des lignes interurbaines longue distance
Le 18 mars 1891, un arrêté royal est publié pour
mettre aux enchères des lignes interurbaines interurbaines,
l'exposé des motifs indiquant toujours que la téléphonie
est universellement reconnue comme un «complément à
la télégraphie».
Le cahier des charges ci-joint divise la péninsule en quatre
zones délimitées par les quatre lignes de démarcation
Madrid-Bilbao; Madrid-Valence; Madrid-Grenade, prolongeant cette ligne
jusqu'à la Méditerranée; et Madrid-Cáceres
prolongeant cette ligne jusqu'à la frontière portugaise.
Les zones définies sont les suivantes: nord-est, sud-est, sud-ouest
et nord-ouest, respectivement.
- Le réseau NORD-EST, compris entre les lignes idéales
Madrid-Bilbao et Madrid-Valence, qui comprenait l'obligation de connecter
par téléphone, dans un délai d'un an, les villes
de Bilbao, Saint-Sébastien, Vitoria, Pampelune, Saragosse,
Barcelone et Valence.
- Le réseau SUD-EST, limité par les axes Madrid-Valence
et Madrid-Malaga, devait relier les villes d'Alicante, Albacete, Murcie,
Carthagène, Almería et Grenade dans les mêmes
conditions.
- Le réseau SUD-OUEST, entre Madrid-Málaga et Madrid-Cáceres,
relierait Madrid à Málaga, Séville, Cordoue et
Cadix
- Le réseau NORD-OUEST devait relier Madrid à Avila,
Valladolid, Salamanque, Burgos, Santander et La Corogne.
Malgré cela, le développement des lignes interurbaines
n'a pas été réalisé, de sorte qu'en 1892
la création de lignes télégraphiques interurbaines
dans la zone sud-ouest a été autorisée.
Le plus urgent consistait à introduire la téléphonie
interurbaine; l'Administration a décidé de le promouvoir
à partir des années 1890, en comptant sur l'initiative
privée.
A cet effet, il a divisé le territoire espagnol en quatre districts
radiaux et a attribué une bonne partie des lignes à
la puissante compagnie téléphonique péninsulaire,
créée en 1894 à Barcelone. Outre les hauts et
les bas juridiques, résultat, en partie, de changements successifs
de gouvernement, les principales difficultés de mise en uvre
réussie du téléphone sont venues de ses coûts
élevés, mais aussi du développement important
du télégraphe électrique.
Le premier réseau interurbain mis en place dans notre pays
a été celui du Nord-Est (Madrid, Bilbao, Saint-Sébastien,
Vitoria, Pampelune, Saragosse, Barcelone, Tarragone, Castellón
de la Plana et Valence), suivi du réseau Sud (Madrid , Ciudad
Real, Cáceres, Badajoz, Cordoue, Séville, Huelva, Cadix,
Málaga, Grenade, Jaén, Almería, Murcie et Alicante).
Le système Van
Rysselberghe a marqué le point de départ du
développement de la téléphonie longue distance
en Espagne.
Le Telegraph Corps a effectué les premiers tests entre Madrid
et le Real Sitio de San Ildefonso en 1885 et dans les années
suivantes a effectué d'autres tests entre Madrid et ses environs
avec des résultats favorables. La ligne Madrid-Saint-Sébastien,
composée d'un circuit bifilaire de 2 mm, a fonctionné
pour le service officiel dans la dernière décennie du
19e siècle et est devenue la plus longue sous cette modalité.
Les résultats ont été positifs jusqu'à
un certain point, car les inductions présentes ont provoqué
des perturbations dans la communication. L'introduction de microphones
plus puissants, diverses mesures appliquées pour limiter les
effets inductifs et une meilleure répartition des fils de ligne
suivant les schémas du système de transposition ont
largement résolu les problèmes. qui a surgi en 1886.
Des liaisons similaires ont été établies à
partir de Madrid en profitant des lignes télégraphiques
existantes.
Cependant, la construction des premières lignes téléphoniques
interurbaines à la fin du XIXe siècle et leurs bonnes
performances en fonctionnement pourvues de vannes électroniques
depuis le début du XXe siècle ont conditionné
l'abandon progressif du système Van Rysselberghe.
Pendant ce temps, l'installation de réseaux urbains continue
de croître et le nombre de concessionnaires privés également,
mettant en évidence parmi eux la Peninsular Telephone Company,
créée en 1894, et autour de laquelle se forme un grand
groupe téléphonique, qui incorpore différents
réseaux urbains pour votre réseau.
En outre, en 1897, cette société obtient la concession
du réseau interurbain du Nord-Est, ce qui représente
une avancée dans le développement du service téléphonique,
mais pas suffisante, et une nouvelle déception pour les télégraphes.
Les réseaux téléphoniques aux particuliers et
aux entreprises privées en Espagne continuent augmenter et
passer de 42 en 1897 à 49 en 1900.
Le nombre de téléphones le fait également, atteignant
18 723 en 1897, atteignant 21 23929 en 1900.
Mais il n'y a pas seulement une croissance dans le développement
du service, mais aussi dans le la demande de professionnels capables
de travailler dans ces nouvelles activités, ce sont les télégraphistes
qui acquièrent une notoriété et continuent à
occuper des postes de direction dans les principales entreprises.
Ainsi, la compagnie de téléphone de Madrid a Alejandro
Soriano comme directeur technique, tandis qu'Antonio Castilla occupe
le même poste dans la compagnie de télécommunications
ibérique et Eduardo Estelat30 dans la compagnie de téléphone
interurbain.
En Espagne, dès 1898, en plus des postes Ader
bien connus, les téléphones Ericsson étaient
largement répendu. La compagnie de téléphone
de Madrid a offert dans toutes ses installations la possibilité
d'incorporer des appareils de luxe spéciaux avec des paiements
annuels de 20, 30 ou 40 pesetas en plus des frais d'abonnement.
Erisson Ader
sommaire
La Compañía
Peninsular de Telefonos
|
La Peninsular Telephone
Company a été fondée en 1894
par L.Martí-Codolar i Gelabert, M.M. Pascual de Bofarull
et Eduardo Parellada Pallás.
Sur 42 réseaux téléphoniques d'entreprises
privées qui existaient en 1897, la Compañía
Peninsular de Telefonos, d'origine catalane, se démarquait
avec cinq concessions (Bilbao, Mataró,
Sabadell, Santander et Valls) et 1 728
abonnés, bien que le plus grand en nombre d'abonnés
ait été la Sociedad General
de Telefonos de Barcelona 2 479 abonnés
la compagnie de téléphone
de Madrid 1 681 abonnés et la compagnie
d'Antonio Mompó à Valence 961 abonnés.
En 1905, la Peninsular Telephone Company acquit deux
nouvelles concessions, celles de Martorell et Palamós,
et en ajouta sept.
Une opération commerciale importante signifiait qu'en
1908 les réseaux de Barcelone et de Madrid ont été
transférés à la Peninsular Telephone Company.
En 1909, ils contrôlent également ceux
de Tarragone et de Manresa, bien qu'ils perdent celui de Santander,
qui avait été municipalisé.
Sur les 21 239 abonnés des sociétés
concessionnaires en 1909, 10 202 étaient des abonnés
de la Compañía Peninsular de Telefonos, soit pratiquement
50%.
En réponse au développement complexe des télécommunications,
la loi de régulation des télécommunications
de 1907 ou la loi De la Cierva (du 26 octobre 1907) et les
règlements successifs qui l'ont développée
(règlement organique du corps télégraphique,
du 24 septembre 1908; règlement de 1914, du 30 juin;
règlement de 1920) prévoyait pour la compagnie
de téléphone péninsulaire le monopole des
lignes interurbaines en Espagne, à la différence
des lignes urbaines, qui étaient entre les mains
des municipalités ou d'autres entreprises, après
la concurrence.
Au fil des ans, la Compañía Peninsular a absorbé
d'autres concessionnaires de services de téléphonie.
Par exemple, en 1912, la Compañía Peninsular a
absorbé la Compañía Ibérica de Redes
de Telefónicas, qui comprenait la concession de Jerez
de la Frontera (Cadix) .
Le 19 avril 1924, le décret constitutionnel de
la nouvelle compagnie nationale de
téléphone d'Espagne CNTE a été
approuvé, qui est né avec l'intention d'unifier
les télécommunications.
La décision du gouvernement du général
Miguel Primo de Rivera visait à créer un véritable
monopole, qui dans ce cas a été confié
à ITT.
Le 19 octobre 1924, l'accord de fusion de la Compañía
Peninsular de Telefonos avec le CTNE a été enregistré
au registre du commerce de Madrid, par lequel les actifs de
la première ont été incorporés au
CTNE à partir du 3 janvier 1925.
L'accord a été signé le au nom du CTNE
par Lewis J. Proctor et par la Compañía Peninsular
par Javier Martí-Codolar y Pascual.
La fusion par incorporation s'est faite par échange des
actions de la société contre des actions de la
CTNE, tandis que les actions de préférence non
échangées ont été éteintes
et amorties, obligeant la CTNE à rembourser leur valeur.
"Statistiques télégraphiques
et téléphoniques de 1895 à 1932" :
228 lignes et 449 stations privées dans toute l'Espagne
.
|
sommaire
En attendant, en Espagne, les dernières années
des années 1880 et 90 ont été celles d'un déploiement
lent et inefficace, bien que déjà inexorable, de réseaux
urbains concédés depuis 1886.
Ce facteur a influencé la demande les individus intéressés
à installer leurs propres réseaux privés, au
moins dans les grandes villes, diminuent progressivement au fur et
à mesure que les réseaux publics se développent.
En 1890, le retour au pouvoir du Parti conservateur élabore
une nouvelle réglementation pour l'exploitation du service
téléphonique, qui opte pour un système mixte.
système dans lequel l'exploitation privée et publique
coexisteraient.
Les règlements garantissaient le contrôle et la surveillance
par l'Etat du service entre des mains privées et la possibilité
même de s'en emparer lorsque les conditions le conseillaient.
Il a également tenté de promouvoir la téléphonie
longue distance et l'interconnexion des réseaux urbains existants,
tâche complexe en raison de l'hétérogénéité
de leur gestion et de leurs équipements.
Un autre arrêté royal d'août 1894, rédigé
par le parti libéral, abroge certaines limitations à
l'extension des réseaux urbains et tente de limiter l'installation
de réseaux privés. Pour cela, il a refusé les
futures autorisations dans les zones où les réseaux
téléphoniques urbains existaient déjà.
Le préambule était clair dans son objectif de limiter
la prolifération incontrôlée
Modifications de la réglementation :
Pendant cette période, des modifications partielles du règlement
en vigueur furent publiées jusqu'à ce qu'en 1900 la
reine régent sanctionna un nouvel arrêté royal,
du 26 juin, qui modifia à nouveau le règlement, organisant
à nouveau le service téléphonique et dans lequel
il fut décidé que les lignes les interurbains appartiennent
à lÉtat.
Cependant, ce règlement sera abrogé en 1903 par un autre
arrêté royal, en date du 9 juin, lors de l'approbation
d'un nouveau règlement, qui détermine que l'exploitation
des réseaux téléphoniques urbains sera assurée
par l'État, et seulement lorsque cela n'est pas possible. les
entreprises ou les particuliers le font.
Il définit les concepts d'urbain, limité à 3
km et de banlieue, l'un de 5 km et l'autre de 7, soit 15 km l'extension
maximale de la ligne urbaine à partir du centre et fixe les
nouveaux tarifs maximaux, qui varient entre les 80 pesetas dans le
cas le plus favorable, pour le service téléphonique
limité en heures dans les villes «de moins de 10 000
âmes et à moins de 3 km du centre et 800 pesetas pour
le cas le plus défavorable.
Le nouveau règlement continue de considérer que les
lignes et réseaux interurbains Ils seront << établis,
construits et exploités par l'État >> et que les
lignes de liaison interurbaines pourront être établies
par l'État pour communiquer les réseaux urbains centraux,
qu'ils soient ou non exploités par l'État.
Il convient de noter que le développement de la le service
téléphonique a contribué de manière significative
à l'incorporation notable des femmes dans la vie professionnelle,
bien qu'avec des salaires et des conditions différents de ceux
obtenus par leurs collègues hommes.
Curieusement, dans l'une des modifications du règlement de
1903, l'article 119 du règlement de 1903 est libellé
comme suit:
«Article 119. Pour entrer en classe d'opérateur téléphonique
il faudra avoir effectué au moins trois mois en tant qu'étudiant
et accompagner le exemple un certificat d'aptitude délivré
par le directeur du réseau de l'État dans lequel l'apprentissage
a eu lieu; un autre de bonne conduite, délivré par l'autorité
compétente et l'acte de naissance. » L'âge d'admission
sera de seize à vingt-cinq ans ...»
La loi de 1907 Jusqu'à présent, toutes les réglementations
qui existent sur le service téléphonique ont le rang
d'arrêté royal et c'est en 1907 qu'apparaît la
première loi qui fait référence au téléphone,
qui sera abrogée quatre-vingts ans plus tard, avec la loi de
régulation des télécommunications.
Dans cette loi, datée du 26 octobre 1907, signée par
Alphonse XIII, pendant une période conservatrice avec Juan
de la Cierva y Peñafiel comme ministre de l'Intérieur,
le Gouvernement est autorisé à procéder, en publiant
un arrêté royal au terme de quatre mois, «pour
proposer ou développer des services de radiotélégraphie,
de câble et de téléphonie, en utilisant des entités
nationales.»
De cette manière, l'État réaliserait les projets
et deviendrait les concessionnaires privés des nouveaux services,
obtenus grâce aux enchères publiques, ceux qui serait
en charge de la construction des réseaux, couvrant les dépenses
des services avec les produits de la concession et l'Etat peut exiger
la livraison de certains ligne ou service déclaré d'intérêt
national.
Cependant, le règlement publié dans ce délai
ne fait référence qu'au règlement d'établissement
du service radiotélégraphique et le prochain règlement
qui se développe sur le téléphone est le règlement
provisoire de l'arrêté royal du 11 janvier 1909, définitivement
approuvé le mai 4, 1909.
Peu de temps après la publication de cette loi et lorsque de
nombreuses concessions accordées ont expiré, les conseils
municipaux ont commencé à obtenir des autorisations
pour l'exploitation des réseaux municipaux, parmi lesquels
se distingue la zone urbaine de Saint-Sébastien, pour une période
de 15 ans., et celle provinciale du Conseil général
du Guipúzcoa, pour 35 ans, toutes deux accordées en
1908.
La création d'un réseau international, qui est une extension
du réseau interurbain du Nord-Est, est institué par
l'arrêté royal du 26 octobre 1907, publié à
la même date que la loi, dans lequel il est indiqué que
ce réseau sera relié aux lignes françaises en
Irún (Guipúzcoa) et Port Bou (Gérone).
Cet arrêté royal unifie également les deux réseaux
interurbains du Sud en un seul et les déclare, avec le réseau
Nord-Ouest et le réseau international, d '«intérêt
national», tous sortis après vente aux enchères.
Le réseau international est exploité par l'Etat après
sa construction et le 1er janvier 1912, le service téléphonique
international avec la France est inauguré. Cependant, les réseaux
interurbains du Sud et du Nord-Ouest ne seront attribués que
des années plus tard.
En 1908, il existe déjà 60 réseaux urbains
exploités par des particuliers et des entreprises, 11 redéployés
par l'État et un réseau interurbain, le Nord-Ouest,
à côté des lignes interurbaines. entre les mains
de l'État qui non seulement ne constituent pas un ensemble
connecté, mais présentent également des tarifs
inégaux, des frais différents et des matériaux
techniques différents.
Dans l'esprit de la commande du service, le règlement
continue d'être modifié. Ainsi, en 1909, un nouveau
règlement a été établi, qui est similaire
à celui de 1903, et qui indique que les réseaux téléphoniques
peuvent être établis et exploités par l'Etat et,
à défaut, ils seront accordés aux communes, aux
conseils de comté, aux sociétés, aux entreprises
ou des individus.
En 1914, avec Sánchez Guerra comme ministre de l'Intérieur,
un autre nouveau règlement a été publié,
qui a été informé par le Conseil consultatif
du corps télégraphique et la section permanente du Conseil
d'État, dans lequel l'installation et l'exploitation du service
téléphonique pour l'État, par l'intermédiaire
du personnel de Telegrafos, bien qu'il indique que l'installation
ou l'exploitation peut être concédée à
des corporations provinciales, municipales ou privées.
Avec ce règlement, le service téléphonique est
classé comme international, interurbain, provincial, urbain,
privé et privé avec service public.
Ces règlements seront partiellement modifiés par les
règlements ultérieurs.
Les premiers signes d'approche de l'unification du réseau ont
commencé en 1915 lorsque la Peninsular Telephone Company a
repris les installations téléphoniques interurbaines
des trois zones dans lesquelles la péninsule avait a été
divisée, et la Mancomunidad de Catalunya a reçu une
autorisation pour l'installation et l'exploitation d'un réseau
téléphonique interurbain reliant les villes de ses quatre
provinces, par décret royal du 9 septembre 1915.
Changement de gouvernement de 1915, dans lequel San-tiago Alba Bonifaz
entre en tant que ministre de l'Intérieur, devient directeur
général des postes et télégraphes José
Francos Rodríguez, qui en mars 1917 a présenté
au ministre un projet de loi nationale sur la téléphonie,
realancé par le corps télégraphique, dans le
but d'ordonner le situation existante qui, cependant, ne prospère
pas.
Le projet vise à unifier les services et à les étendre
à travers la création d'un Institut National du Téléphone,
qui serait sous la tutelle de Telégrafos. Selon les données
de ce projet, en 1917, l'Espagne comptait 35 000 abonnés, ce
qui équivaut à un téléphone pour 571 habitants,
il existe un centre d'appels public pour 45 000 habitants et 474 centraux
téléphoniques sont en service.
Dans cette période, le corps télégraphique a
commencé à prendre en charge les réseaux privés
qui fournissent un service technique déficient, comme c'est
le cas de Ciudad Real, Séville ou Valdepeñas, et des
réseaux dont les concessions avaient expiré.
Mais malgré cette nouvelle approche du modèle de service
téléphonique opéré par l'Etat, l'Etat
a accordé en octobre 1923 un caractère illimité
à la concession téléphonique du réseau
municipal de Saint-Sébastien, ce qui n'est pas accepté
avec plaisir par les télégraphes.
sommaire
Un fait incontestablement significatif de cette époque
est l'apparition de l'électronique avec la diode de John A.
Fleming en 1904 et la triode de Lee de Forest en 1906, qui signifient
une révolution pour les télécommunications.
Son application dans les techniques de transmission permet de surmonter
les obstacles liés à la longue distance et de permettre,
entre autres, la radiotéléphonie.
Ainsi, en 1915, la triode, ou audion comme on l'appelait au départ,
a été utilisée pour construire des amplificateurs
électroniques qui agissent comme des répéteurs
dans les transmissions longue distance, améliorant notamment
la qualité de ces communications. l'invention de la radio et
l'invention de la triode par De Forest, a prospéré à
la suite de la Première Guerre mondiale et est devenue une
méthode alternative de transmission vocale avec des avantages
associés, dans certains cas, par rapport aux communications
par câble.
En 1920, l'Espagne était un pays de 21 millions
d'habitants, plongé dans une forte crise institutionnelle depuis
1917, qui mettrait fin au système parlementaire. En 1921, le
président du gouvernement, Eduardo Dato a été
assassiné. En 1923, le roi Alfonso XIII a remis le pouvoir
au général Primo de Rivera, qui avait le soutien de
l'armée et d'une partie considérable de la société.
Ainsi a commencé une dictature qui a duré six ans, dans
laquelle le nationalisme économique et la construction d'infrastructures
ont prévalu, mais il n'a pas été possible de
renforcer les institutions. Ce furent des années de boom économique.
Malgré toutes ces avancées technologiques, l'Espagne
avait en 1923 une faible demande de téléphonie, avec
un taux de 0,36 téléphone pour 100 habitants et est
bien en dessous de l'Allemagne ou du Royaume-Uni, et même de
Cuba, avec 1,3 téléphone pour 100 habitants.
Les changements législatifs continus, la mise en uvre
du service uniquement dans certaines des principales municipalités
du pays, le manque de connexion entre les différents réseaux
qui sont entre les mains de plusieurs concessionnaires et qui offrent
un prix élevé pour la plupart de la société,
sont aspects qui rendent difficile la réalisation du développement
de ce service.
Pour ces raisons, la télégraphie continue d'être
une alternative à la téléphonie.
sommaire
En matière d'organisation des différents
centres téléphoniques, rappelons les structures utilisées
:
- Centre local: Central auquel les lignes de l'utilisateur étaient
connectées, dans lequel on commutait entre eux d'appels locaux,
acheminant les appels sortants vers le central principal dont il dépendait.
La zone desservie par un central local s'appelait la zone locale.
- Centre primaire: central auquel étaient connectés
les circuits d'échange entre les différents centraux
locaux qui lui sont rattachés. La zone desservie par un centre
primaire s'appelait la zone principale. Le centre primaire dépendait
à son tour d'une installation secondaire.
- Centre secondaire: Centre auquel était connectés
les circuits d'échange des centraux primaires attachés
. La zone desservie par un centre secondaire s'appelait la zone secondaire.
Le centre secondaire dépendait à son tour d'une installation
tertiaire. Normalement, la zone secondaire coïncidait avec la
province.
- Centre tertiaire: Ce sont les centres avec la plus haute
hiérarchie du réseau, auxquelles étaient connectés
les centraux secondaires qui en dépendaient. La zone desservie
par une centre tertiaire s'appelait la zone tertiaire. Ces centres
étaient également connus sous le nom d'échanges
nodaux ou centres nodaux.
- Centre international: ces centraux, bien qu'ils n'appartiennent
pas au réseau hiérarchique, étaient chargés
d'effectuer tous les appels internationaux en provenance ou à
destination de ce réseau.
La première ligne interurbaine interurbaine
est attribuée et en 1912 la première ligne internationale
avec la France.
Depuis le début de la téléphonie, le développement
du service téléphonique a connu une croissance rapide
du nombre de téléphones installés, tous étant
connectés par paires, donc si un utilisateur souhaitait avoir
une connexion avec plus d'un utilisateur, il devait avez autant d'appareils
que d'utilisateurs avec lesquels vous vouliez communiquer, alors qu'en
réalité, vous ne pourriez jamais parler à tout
le monde à la fois.
A partir de ce moment, l'idée de commutation surgit,
c'est-à-dire un "interrupteur" ou centre de commutation
qui permettrait à un seul téléphone de parler
à n'importe quel autreutilisateur. Comme cette illustration
:
Selon l'endroit où les appels étaient dirigés,
ils étaient classés dans la catégorie :
- Appel local : il s'agissait d'un appel dans lequel à la fois
l'utilisateur qui a effectué l'appel et celui à qui
il était adressé appartenaient au même commutateur.
- Appel sortant: il s'agissait d'un appel effectué par un utilisateur
d'un commutateur différent de celui qui a reçu l'appel.
- Appel entrant: il s'agissait de celui reçu par un utilisateur
d'un central différent de celui qui a effectué l'appel.
Les circuits qui permettaient de rejoindre différents centraux
aussi bien dans le cas de l'appel sortant que dans le cas de l'appel
entrant étaient appelés liens.
Le premier réseau interurbain mis en
place dans notre pays a été celui du Nord-Est : Madrid,
Bilbao, Saint-Sébastien, Vitoria, Pampelune, Saragosse, Barcelone,
Tarragone, Castellón de la Plana et Valence, suivi du réseau
Sud Madrid , Ciudad Real, Cáceres, Badajoz, Cordoue, Séville,
Huelva, Cadix, Málaga, Grenade, Jaén, Almería,
Murcie et Alicante.
Saragosse était la septième ville d'Espagne en lignes
urbaines.
Saragosse 1927
La distribution des lignes dans les grandes villes à service
urbain est devenue un problème pour pouvoir effectuer les commutations
manuelles et interconnecter les appels en cours. Comme les conduits
souterrains à cet effet n'existaient guère, sur le toit
des centrales électriques, des «templetes» ont
été installés.
C'étaient des structures en bois remplies d'isolants où
les lignes, urbaines ou interurbaines, étaient reliées.
Le service interurbain rural
a été créé par le Telegraph
Corps à la demande de l'État, et a été
étendu dans toute la région aragonaise pour atteindre
son maximum entre 1920 et 1925. Ce service interurbain a permis aux
populations aragonaises de communiquer entre elles.
Chaque ville en service avait une "station" interurbaine,
qui était le bureau télégraphique.
En 1922, il y avait 72 stations. La Peninsular Company n'a pas étendu
massivement son réseau dans tout l'Aragon, de sorte que le
service interurbain fourni par l'État s'est développé
sans obstacles juridiques.
De plus, en 1916, la concession qui lui donnait l'exclusivité
géographique expirait, contribuant davantage à ce service.
Voyons un exemple: en 1920, 4 502 communications ont été
créées à Jaca, 12 274 à Saragosse ou 15
à Fortanete.
Nous avons commenté que la Compagnie péninsulaire a
repris le service urbain de Saragosse et Huesca, mais alors qui était
en charge des autres développements urbains dans différentes
villes ?
C'est le Telegraph Corps qui a décidé
de le faire et en 1915, les travaux ont commencé à Ariza,
Tarazona, Calatayud et Teruel, qui sont devenus opérationnels
en 1916.
sommaire
Evolution des réseaux urbains entre 1900
et 1920
Source: MILLAN PRADES
En 1921, il y avait un peu plus d'un millier
d'abonnés au service téléphonique en Navarre,
plus précisément 1 062 lignes.
sommaire
En 1923, la société américaine ITT
a acquis la Peninsular Telephone Company
et la National Telephone Company of Spain
a été créée, la célèbre
Telefónica qui allait traverser
différentes vicissitudes tout au long de son histoire, devenant
nationalisée dans les années 40, développant
et étendant le service de 1950 à 1974, automatisant
les réseaux et les centres téléphoniques, d'abord
dans le domaine urbain, ensuite interurbain et enfin pour les communications
internationales.
L'automatisation arrivera dans le monde rural plus tard, lorsque le
processus d'automatisation se terminera dans les années 80.
Qui ne se souvient pas avoir à passer la communication téléphonique
par le standard pour «appeler le peuple» tout au long
des années 60 et 70 ? Quand nous n'avions pas de téléphone
dans notre appartement, nous appelions depuis la maison du voisin
ou nous nous rendions dans l'une des nombreuses cabines téléphoniques
qui remplissaient nos rues et nos places, comme celles que nous voyons
dans le dernier paragraphe, situé sur le Paseo de Sarasate.
Les origines de ITT
à CUBA,
l'ancienne colonie Espagnole, La platerforme de lancement et
le terrain d'essai.
|
A Cuba, lors de la deuxième intervention
nord-américaine, qui dura de 1906 jusqu'à la fin
janvier 1909, il était prévu d'établir
un système téléphonique unifié pour
toute l'île, sûrement sous la direction d'une compagnie
américaine. en vigueur une loi qui a accordé à
cette société une autorisation pour une durée
indéterminée d'exploiter l'activité téléphonique
dans le pays, y compris le service téléphonique
dans la capitale et le service longue distance que Cuban Telephone
devait créer.
Cela n'a pas tardé à devenir un véritable
monopole, car les entreprises locales établies ne pouvaient
pas résister à la concurrence et ont dû
faire faillite d'une manière ou d'une autre.
La Cuban Telephone Company
s'installe à New York jusqu'à ce qu'en avril
1916, un important achat des titres de la société,
effectué par des Cubains, détermine le transfert
de son domicile à La Havane.
Quelques jours auparavant, un journal havanais avait rapporté
que la capitale disposait de 5 téléphones. pour
100 habitants, un indice qui, bien qu'étant la moitié
de celui de New York, triplait celui de Madrid et dépassait
même celui de Londres, Paris, Vienne, Petrograd ou celui
de n'importe quelle ville d'Amérique latine. Et il a
ajouté que sur 10 téléphones installés
en Amérique latine et aux Antilles, un correspondait
à Cuba.
Mais la situation réelle de la téléphonie
dans le pays était loin d'être aussi brillante
que le suggéraient les statistiques. Malgré le
fait que le revenu brut de Cuban Telephone avait atteint 1,2
million de dollars en 1915, aucun dividende n'a été
versé aux actionnaires cette année-là et
la valeur des actions a chuté sur les bourses de La Havane
et de Londres.
C'était le résultat d'une mauvaise administration
qui n'avait pas hésité à emprunter l'entreprise
dans des conditions très défavorables afin de
maintenir coûte que coûte le versement de juteux
dividendes aux actionnaires. Devant l'impossibilité de
lever des capitaux supplémentaires dans ces circonstances,
la National City Bank de New York, qui avait initialement soutenu
l'entreprise, a fait pression sur sa direction pour s'assurer
la collaboration des frères Sosthenes et Hernand Behn,
qui jouissaient d'un grand prestige pour leurs succès
en tant que directeurs de la Porto Rico Telephone Company.
En octobre 1916, le conseil d'administration de la compagnie
téléphonique cubaine élit Sosthenes
Behn comme président du conseil d'administration
de la société, en remplacement de William M. Talbott,
et comme vice-président, José Marimón,
qui présidait à l'époque la Banque espagnole
de l'île. de Cuba. Hernand Behn a été chargé
de la gestion quotidienne de l'entreprise.
La première tâche entreprise les frères
Behn vis-à-vis de Cuban Telephone a été
de restructurer sa dette et, en même temps, de prendre
les mesures organisationnelles nécessaires pour accroître
son efficacité économique et améliorer
le service.
En conséquence, en 1917, le revenu net est passé
à 1,7 million de dollars, les dividendes ordinaires ont
triplé par rapport à 1913 et les arriérés
sur les actions privilégiées ont été
payés. L'entreprise a pu compter pour la première
fois sur une importante réserve de liquidités.
Peu de temps après avoir repris l'entreprise, Sosthenes
Behn entame des négociations aux États-Unis qui,
quatre ans et demi plus tard, aboutiront à la création
d'une liaison téléphonique entre ce pays et Cuba.
D'un point de vue strictement technique, le problème
résidait dans le fait que l'établissement de la
liaison impliquait de poser sous la mer, jusqu'à environ
1 800 mètres de profondeur, des câbles téléphoniques
d'une longueur totale d'environ 190 kilomètres, ce qui
nécessitait une conception spéciale et innovante
dans environ 95% de son extension, car à cette époque
les câbles des lignes téléphoniques sous-marines
les plus longues qui existaient étaient beaucoup plus
courtes (moins de 80 kilomètres de long) et n'étaient
pas submergées aussi profondément.
Curieusement, les frères Behn n'ont pas été
les premiers à proposer formellement au gouvernement
cubain l'établissement d'un service téléphonique
public entre Cuba et les États-Unis par des câbles
sous-marins. La première à le faire fut une certaine
Intercontinental Telephone & Telegraph
Company, dont le président, l'Italien Giuseppe
Musso, prétendit en 1916 avoir « résolu
[...] triomphalement et avec précision l'ardu problème
de la téléphonie et Télégraphie
rapide, à n'importe quelle distance [...] sans avoir
besoin de fusées à induction [bobines de charge],
ou de lignes spéciales ». Il n'a pas précisé
comment il avait réalisé cette prétendue
prouesse technique, ni n'a hésité à inviter
les Cubains à investir leur capital dans l'Intercontinental,
afin que dans un avenir pas trop lointain ils puissent - comme
il l'a dit - « mépriser l'envie de ceux qui préfèrent
douter plutôt qu'avoir la foi." .
Il est à supposer que le président cubain García
Menocal n'était pas parmi ces derniers, puisqu'en juillet
1916, il accorda à l'Intercontinental une concession
(mais pas un monopole) pour établir, dans un délai
de deux ans, un service téléphonique comme celui
annoncé, un terme qui a ensuite été prolongé
jusqu'au 31 décembre 1922.
Mais les efforts qui ont finalement abouti à des résultats
tangibles sont ceux initiés par Sosthenes Behn pour le
compte de la Compagnie cubaine des téléphones.
À cette fin, il rencontre Nathan Kingsbury, premier vice-président
de la puissante American Telephone
and Telegraph Company (AT&T).
En principe, ils ont convenu de s'associer sur un pied d'égalité,
pour mener à bien le projet, en commençant par
la fabrication et la pose du câble, une tâche dont
la planification devait commencer en 1917 et être réalisée
en 1918 pour procéder immédiatement à l'exploitation
commerciale. du nouveau service.
Le fait qu'un tel accord ait été conclu doit être
considéré comme un succès de la remarquable
capacité de négociation de Sosthenes Behn, si
l'on tient compte du fait qu'à cette époque, son
soutien économique était essentiellement réduit
aux actifs de Cuban Telephone, alors qu'AT&T était
une puissante société de portefeuille qui contrôlait
la plupart des activités téléphoniques
aux États-Unis, en particulier dans les grandes villes.
L'exécution de l'accord a cependant dû être
reportée lorsque les États-Unis en tant que belligérant
pendant la Première Guerre mondiale, le 6 avril 1917,
Sosthenes Behn rejoignit le Corps des transmissions de l'armée
peu de temps après, et dans cet état, il resta
en Europe jusqu'en 1919. Le frère Hernand, bien qu'incorporé
aux États-Unis de la Réserve navale, continua
à gérer la compagnie de téléphone
de Cuba et de Porto Rico.
De retour à la vie civile, Sosthène revient reprendre
le fil de ses anciennes entreprises avec la ferme conviction
que les années d'après-guerre vont être
propices non seulement à matérialiser le projet
de liaison téléphonique par câble sous-marin,
interrompu en 1917, mais d'utiliser ledit lien comme premier
lien dans un système de communication beaucoup plus ambitieux
dominé par lui et son frère.
Ce que le colonel ne pouvait pas imaginer, c'est qu'il s'appelait
lui-même, même s'il avait terminé la guerre
avec le grade de lieutenant-colonel, c'est qu'en ce qui concerne
le projet de liaison téléphonique Cuba-États-Unis,
il allait trouver un concurrent inattendu.
En effet, moins de deux semaines après la signature de
l'armistice (18 novembre 1918), Giuseppe Musso, l'homme qui
-comme nous l'avons déjà vu- avait obtenu la concession
présidentielle cubaine en 1916 pour entamer une liaison
similaire, arriva à La Havane et aussitôt a déclaré
que les travaux commenceraient bientôt.
Cela agaça Sosthène qui, pour clarifier la situation,
s'adressa officiellement mi-décembre au département
d'État américain, en sa qualité de président
de Cuban Telephone, pour être informé des concessions
qui lui avaient été faites aux États-Unis.
à l'entreprise organisée et annoncée en
grande pompe par le prétendu inventeur italien, Cuban
Telephone étant intéressé à entreprendre
une entreprise similaire.
Nous ne connaissons pas la réponse, mais elle n'est pas
difficile à deviner, car il arriva qu'en avril 1919,
un journal de La Havane qualifiait de fraude toute l'affaire
de la vente d'actions la même année, de l'Intercontinental
téléphone cubain et le American
Telephone and Telegraph, étaient formellement
associés, à parts égales, dans l' AT&T
: l'American
Telephone and Telegraph Company, une
société dont l'objectif principal déclaré
était d'établir un système de transmission
entre Cuba et les États-Unis qui permettrait l'interconnexion
du long -lignes téléphoniques à distance
des deux pays.
Le 1er novembre 1919, l'ambassadeur des États-Unis
à Cuba informa son gouvernement qu'après deux
mois et demi de négociations, AT&T
et Cuban Telephone étaient parvenus à un accord
définitif pour établir une liaison téléphonique
sous-marine entre La Havane et Key West, ce qui était
prévu pour commencer à fonctionner en février
1920, au coût de 750 000 $.
Comme on l'a déjà dit, les câbles sous-marins
destinés à transmettre les signaux téléphoniques
entre La Havane et Key Bone différaient considérablement
de leurs congénères qui fonctionnaient à
l'époque dans d'autres parties du monde, en ce sens qu'ils
devaient rester immergés à des profondeurs beaucoup
plus grandes et être beaucoup plus long. Cette dernière
circonstance augmentait considérablement l'atténuation
et la distorsion des signaux téléphoniques transmis
électriquement, tandis que la conception mécanique
des câbles devait tenir compte à la fois des conditions
spécifiques des fonds marins et des fortes pressions
auxquelles ils seraient soumis dans les profondeurs de la mer.
L'expérience accumulée jusqu'ici dans la pose
de câbles téléphoniques sous-marins laissant
à désirer, il fut décidé de réaliser
une étude préliminaire du dossier, tâche
qui fut confiée aux ingénieurs de recherche d'AT&T,
Carson et Gilbert. Ses résultats publiés en 1921
ont conduit à la recommandation que les câbles
coaxiaux d'une conception spéciale capable de réduire
l'impédance de "retour de mer" (eau de mer,
fils d'armure, etc.) des conceptions traditionnelles et d'élargir
considérablement la bande passante de transmission.
Après avoir effectué diverses mesures électriques,
il a été décidé d'utiliser pour
les grandes profondeurs, un câble composé essentiellement
de :
- a) un conducteur central (constitué d'un fil de cuivre
recouvert d'un ruban du même métal) autour duquel
un fin fil de fer doux était enroulé en hélice
serrée,
- b) une épaisse couche isolante de gutta-percha d'épaisseur
constante autour de l'enroulement conducteur central, et
- c) un "conducteur de retour", constitué d'une
gaine en ruban de cuivre recouvrant le matériau isolant.
Ainsi, un câble à atténuation réduite
et à bande passante suffisante a été obtenu
pour transmettre simultanément une voie téléphonique
et au moins deux circuits télégraphiques duplex.
Sur la base de la conception électrique proposée
par les ingénieurs d'AT&T, la British Construction
and Maintenance Company, Ltd. s'est vu confier la conception
générale des câbles et leur fabrication,
sous la supervision de William Slingo, un spécialiste
britannique bien connu, que Cuban Telephone Company a embauché
comme ingénieur conseil. Il supervisa également
la mise en place des trois câbles tendus entre La Havane
et Key West3, travaux qui ne durent que deux semaines et furent
reçus comme achevés de manière satisfaisante
le 25 février 1921, après que les mesures effectuées
à la fin de Key Bone eurent confirmé que le les
câbles immergés répondaient aux spécifications
électriques préétablies.
Des trois câbles, le plus court mesurait 185,8 km de long,
tandis que les longueurs des câbles à l'est et
à l'ouest de celui-ci étaient respectivement de
194,6 km et 193,4 km.
Compte tenu de la demande estimée de trafic téléphonique,
du côté américain, un seul des câbles
susmentionnés était directement connecté
au réseau téléphonique local, tandis que
les deux autres étaient utilisés pour établir
des connexions téléphoniques et télégraphiques
directes avec New York et Jacksonville. Chaque câble accueillait
trois voies bidirectionnelles : une voie téléphonique
et deux voies télégraphiques duplex (une en courant
continu et une sur une porteuse 3/3,8 kHz).
Lorsque le service téléphonique entre Cuba
et les États-Unis a été inauguré,
il y avait près de 25 200 téléphones installés
à La Havane, mais le service interurbain ne faisait
que commencer à l'intérieur du territoire cubain.
Ce service s'est considérablement amélioré
avec l'installation de répéteurs téléphoniques
dans des points stratégiques du réseau national
(Saint-Domingue, Ciego de Ávila et Victoria de las Tunas)
à partir de 1921, ce qui a facilité la tâche
des administrateurs des sucreries et autres abonnés de
l'intérieur. du pays, communication téléphonique
avec les États-Unis.
A la fin de 1922, le nombre d'abonnés de Cuba
atteignait plus de 40 300.
Création de l'ITT
Lorsque la National City Bank a suggéré aux dirigeants
de la Compagnie de téléphone cubaine que les Behn
reprennent la direction de leur entreprise afin de la sauver
d'un désastre économique, elle avait à
l'esprit la réputation de gestionnaires compétents,
efficaces et bien connectés que Sosthenes et Hernand
avaient gagné dans la gestion des affaires téléphoniques
à Porto Rico. Le résultat de son travail ultérieur
à Cuba à la tête de la compagnie de téléphone
n'a fait que confirmer cette confiance.
Nous avons déjà vu qu'Hernand était chargé
de l'administration quotidienne du Téléphone Cubain,
fonction pour laquelle il était extraordinairement bien
équipé. Mais Sosthène a plutôt brillé
lorsqu'il s'est agi de relations publiques habiles et d'élaboration
de stratégies commerciales audacieuses et de grande envergure.
Des années plus tard, alors que les Behn avaient déjà
construit l'impressionnante société transnationale
à laquelle nous ferons bientôt référence,
le magazine Fortune a caractérisé
les personnalités très différentes et en
même temps complémentaires des deux frères
:
... personne n'est plus charmant ou plus raffiné que
Sosthenes Behn. Il en est de même d'un jour à l'autre
et d'une année à l'autre. Peu importe la volatilité
du sang latino en lui, le visage qu'il présente au monde
est toujours serein, agréable, sûr de lui [...
C'est] une figure éblouissante, un grand aventurier industriel
dont la lumière est trop forte pour lui à voir
peut se cacher même sous votre grande modestie. Mais il
n'est que la moitié des frères Behn. C'est certainement
la moitié la plus fascinante, la plus séduisante,
mais toujours seulement la moitié. [...] Si Sosthène
est plus audacieux, Hernand est plus intuitivement prudent.
Comme nous l'avons déjà vu, l'un des premiers
succès transcendantaux des frères Behn a été
d'avoir réussi à s'associer sur un pied d'égalité
avec le puissant américain AT&T,
pour installer et exploiter la première liaison téléphonique
par câble sous-marin entre Cuba et les États-Unis,
malgré le fait que tout le soutien financier dont ils
disposaient pour cela était réduit aux actifs
de la Compagnie cubaine des téléphones.
Nous avons également vu que la réalisation de
ce projet a dû être reportée lorsque les
États-Unis sont entrés dans la Première
Guerre mondiale. Ajoutons maintenant que lors de l'accomplissement
de son service militaire en France, Sosthène Behn avait
eu connaissance des conversations que, peu avant la fin des
hostilités et en présence de responsables gouvernementaux
américains, des représentants des compagnies de
téléphone européennes avaient eues avec
des représentants de les banques américaines,
afin de négocier leur soutien à la future reconstruction
du service téléphonique en Europe. Il n'a donc
pas été difficile pour l'astucieux Behn de se
rendre compte à la fois de l'intérêt stratégique
que les États-Unis avaient découvert dans les
télécommunications, et des grandes perspectives
qu'allait offrir le marché européen de la téléphonie
d'après-guerre, en plus des excellentes possibilités
qu'avait perçues le marché latino-américain
auparavant.
Depuis le début de l'année 1919, Sosthenes tente
d'obtenir un soutien financier à New York pour créer
une société indépendante, dont le but serait
de contrôler et de gérer bon nombre d'entreprises
de télécommunications, mais il n'y parvient pas.
Sans se laisser décourager par cet échec, le colonel
revient dans la mêlée avec une autre proposition
qui paraît beaucoup plus modeste et certainement moins
risquée d'un point de vue financier : la création
d'une société de holding, destinée à
prendre en charge les activités de promotion et de gestion
des télécommunications publiques. sociétés
de services dans différents pays, et de telle sorte que
son patrimoine se composait essentiellement de titres des sociétés
de services contrôlées, d'un bureau à New
York et de quelques meubles.
Dans le prospectus du 19 juillet 1920, préparé
par les Behn, un objectif relativement limité était
proposé : acheter avec des actions de la nouvelle société
les actions des compagnies de téléphone cubaines
(qui comprenaient 50 % des actions de la Cuban
American Telephone and Telegraph Co.) et Porto Rico,
et administrent les deux, ainsi que "toutes autres compagnies
de téléphone et de télégraphe souhaitables
dans les pays d'Amérique latine".
Le nom de la nouvelle société serait International
Telephone and Telegraph Corporation (ITT).
Bien qu'étonnamment similaire à celui du puissant
AT&T, il reflétait très bien l'intention réelle
des Behn d'utiliser la nouvelle société pour organiser
sous leur direction et contrôler un système de
télécommunications véritablement international.
La démarche a porté ses fruits et au bout d'un
an et demi, environ 90% des actionnaires avaient vendu leurs
parts dans Cuban Telephone et Porto Rico Telephone en échange
d'actions dans la toute nouvelle ITT, qui en venait ainsi à
contrôler les deux premières sociétés.
et de partager avec AT&T les bénéfices obtenus
par les cubano-américains de l'exploitation des câbles
entre La Havane et Key West, auxquels il a ajouté en
1922 la propriété de la Radio Corporation de Cuba,
qui à partir de 1929 a obtenu une concession de 50 ans
du gouvernement cubain pour exploiter un service de communication
radio à l'étranger.
Le succès retentissant obtenu à la tête
de l'activité téléphonique à Cuba
et à Porto Rico n'a été que la première
pierre posée par les frères Behn pour la construction
d'une image attrayante de dynamisme, d'efficacité et
de connexion avec la technologie la plus avancée, qui
leur permettrait pour consolider leur crédit avec Cuba,
commercialiser et concrétiser les ambitieux plans d'expansion
de leurs activités de télécommunications
vers l'Amérique latine depuis les Caraïbes, où
ils avaient déjà conquis deux positions importantes
.
Lorsqu'ils ne contrôlaient que Porto Rico Telephone, Sosthenes
et Hernand Behn avaient pensé à la possibilité
d'interconnecter les îles de Porto Rico et de Saint-Domingue,
cette dernière et la pointe orientale de Cuba, et enfin,
la ville de La Havane et la Floride, dans un tel manière
à maintenir la continuité du circuit Porto Rico-États-Unis
avec la concurrence des grands réseaux terrestres entre
la République dominicaine et Haïti, et entre l'extrémité
orientale de Cuba et La Havane.
De cette manière, les frères aspiraient à
développer le juteux commerce qu'ils imaginaient représenter
l'exploitation d'un lien entre la possession américaine
de Porto Rico et sa métropole. Bien qu'à cette
époque, il ne leur était pas possible de réaliser
un plan aussi ambitieux, lorsque le contrôle du téléphone
cubain est passé entre leurs mains, ils ont eu la possibilité
de réaliser la partie la plus importante sur le plan
économique, à savoir la liaison téléphonique
Cuba-États-Unis .
Comme on l'a déjà vu, l'entrée des États-Unis
dans la Première Guerre mondiale obligea à reporter
à 1921 la construction du câble téléphonique
sous-marin Cuba-États-Unis. On a également vu
que Sosthenes Behn, conscient des grandes perspectives qu'offrirait
le marché européen de la téléphonie
d'après-guerre et de l'intérêt stratégique
que les États-Unis portaient aux télécommunications,
avait créé l'International Telephone and Telegraph
Corporation un an plus tôt à New York ( ITT).
En harmonie avec la projection internationale de la nouvelle
entreprise, les Behn ont concentré leurs efforts sur
la création d'une image d'entreprise qui l'accréditerait
publiquement, quelle que soit sa faiblesse économique
évidente à l'époque. Ce n'était
pas difficile, puisque le puissant AT&T était également
intéressé à améliorer son image,
notamment auprès du public américain. A cet effet,
un grand show politico-technologique fut rapidement organisé
pour l'inauguration officielle du service téléphonique
entre Cuba et les Etats-Unis, le 11 avril 1921.
Du côté cubain, la cérémonie d'inauguration
a eu lieu à La Havane, au siège du téléphone
cubain situé à La Havane, rue Águila.
Là, une salle avec des écouteurs a été
aménagée pour 400 convives, afin qu'ils puissent
écouter les conversations téléphoniques
qui allaient avoir lieu. À 4 heures de l'après-midi,
une habanera populaire (chant) a commencé à être
entendue dans les écouteurs, qui à ce moment précis
était chantée à Jacksonville, suivie d'autres
numéros musicaux de la même ville de Floride.
Vers 16 h 30, Hernand Behn, alors président de la Compagnie
cubaine des téléphones et également président
de la Compagnie cubano-américaine des téléphones
et télégraphes, a pris le micro et a déclaré,
entre autres :
C'est une source de fierté pour nous à Cuba
[...] d'avoir été les premiers à introduire
à grande échelle le système automatique
[...] qui est aujourd'hui adopté et installé,
convaincu de ses avantages, par les villes de New York, Philadelphie,
Chicago et d'autres centres téléphoniques aux
États-Unis [...] et maintenant seront ceux qui établiront
le plus grand service téléphonique sous-marin
unissant Cuba à treize millions de téléphones
en service aux États-Unis, première étape
pour atteindre la connexion téléphonique de tout
le continent américain.
Le président de Cuban Telephone a terminé ses
propos en annonçant qu'il contacterait immédiatement
le colonel John J. Carty, vice-président d'AT&T,
pour établir, selon ce qu'il a dit, ... une communication
entre La Havane et San Francisco, Californie, et de là
jusqu'à l'île de Santa Catalina dans l'océan
Pacifique, ce dernier tronçon par téléphone
sans fil, avec les vingt-trois stations sur ladite ligne répondant
à l'appel de La Havane à San Francisco répond
à l'appel.
Cette communication représente une distance de 5 700
miles, soit la plus longue connexion [téléphonique]
établie à ce jour dans le monde entier.
(Liaison téléphonique de 8 800 km établie
entre La Havane et Avalon le 11 avril 1921, par câbles
sous-marins, lignes terrestres et liaison radio).
Tout s'est déroulé comme annoncé (sauf
que la longueur totale du circuit était en réalité
de 5 470 milles, soit environ 8 800 kilomètres), et l'événement
est entré dans l'histoire des télécommunications
comme la plus longue liaison téléphonique au monde
jusque-là établie par liaison radiotéléphonique,
aérienne. et lignes souterraines (8 563 kilomètres
à à travers les États-Unis, avec 25 répéteurs
téléphoniques), et câble sous-marin.
Une fois les contacts susmentionnés établis, une
activité de niveau politique supérieur a eu lieu,
consistant en une conversation téléphonique protocolaire
entre le président cubain Mario García Menocal,
qui se trouvait dans son bureau au palais présidentiel,
et le président américain Caricature faisant allusion
à l'état ruineux de l'économie nationale,
publié à Cuba à l'époque de l'inauguration
du service téléphonique avec les États-Unis.
Warren G. Harding, s'était rendu dans les bureaux de
l'Union panaméricaine à Washington, D.C. à
cette fin, plus tard, l'ancien président cubain, José
Miguel Gómez, qui visitait la même ville à
l'époque, a communiqué par téléphone
avec sa femme, qui était à Cuba.
Dans son discours inaugural, Hernand Behn avait annoncé
que la liaison téléphonique Cuba-États-Unis
serait... petite par rapport au grand projet que chérit
la Compagnie cubaine des téléphones, avec le soutien
de l'International Telephone and Telegraph Corporation, qui
n'est autre que de faire de notre pays la base ou le centre
de communication qui unira l'Amérique du Nord avec celles
du Centre et du Sud (ou, parlant par téléphone,
le conseil principal de ces pays ).
Cette allusion au rôle qui devait être réservé
à "notre pays" avec le "soutien"
de l'ITT, cachait à peine les ambitions d'expansion à
grande échelle de la société récemment
créée des frères Behn, qui à l'époque
était insignifiante : raison de plus pour qu'ils profitent
de toute opportunité qui leur permettrait de populariser
l'image de la nouvelle entreprise, en l'associant à un
grand projet d'envergure internationale.
Trois jours après l'inauguration spectaculaire du service
téléphonique Cuba-États-Unis, l'inauguration
officielle du service Cuba-Canada a eu lieu avec une conversation
téléphonique via La Havane - Jacksonville - New
York-Montréal - Ottawa entre le président cubain
et le premier ministre canadien Arthur Meighen. Mais la campagne
publicitaire devait continuer.
Ainsi, en mars 1922, une liaison téléphonique
fut établie entre La Havane et Boston, qui s'étendait
de cette ville sur la côte atlantique des États-Unis
jusqu'à San Francisco sur la côte pacifique, dans
le but de démontrer l'utilisation de haut-parleurs à
la place d'écouteurs. Selon une note parue dans l'International
Telephone Magazine, publié par l'ITT, cette démonstration
... avait l'intérêt d'être la première
fois que ce nouvel appareil [le haut-parleur] était [utilisé]
pour la transmission et la réception [...] La Havane
a entendu Boston et Boston a entendu La Havane, et San Francisco
a également participé avec de brèves phrases
complétant ainsi un circuit d'environ 6 000 milles.
De ce qui suit, il apparaîtra que cette démonstration
s'inscrivait dans la préparation d'une mise en scène
publicitaire encore plus importante, où la communication
par ondes radio devait jouer un rôle prépondérant.
La radiodiffusion commerciale arrive à Cuba
La célébration du premier anniversaire de l'inauguration
du service téléphonique entre Cuba et les États-Unis
a servi de cadre à un nouveau coup d'État de résonance
internationale. Il consistait essentiellement à transmettre
des bureaux de la Compagnie cubaine de téléphone
aux États-Unis, par le biais de la liaison par câble
sous-marin, un signal audio qui, déjà en territoire
nord-américain, était envoyé par fil téléphonique
à une station de radio du New Jersey, dont les émissions
ont été captées et relancées dans
l'éther par une puissante station de radio basée
à Pittsburgh.
Ainsi, les notes de musique extraites à La Havane d'un
disque phonographique pouvaient être entendues à
la radio, à travers des haut-parleurs, dans diverses
villes américaines, dont San Francisco, en Californie.
Puis, à la demande d'un groupe d'auditeurs réunis
dans cette ville, un violoniste cubain exprès situé
dans les bureaux de la Compagnie cubaine des téléphones,
a joué un morceau de musique et à la fin a été
récompensé "par les applaudissements [arrivés
par téléphone] de l'auditorium des États-Unis,
qui ont été perçus clairement et distinctement
à La Havane pendant plusieurs minutes. »[ Immédiatement
après, une chanson solo et une pièce de danse
extraites d'un disque phonographique ont été envoyées
à Cuba depuis San Francisco. L'émission s'est
terminée par de brèves conversations entre deux
responsables de compagnies de téléphone nord-américaines
et l'ingénieur en chef de Cuban Telephone, E.T. Calwell.
Concernant l'événement, l'International Telephone
Magazine a commenté :
Le mois dernier [avril 1922], pour la première fois
dans les splendeurs scientifiques de Cuba, une station téléphonique
a servi de lien de connexion à un vaste circuit radiotéléphonique,
dont une extrémité était ici, à
La Havane, et l'autre, à San Francisco. Californie [...]
C'était le deuxième d'une série de trois
tests de conversation longue distance offerts par l'organisation
Bell, en collaboration avec l'International Telephone and Telegraph
Corporation, propriété de la Cuban Telephone Company
[sic], avec Pittsburgh comme principal centre d'activité
.
A cette époque, la diffusion des radios dans le monde
n'avait pas commencé il y a longtemps, avec l'entrée
en service régulier de la station KDKA à Pittsburgh,
fin 1920. Un an plus tard à peine, 21 radios avaient
obtenu des licences d'exploitation aux États-Unis. et
environ 50 000 récepteurs radiotéléphoniques
installés dans le pays. Ces chiffres sont passés
à 164 stations et 750 000 récepteurs, respectivement,
au cours du premier semestre de 1922. En février de la
même année, le service a été lancé
en Europe avec les premières transmissions diffusées
depuis la Tour Eiffel.
Bien qu'AT&T n'ait pas été l'une des premières
entreprises à réaliser le véritable potentiel
de la radiodiffusion, déjà au premier trimestre
de 1922, il avait installé une station de radio de 500
watts à New York, dans le bâtiment de son siège,
où concourent toutes les lignes téléphoniques
longue distance qui atteignaient la ville.
L'avancée spectaculaire de la radiodiffusion qui s'opère
alors aux États-Unis, ainsi que les possibilités
offertes par ses liens avec AT&T, suggèrent à
Sosthenes Behn un élément de plus pour configurer
l'image du porte-drapeau du progrès technologique qui
il voulait forger pour ITT. A cette fin, elle s'est entendue
avec AT&T pour installer deux stations similaires à
celle que ses partenaires venaient de lancer à New York,
au siège des compagnies de téléphone à
La Havane et à San John de Porto Rico.
En même temps, il a organisé deux nouvelles entreprises
qui devaient se consacrer à la vente locale de postes
de radio fabriqués par la société Westinghouse
: la Radio Corporation de Cuba et la Radio Corporation de Porto
Rico.
En août 1922, fut installée la station portoricaine,
et quelque temps plus tard la PWX, de la Compagnie cubaine de
téléphone, dont l'antenne consistait en un dipôle
horizontal tendu entre deux tours en fer galvanisé de
plus de 30 mètres de haut, érigées sur
le toit des trois bâtiment d'entreprise à un étage
dans la rue Águila, de sorte que le dipôle était
à environ 49 m au-dessus du niveau de la rue.
L'inauguration du PWX, qui fonctionnait sur une longueur d'onde
de 400 mètres (750 kHz), a servi à organiser un
autre spectacle publicitaire au profit d'ITT et d'AT&T.
Cela a commencé à 4 heures de l'après-midi
le 10 octobre 1922, jour anniversaire du Grito de Yara, qui
a marqué, en 1868, le début des guerres menées
par le peuple cubain pour obtenir l'indépendance nationale.
Le discours inaugural, prononcé en anglais par le président
Alfredo Zayas, a été diffusé localement
à la radio, et a été livré par téléphone
à New York, où la station AT&T l'a diffusé
à la radio.
Il y a eu des rapports d'audience de cette diffusion dans des
endroits aussi éloignés que Santiago de Cuba et
la Saskatchewan, au Canada, respectivement à 750 et 3
800 kilomètres de La Havane.
Selon la revue publiée dans le numéro d'octobre
1922 de l'International Telephone Magazine d'ITT, PWX était
alors l'une des neuf plus grandes stations de radiodiffusion
de l'hémisphère occidental et avait été
initialement créée "à des fins expérimentales,
la norme étant adoptée par toutes les sociétés
associées avec l'International Telephone and Telegraph
Corporation pour se tenir au courant des dernières avancées,
dans tout ce qui touche à la science des communications
électriques »
Une cathédrale plateresque (style architectural)
pour le téléphone cubain
Entre 1924 et 1930, l'ITT
est devenue une puissante société transnationale,
au sein de laquelle l'importance économique relative
de la Compagnie de téléphone cubaine a été
considérablement diminuée.
Cependant, au cours de la même période, les Behn
ont maintenu leur intérêt pour cette entreprise
insulaire, peut-être parce que, bénéficiant
d'une absence totale de contrôle gouvernemental, elle
continuait à rapporter de bons dividendes et pouvait
être utilisée comme vitrine d'une bonne gouvernance
d'entreprise. Voici ce qu'en disait le magazine Fortune en 1930
:
... Hernand a tranquillement pris en charge le véritable
premier-né [d'ITT] et en a fait l'unité téléphonique
la plus réussie de toutes.[...] Les réalisations
des Behn à Cuba ont beaucoup à voir avec l'enthousiasme
de l'un des premiers de l'entreprise sponsors.
A La Havane vers 1924, il devint évident pour
les frères Behn que le bâtiment de la rue Águila
occupé par le siège de la Compagnie cubaine du
téléphone, bâtiment du siège du téléphone
cubain, inauguré en septembre 1927 n'était pas
à la hauteur des plans de grande envergure qui avaient
été dessinés, ils a décidé
de le remplacer par un grand bâtiment moderne qui dominait
le panorama de La Havane et a attiré l'attention du monde
entier.
Le nouveau bâtiment, situé à l'angle des
rues Águila et Dragones (joint à l'ancien, qui
est resté auxiliaire), a été inauguré
en septembre 1927.
Sa hauteur de 62 mètres au-dessus du trottoir en faisait
le plus haut du pays, avec la particularité qu'il a été
conçu pour que son environnement soit "pendant longtemps
espagnol dans ses principaux aspects", pour lequel, selon
ses concepteurs, les architectes Luis et Leonardo Morales,...
le style plateresque a été choisi tel qu'il se
trouve à Salamanque, c'est-à-dire : l'apogée
de l'art architectural de la mère patrie [... La] conception
[du plafond à caissons du hall] est dans le plus pur
style de l'époque qui marque la reconquête...
L'histoire de la Compagnie était représentée
sur le haut de la grande porte d'entrée de l'édifice,
puisque, à supposer que le coquillage symbolise "le
pèlerin qui se rend dans des régions inconnues",
deux coquillages avaient été sculptés,
l'un grand et l'autre petit. , selon l'architecte Leonardo Morales,
étaient, respectivement, la représentation de...
l'International Telephone and Telegraph Corporation et la Cuban
Telephone Company, soutenus par deux chérubins robustes
qui [représentaient] l'esprit jeune de deux peuples forts
: le Cubain et le l'Américain
Il aurait sûrement été plus juste de supposer
que lesdits chérubins représentaient les frères
Behn. En tout cas, il ne fait guère de doute que le nouveau
bâtiment avait été conçu dans le
feu de l'euphorie des frères pour avoir pris le contrôle
de l'activité téléphonique en Espagne,
comme nous le verrons ci-dessous.
De Cuba, à la conquête du tremplin espagnol
En 1922, une fois le paiement du service de la dette et les
dépenses de Cuban Telephone et de Porto Rico Telephone
déduits du revenu brut respectif, ces sociétés
ont contribué à elles seules un bénéfice
net d'environ 500 000 $ à ITT, un montant qui s'est élevé
à plus de 800 000 $ en 1923, grâce, en grande partie,
à la gestion efficace d'Hernand Behn à la tête
de l'administration de ces sociétés. Sosthenes
a dû utiliser le prestige commercial acquis dans les deux
cas pour se lancer immédiatement dans l'aventure de l'expansion
mondiale rapide d'ITT, avec le soutien de la National City Bank
de New York, qui était intéressée à
accroître ses propres activités en Amérique
latine et L'Europe .
Semblable aux premiers conquistadors espagnols il y a quatre
siècles, mais voyageant en sens inverse, Sosthenes Behn
quitte sa base cubaine en 1923, traverse l'Atlantique et, en
matière de téléphonie, gagne l'Espagne
pour ITT et les grands financiers américains.
L'Espagne devint, à partir de ce moment, le tremplin
pour la création de l'empire mondial des télécommunications
ITT, de la même manière que Cuba avait
été le point de départ d'Hernán
Cortés pour la conquête du Mexique.
A cette époque, le service téléphonique
espagnol, qui se distinguait par son retard technologique et
son inefficacité, comptait à peine un téléphone
pour 240 habitants (90 000 téléphones au total)
et 15 000 km de lignes interurbaines de mauvaise qualité
et dans un état lamentable, c'est pourquoi, en 1923,
les derniers gouvernements parlementaires espagnols de l'époque
ont commencé à explorer la possibilité
de transférer à des entreprises privées
étrangères, puissantes et expérimentées,
l'exploitation du système téléphonique
appartenant à l'État, auquel appartenaient les
systèmes à long terme. de Madrid et de Barcelone.
Conscients de la situation, au début de 1923, les Behn
se dépêchèrent de se rendre à Madrid
en compagnie de leurs plus proches collaborateurs à Cuba
et à Porto Rico. Là, ils ont dû faire face
à plusieurs concurrents, parmi lesquels le suédois
Ericsson et les allemands Siemens et Halske, qui étaient
des fabricants réputés d'équipements téléphoniques,
bien qu'avec une expérience pratiquement nulle dans l'administration
des services publics.
Quant aux Behn ? selon les mots de Maurice Deloraine, ancienne
directrice technique générale d'ITT, ces... n'avaient
vraiment rien de précis à proposer. Ils n'avaient
ni usine, ni un nombre suffisant d'ingénieurs et de techniciens,
ni une situation financière de base. Comme atouts, ils
avaient leur confiance en eux, leur réputation, leur
compréhension de l'Espagne et des Espagnols, et parce
qu'il était américain, ils étaient considérés
comme très riches aux yeux du peuple.
À Madrid, les frères ont mené une campagne
de relations . Habiles relations publiques et une capacité
de négociation agile, qui a bénéficié
de la précieuse collaboration d'informateurs influents
et de propagandistes du ministère en charge des communications.
Tout cela, ajouté au soutien qu'ils ont obtenu de la
National City Bank et à la pression opportune exercée
par la représentation diplomatique américaine,
a sans aucun doute eu un impact considérable sur la décision
que le dictateur Miguel Primo de Rivera a finalement prise,
avec l'approbation du roi Alfonso XIII, de confier à
l'ITT l'installation et l'exploitation ultérieure du
futur système téléphonique du Pays .
Etant donné que l'accord exigeait qu'une partie importante
des composants et équipements nécessaires aux
nouvelles installations soient fabriqués en Espagne et
qu'à l'époque ITT ne disposait pas de ses propres
possibilités de fabrication, Sosthenes Behn n'a pas tardé
à entamer des négociations avec divers fabricants.
En conséquence, en septembre 1925, l'ITT
acquit, à des conditions extrêmement avantageuses,
la propriété de l'International
Western Electric Company, une filiale européenne
d'AT&T qui avait sa
principale usine à Anvers (Belgique) et deux grandes
filiales : Standard Telephones and Cables Ltd. en Grande-Bretagne
et Le Matériel Téléphonique en France,
et même une petite succursale (Teléfonos Bell,
S.A.) avec un masse salariale d'environ 250 employés,
établie à Barcelone depuis 1922.
Le 26 août 1924, le gouvernement de Primo de Rivera accorda
à la Compagnie nationale de téléphone d'Espagne
- que les Behn avaient auparavant organisé, avec la participation
d'un groupe de puissants banquiers espagnols, une concession
d'au moins 20 ans, pour reprendre ce qui devait être à
terme le système téléphonique du pays.
Selon les termes de la concession, bien que l'État devait
recevoir une partie des bénéfices, il a été
accepté
Il a été jugé raisonnable que les bénéfices
de la nouvelle compagnie de téléphone s'élèvent
à 8 % de la valeur des investissements.
A cette époque, l'Espagne était en guerre avec
les Rifains, bien décidés à secouer le
joug colonial, et les Behn proposèrent d'aider la couronne
en leur offrant la possibilité de communiquer par téléphone
avec la zone d'opérations
Le 1er décembre, la communication téléphonique
promise a été établie en utilisant les
câbles télégraphiques sous-marins gouvernementaux
existants entre l'Espagne et le Maroc, et trente jours plus
tard, un nouveau câble a été posé
entre Algésiras et Ceuta.
Ces réalisations spectaculaires ont non seulement contribué
à consolider la position d'ITT en Espagne, mais ont été
le premier exemple d'engagement offert par la société
en Europe.
Mais cela ne signifie pas que les possibilités commerciales
immédiates sont oubliées, puisqu'en 1925 l'ITT
annonce qu'elle envisage d'établir prochainement ...
un service public général qui unira le Maroc à
toute l'Europe.
En ce sens, les câbles téléphoniques sous-marins
fourniront un service similaire à celui des câbles
qui relient actuellement le système de l'International
Telephone and Telegraph Corporation, à Cuba, à
celui de Bell Telephone, aux États-Unis.
Une fois de plus, donc, l'exemple de Cuba est mis sur la table.
Mais, tout comme leurs précédentes activités
dans la plus grande des Antilles avaient servi à ITT
de rampe de lancement pour la conquête de la téléphonie
espagnole, les Behn entendaient désormais utiliser l'exemple
de leurs succès en Espagne comme tremplin pour sauter
par-dessus le téléphonie d'autres lieux européens.
Mais avant de quitter le sujet de l'ITT en Espagne et comme
détail intéressant, il convient de noter que le
13 novembre 1928, le service téléphonique entre
Cuba et son ancienne métropole a été inauguré.
L'acte a commencé par une conversation entre le président
cubain de triste mémoire, Gerardo Machado, et le roi
d'Espagne, Alphonse XIII. L'occasion a été saisie
pour informer les frères Behn que Machado leur avait
décerné la décoration de Commandeurs de
l'Ordre de Carlos Manuel de Céspedes, nommé "la
première dans l'histoire des villes qui a été
[conférée] à l'aide des lignes téléphoniques",
selon ce qui a été dit à cette occasion.
Une liaison radiotéléphonique établie peu
auparavant entre l'Amérique du Nord et la Grande-Bretagne
avait rendu l'événement possible, tout comme en
1921 la liaison téléphonique par câble sous-marin
entre Cuba et les États-Unis avait permis la réalisation
d'un événement similaire.
L'expansion mondiale de l'ITT entre 1924 et 1930
Comme déjà mentionné, en 1925, ITT a acquis
l'International Western Electric Company, une filiale d'AT&T.14
C'était une société de holding qui gérait
des filiales qui fabriquaient des équipements de communication
en Belgique, en Espagne, en France, en Grande-Bretagne, aux
Pays-Bas et en Italie. actionnaire de sociétés
chinoises et japonaises et détenait des participations
mineures dans d'autres sociétés.
Avec le changement de propriétaire, International
Western Electric a été renommé
International Standard Electric Corporation.
A cette importante acquisition s'ajoute bientôt la Compagnie
des Téléphones Thomson-Houston,
avec l'appui de la banque Morgan, qui devient à partir
de 1925 le principal bailleur de fonds des opérations
d'ITT.
Mais si l'acquisition des usines détenues à l'étranger
par AT&T était importante pour AT&T, l'accord
conclu entre les deux sociétés à l'époque
n'était pas une mince affaire, selon lequel, en échange
de l'engagement d'ITT de s'abstenir de construire des usines
d'équipement de service téléphonique aux
États-Unis États-Unis, AT&T s'abstiendrait
de concurrencer ITT à l'étranger.
Ce n'est pas l'endroit approprié pour exposer plus en
détail le processus d'expansion d'ITT jusqu'à
ce qu'elle devienne la gigantesque entreprise transnationale
de télécommunications qu'elle est devenue, mais
nous en donnerons une idée ci-dessous résumé
du développement mondial de la société
au cours de la première décennie de son existence,
comme un contexte utile pour évaluer ses activités
à Cuba.
Rappelons tout d'abord qu'en 1924 l'ITT, disposant d'une concession
accordée pour 50 ans pour exploiter un service téléphonique
dans la capitale du Mexique et établir d'autres services
longue distance dans ce pays a acquis les installations d'une
des entreprises de télécommunications établies
dans le District fédéral : Compañía
Telefónica y Telegráfica Mexicana, S.A.
Le 1er avril 1927, une importante société qui
possède des câbles télégraphiques
sous-marins entre divers points sur les côtes de l'Amérique
latine et entre celle-ci et les États-Unis, All America
Cables, Inc.15 est devenue une filiale d'ITT, qui à cet
effet avait le soutien financier de la Morgan Bank et de la
National City Bank. Par la suite, ITT a pris le contrôle
des services téléphoniques de Montevideo et du
Chili et a acquis une compagnie de téléphone brésilienne.
Parallèlement, il continue d'augmenter la capacité
de ses sociétés européennes de fabrication
d'équipements, notamment Standard Telephones and Cables,
Thomson-Houston et Le Matériel Téléphonique,
et prend des participations dans des usines hongroises, autrichiennes
et yougoslaves.
Sept câbles télégraphiques sous-marins tendus
à travers l'océan Atlantique entre l'Europe et
les États-Unis, et un à travers le Pacifique,
reliant les États-Unis à la Chine, au Japon, aux
Philippines, à Guam, à Midway et à Hawaï,
ont été repris par ITT lorsque, le 18 mai 1928,
il acquit le contrôle des sociétés de télécommunications
que Clarence Mackay avait organisées des années
auparavant pour concurrencer Western Union, en particulier Postal
Telegraph et Commercial Cable.
L'opération, également soutenue par la Morgan
Bank et la National City Bank, a complété le réseau
international de communications filaires d'ITT, qui a pratiquement
garanti à cette société le contrôle
absolu des communications internationales en Amérique
latine, et lui a permis d'établir une tête de pont
sur le marché des communications aux États-Unis.
À la fin de 1928, les actifs d'ITT atteignaient plus
de 389 millions de dollars et ses bénéfices totaux,
21,2 millions.
Entre 1928 et 1929, ITT a acquis la plus grande compagnie de
téléphone d'Amérique latine, la société
britannique United River Plate Telephone and Telegraph Corporation,
qui contrôlait 75% des 210 000 téléphones
alors installés en Argentine.
Auparavant, elle avait acquis une société similaire,
bien que beaucoup plus petite, la Compañía Telefónica
Argentina. Par la suite, il a fondé Standard Electric
Argentina, avec son usine d'assemblage et d'installation d'équipements
à Buenos Aires, et l'International Radio Company, dont
les équipements sont utilisé pour inaugurer, en
1929, une liaison radiotéléphonique à ondes
courtes entre l'Argentine et l'Espagne, qui était à
l'époque la plus longue du monde et la première
entre l'Amérique du Sud et l'Europe.
Vers 1930, l'ITT contrôlait 55 % des téléphones
installés en Amérique du Sud.
Mais avant 1929, il n'y avait pas beaucoup de propriété
d'ITT dans le domaine des communications « sans fil »
internationales, qui était alors entré en concurrence
ouverte avec les câblodistributeurs, au point de les obliger
à réduire leurs tarifs. Le 28 mars 1929, la société
Behns a acquis RCA Communications, Inc., une filiale de Radio
Corporation of America.
En 1930, dix ans après sa fondation, l'International
Telephone and Telegraph Corporation était devenue ...
d'une société de services téléphoniques
sur deux îles semi-tropicales à la plus grande
société de services téléphoniques
en dehors des États-Unis, la deuxième plus grande
société de services télégraphiques
en Amérique du Nord, une entreprise de câblodistribution
avec un bras qui [concurrence] vigoureusement à travers
l'Atlantique, un bras à travers le Pacifique et un troisième
[s'étendant] en Amérique du Sud, un participant
actif à la mêlée radio et un fabricant [faisant]
une entreprise d'environ 70 000 000 $ par an.
Le bénéfice net d'ITT est passé de moins
de 2 millions de dollars en 1924 à plus de 100 millions
de dollars en 1929, tandis que son actif total est passé
d'environ 38 millions de dollars en 1924 à environ 535
millions de dollars en 1930.
Cuba, zone de test ITT
Bien qu'à la fin des années 1920 et au début
des années 1930, Hernand Behn ait été plus
occupé que jamais à assurer le bon fonctionnement
des principales sociétés de services de télécommunications
ITT en Amérique latine et en Espagne, il a continué
à accorder une attention particulière au fonctionnement
de la Compagnie cubaine de téléphone, qui à
cette époque est devenue "l'unité la plus
réussie de toutes", selon l'expression du magazine
Fortune.
Compte tenu des perspectives d'augmentation rapide du trafic
téléphonique entre Cuba et les États-Unis
offertes dans la seconde moitié de la décennie
précédente, un quatrième câble sous-marin
de 206 kilomètres de long a été posé
entre La Havane et Key West en 1930. avec une capacité
de 7 téléphones canaux.
Mais vingt ans s'écouleront avant que les nouveaux câbles
téléphoniques sous-marins entre La Havane et Key
West ne soient mis en service, car ce n'est qu'en 1950 que deux
autres seront posés, et ce non seulement en vue de couvrir
l'augmentation future du trafic Cuba-États. Unis, comme
pour tester, dans des conditions normales de fonctionnement,
le comportement d'une nouvelle technologie basée sur
l'utilisation de câbles avec répéteurs immergés
à grande profondeur.
L'expérience ainsi acquise a été décisive
dans la conception finale des premiers câbles téléphoniques
transocéaniques, qu'AT&T et la poste britannique,
en collaboration, ont posés en 1956 entre Terre-Neuve
et l'Écosse. Les nouveaux câbles incorporaient
des amplificateurs flexibles, régulièrement espacés,
conçus par Bell Laboratories, basés sur des tubes
électroniques de longue durée, conçus pour
amplifier les signaux dans une seule direction, de sorte que
chaque conversation téléphonique nécessitait
l'utilisation simultanée des deux câbles. Bien
que les longueurs de celles qui ont été posées
entre La Havane et Key West soient légèrement
différentes (213 et 232 km), chacune comportait 3 répéteurs
qui permettaient de transmettre sans difficulté, entre
les deux câbles, 23 voies téléphoniques
et 24 voies télégraphiques simplex (12 dans un
sens et beaucoup d'autres dans le sens opposé).
De manière caractéristique, pendant de nombreuses
années, l'ITT a utilisé le territoire cubain comme
terrain d'essai pour les nouvelles technologies dans des conditions
d'exploitation commerciale, en vue de leur éventuelle
généralisation ultérieure.
Sans aucun doute, la société tenait pour acquis
que, étant donné la corruption proverbiale des
fonctionnaires du gouvernement existant dans le pays avant le
triomphe révolutionnaire de 1959, toute altération
du service dérivée de l'installation éventuelle
dans le pays d'une technologie déficiente n'entraînerait
pas de conséquences majeures.
Il est vrai qu'il y avait une dépendance du ministère
des Communications de Cuba, la Direction des services publics,
qui, selon la loi, devait être chargée de révéler
le bon fonctionnement des services téléphoniques,
électriques, etc., au profit du population, ainsi que
de prendre les mesures pertinentes nécessaires à
cet effet. Mais en pratique, cette dépendance n'a jamais
rempli sa mission avant 1959, puisque jusqu'alors elle avait
fonctionné, en pratique, comme un bureau délégué
des grandes entreprises de service public.
Un exemple de nouvelle technologie mise à l'épreuve
par l'ITT à Cuba, qui était déficiente
et préjudiciable au service téléphonique,
était la centrale électronique expérimentale
de type "rotatif" avec enregistrement électronique
à base de tubes à gaz (à vide), qui a été
installée à La Havane après la seconde
Guerre mondiale.
Bien que le nouveau système ait bien fonctionné
dans des conditions de laboratoire, il a complètement
échoué dans les conditions d'exploitation commerciale
auxquelles il a été soumis à La Havane.
L'incorporation dudit standard au réseau téléphonique
local a nui, pendant de nombreuses années, au bon fonctionnement
d'un grand nombre de téléphones de la capitale,
sans qu'aucune rectification ou indemnisation ne soit exigée
de la part de l'entreprise.
Au lieu de cela, ITT a tiré les conclusions pertinentes
du résultat négatif de son expérience et
a décidé de ne plus fabriquer de centraux téléphoniques
du même type.
Mais l'exemple le plus spectaculaire de l'importance de la plage
de test cubaine pour ITT a été le succès
obtenu dans le développement essentiellement réalisé
par AT&T, mais motivé par une demande de Sosthenes
Behn lui-même pour un coûteux système
expérimental de communications par diffusion troposphérique,
entre Guanabo (Cuba) et Florida City (USA), points éloignés
à près de 300 kilomètres l'un de l'autre.
Ce système permettait de faire parvenir des signaux ultra-haute
fréquence (UHF) stables bien au-delà de l'horizon,
de telle sorte qu'il permettait la transmission d'un canal de
télévision monochrome, ainsi que de 120 canaux
téléphoniques.
Jusqu'à l'entrée en service des satellites de
communication et des câbles à fibres optiques,
ce système était le seul au monde capable d'établir
des canaux de communications commerciales à très
haut débit pour couvrir de longues distances sans stations
de relais intermédiaires, même par voie maritime.
Inutile de dire que cela s'est traduit par un impact commercial
significatif sur le marché des télécommunications
longue distance.
Le système de transmission troposphérique «
au-delà de l'horizon » entre Cuba et les États-Unis
est entré en service en 1957 et a fonctionné
sans problème.
En conséquence, la voie a été ouverte à
l'ITT pour installer le même système entre Porto
Rico et la République dominicaine, entre la Sardaigne
et Minorque, entre l'Alaska et des endroits éloignés
du nord du Canada, et entre l'Europe et l'Afrique, en traversant
le détroit de Gibraltar.
La fin de l'ITT à Cuba
Après la Seconde Guerre mondiale, la Cuban Telephone
a laissé le service téléphonique national
se détériorer progressivement jusqu'à des
extrêmes intolérables, alléguant qu'il lui
serait impossible de disposer du capital nécessaire pour
normaliser le service et assurer son expansion jusqu'à
ce qu'une augmentation considérable des tarifs soit autorisée.
Mais les gouvernements constitutionnels de l'époque n'ont
pas osé mettre en place une telle mesure, étant
donné que la création "des dividendes suffisants
pour attirer de nouveaux capitaux signifiaient [affronter] un
public déjà indigné par la dégénérescence
du service."
En représailles, la Cuban Telephone a annulé toutes
ses nouvelles constructions à Cuba, principalement sur
décision du général William Harrison, ancien
président et ingénieur en chef d'AT&T, qui
avait remplacé en 1948 Sosthenes Behn à la présidence
d'ITT.
À partir de 1953, plus aucun nouveau téléphone
n'a été installé dans le pays
Cuba était si précieux pour l'ITT pour tester
de nouvelles technologies prometteuses, que Harrison lui-même
a consenti à ce qu'une de ses filiales dans le pays,
la Radio Corporation of Cuba, continue de travailler conjointement
avec AT&T dans l'installation de la communication susmentionnée
par transmission troposphérique.
Six mois avant l'inauguration de cette
liaison, l'ITT a enfin obtenu l'autorisation de sa très
attendue augmentation des tarifs téléphoniques,
officialisée par le décret numéro 552 du
dictateur Fulgencio Batista, du 13 mars 1957.
La date portait un symbolisme tragique, puisque ce jour-là
le palais présidentiel avait été attaqué
par un commandement révolutionnaire qui cherchait à
exécuter le tyran, une action qui a laissé un
bilan sanglant de nombreuses victimes.
Cette même nuit, un éminent avocat et homme politique
qui s'était distingué pour sa lutte contre la
hausse des tarifs prônée par le téléphone
cubain, a été arrêté à son
domicile et assassiné de sang-froid par les forces de
la tyrannie.
Quelques jours plus tard, une annonce payante parut dans la
presse nationale où, sous le titre "Merci, Monsieur
le Président" et sous la forme d'une lettre
adressée au tyran, le général Edmond Leavey,
qui occupait alors le poste de président de l'ITT, a
clairement déclaré :
J'ai très rarement rencontré, où que
ce soit, une personnalité de la vie publique ayant une
compréhension aussi large d'un problème que vous.
Vous n'avez jamais perdu de vue l'intérêt de la
communauté et vous n'avez cessé de penser à
améliorer le niveau de vie des Cubains. comme leur propre
objectif. Pour cet idéal et pour votre magnifique conception
de ce que signifie un service public, moi, personnellement,
et tous les hommes et femmes libres qui collaborent avec moi
dans la Compagnie cubaine des téléphones, sommes
de tout cur avec vous. [...] Merci beaucoup, Fulgencio
Batista, président de Cuba.
De toute évidence, cette déclaration flagrante
en faveur du régime corrompu et sanglant qui était
alors au pouvoir à Cuba par la force, visait à
garantir le soutien d'une dictature sanglante pour les intérêts
de l'ITT, une position similaire, soit dit en passant, à
la celle que la même transnationale avait précédemment
adoptée en Europe vis-à-vis des régimes
nazi et franquiste.
Mais sa publication à l'époque n'a fait qu'accroître
la méfiance du public à l'égard des raisons
invoquées pour justifier l'augmentation excessive des
tarifs téléphoniques qui avait été
autorisée.
C'est pourquoi personne ne peut s'étonner que, deux mois
à peine après le renversement de la tyrannie
de Batista à Cuba, le gouvernement révolutionnaire
qui avait pris le pouvoir a ordonné l'annulation de ladite
augmentation, ainsi que l'intervention ultérieure de
la compagnie téléphonique cubaine, dont le nom
a été changé en Empresa
Nacional Telefónica "13 de Marzo",
lors de sa nationalisation , le 6 août 1960, en
collaboration avec d'autres sociétés américaines,
en réponse à la suppression du quota de sucre
cubain par le gouvernement américain.
|
sommaire
En 1922, il semble que l'Etat ait décidé
d'équiper les réseaux urbains dont il s'était
emparé: Barcelone, Castellón, Las Palmas, Séville
et d'autres, jusqu'en 1924. En 1924, il y avait 8000 téléphones
en Espagne, tous en service manuel.
Les compagnies de téléphone qui étaient
en place avaient peu d'entité et pour cette raison la question
de l'automatisation ne s'est posée qu'au début du 2e
quart du 20e siècle. Cependant, sur le réseau provincial
de la Mancomunidad de Catalunyail, il faut mentionner qu'il
existait un système rotatif Strowger
à Balaguer (Lleida) d'une capacité de 200 lignes.
Ce sera le seul exemplaire Strowger d'installé en Espagne.
Le 15 décembre 1923 , Balaguer,
chef-lieu de la région de La Noguera à Lleida,
a été la première et la seule localité
de l'État à disposer d'un standard téléphonique
automatique en Espagne. (Voir en détail à la rubrique
Balaguer).
En 1924, les autorités décident
de former un monopole téléphonique et une commission
est nommée pour attribuer le projet de communication espagnol.
Sont présentés : la National Telephone
Company of Spain, intégrée à North
American ITT (International Telegraph and Telephone), la Ericsson
Telephone Company et la Nat Electrics
Works . Monopole du service téléphonique en Espagne
pendant 20 ans.
La société américaine ITT
a acquis la Peninsular Telephone Company
et la National Telephone Company of Spain
CTNE a été créée le 25 août
1924, la célèbre Telefónica
qui allait traverser différentes vicissitudes tout au long
de son histoire, devenant nationalisée dans les années
40, développant et étendant le service de 1950 à
1974 , automatisant les réseaux et les centres, d'abord les
urbains et ensuite les interurbains et enfin les communications internationales.
Le contrat oblige la CTNE à utiliser des matériaux de
construction nationaux, c'est pourquoi ITT crée en 1926 la
Standard Eléctrica, SA (SESA),
en prenant comme actif initial la Bell Telephone Company de Barcelone,
fondée en 1922. Cette nouvelle société, dont
le président est le Duke de Alba, démarre simultanément
ses activités à Barcelone et Madrid avec la fabrication
d'appareils de commutation et de postes téléphoniques.
Le contrat est contesté par certains hommes d'affaires, qui
perdent leurs concessions et par le corps télégraphique.
Malgré cela, certains télégraphistes intègrent
d'emblée les effectifs de la Société, car, en
raison de l'absence de personnes ayant des compétences en télécommunications,
les entreprises du secteur font appel aux télégraphistes
en place. Luis Alcaraz Otaola et Emilio Novo sont deux exemples qui,
en plus de faire partie du personnel du CTNE, appartiennent également
à la première classe d'études supérieures
des télégraphes.
Contrat privé entre CTNE et IT&T
Le lendemain de sa publication au Journal officiel, le contrat de
concession de services est signé à l'insu du gouvernement,
un contrat privé entre le CTNE et IT&T. En vertu de ce
contrat, IT&T devient le conseiller technique et financier du
CTNE, un inspecteur de l'organisation et du développement de
ses services et son représentant pour le placement de ses titres
sur les marchés étrangers. Pour tous ces services, le
CTNE doit payer à l'IT&T 4,5% du résultat brut d'exploitation,
ce pourcentage n'incluant pas les commissions bancaires que le CTNE
a dû payer pour la vente et la distribution des titres à
l'étranger. IT&T exerçait également les fonctions
d'achat de tous les matériaux et agencements dont CTNE avait
besoin, pour lesquels elle percevait une commission de 5% sur le montant
de tous les matériaux et agencements achetés, ainsi
que sur le montant de l'ensemble des bâtiments construits, acquis
ou reconstruits, bref sur la quasi-totalité des investissements
nets. De plus, IT&T anticipe des fonds au CTNE, à raison
de 7% par an, alors que la première ne lui verse que 5% des
sommes dont elle est créancière. Enfin, la CTNE ayant
porté son capital initial, de un million de pesetas, à
115 millions, dont 15 sont représentées par des actions
ordinaires, et les 100 millions restants par des actions de préférence,
l'IT&T a souscrit et acquis, en vertu du contrat de Sur le à
la même date, le total dudit capital, à l'exception de
600 000 pesetas, qui seraient acquis à parts égales
par la Banco Urquijo et la Banco Hispano-Americano.
Le contrat entre CTNE et IT&T montre une dépendance absolue
du premier par rapport au second.
Une fois le contrat avec l'Etat approuvé, la
réglementation se stabilise et la CTNE entame un vaste programme
de modernisation du réseau et de standardisation des équipements
et matériels téléphoniques. Cette politique se
concentre sur la rénovation des installations existantes, l'extension
du téléphone dans tout le pays et l'automatisation,
ce qui accroît l'intérêt de la population pour
le service téléphonique, qui commence à le voir
différemment, bien qu'encore élitiste. À partir
de ce moment, la société Telefónica reprend les
différents réseaux qui existent en Espagne. à
l'exception du réseau téléphonique officiel qui
est toujours aux mains de Telégrafos, peu de temps après
sa fondation.
La CTNE a repris toutes les concessions, à l'exception de deux:
le réseau Guipúzcoa, qui n'expire qu'en 1944, et le
réseau urbain réseau de Saint-Sébastien à
durée illimitée.
Le Développement technologique : Les
moyens de transmission s'améliorent et offrent de nouvelles
solutions.
En 1924, le premier câble téléphonique sous-marin
a été posé entre Algésiras et Ceuta et
un an plus tard, le premier câble téléphonique
souterrain a été posé dans une canalisation à
El Escorial. Cela représente une révolution dans le
mode de fonctionnement, puisque jusqu'à cette date les parcours
de câbles étaient principalement aériens et produisaient
un impact négatif sur l'esthétique des villes que la
Société avait promis d'éliminer.
Les réalisations de la radio et le développement des
techniques de modulation permettent d'installer en 1925 les premiers
systèmes porteurs dits «haute fréquence»
entre Madrid et Cordoue et entre Madrid et Burgos, qui permettent
des conversations téléphoniques simultanées sur
quatre canaux.
Peu de temps après, en 1928, la première liaison radio
téléphonique à ondes courtes a été
installée entre Madrid et Santa Cruz de Tenerife, représentant
une alternative aux câbles sous-marins, en même temps
que Madrid-Washington et Madrid-La Havane.
A partir de ce moment, d'autres liaisons transatlantiques se feront
via des liaisons radio téléphoniques à ondes
courtes.
1925 DEBUT DE L'AUTOMATISATION
Entre les derniers jours de 1924 et les premiers jours de 1925, l'Exposition
nationale des machines a eu lieu au Palacio del Hielo de Madrid.
La CNTE a participé au concours et en a profité pour
sensibiliser les Espagnols à la manière dont les communications
seraient dans notre pays.
Un modèle d'exposition avec un équipement de commutation
automatique s'est démarqué des autres .
La présentation a été un succès, l'organisation
a donc décidé d'attribuer le Grand Prix de l'Exposition
à la CTNE pour un équipement fabriqué par la
Bell Telephone Manufacturing Company d'Anvers,
une filiale de l'international Standard Electric Corporation, en 1925.
Le 26 août 1926, le roi Alfonso XIII inaugura
avec une grande solennité le standard automatique de
Santander avec le système de commutation Rotary
7A. C'était le tout premièr centre automatique
de la CTNE en Espagne.
À partir de ce moment, l'expansion des centres automatiques
sera une constante, surtout dans les grandes villes.
(Vous pouvez consulter en plus un manuel technique du Rotary (en
pdf) sur ce lien ).
Ce système est, sans aucun doute, que Telefónica
ait eu en fonctionnement le plus longtemps. Par exemple, le centre
d'Aragon a été inaugurée en 1927 avec ce système
et ne sera démantelé qu'en 1992.
Les gens
se rassemblent à la vitrine du central longue distance de Santander
où des téléphones automatiques étaient
exposés et des démonstrations de leur utilisation ont
été données.
En France on trouve trace de cet événement dans le journal
télégraphique du 25 juin 1926 :
"Espagne. La Compania telefonica nacional d'Espagne
procède à la pose de câbles souterrains, organise
le service automatique et poursuit d'autres perfectionnements. Dans
ses traits essentiels, le programme prévoit la pose d'un certain
nombre de lignes inter-urbaines entre les grandes agglomérations.
L'automatique a été établi à Santander,
une nouvelle centrale téléphonique érigée
et une école fondée pour l'instruction du personnel.
La pose de nouveaux câbles dans la plupart des districts du
nord et du nord-ouest sera probablement accomplie avant la fin de
l'année."
Aspect technique : Le Manuel (pdf)
décrit tous les circuits d'un central automatique Rotary, détaillant
les fonctions de chacun, depuis la phase dans laquelle un abonné
décroche le terminal téléphonique jusqu'à
ce que l'appel soit établi avec un autre abonné ou qu'il
soit acheminé vers un poste d'opérateur pour établir
l'appel avec un autre central (il faut se souvenir que la téléphonie
automatique - à cette époque - n'était entièrement
automatique que dans les appels locaux entre abonnés d'un même
central, pour les appels externes une intervention manuelle était
nécessaire via un panel assisté d'opérateurs).
Baie de Rotary 7A
Cas particulier en 1926 , le premier centre
automatique systèmes rotatifs Ericson
AGF 500 lignes a été installé dans le
réseau de Saint-Sébastien pour couvrir la ville
et les villes voisines. C'est le premier et le seul système
Ericson AGF 500 qui sera installé en Espagne.
Le 29 décembre 1926, le roi Alfonso
XIII présida l'inauguration du service automatique à
Madrid, en Rotary 7A, mettant
en service en même temps les centraux de Salamanque et
de Jordán, avec 5000 lignes chacun, puis Fuencarral
avec 7200 lignes (noms des bâtiments Telefónica à
Madrid) Par curiosité, ils ont également été
bénis par l'Église.
Pourquoi Santander a-t-il été inauguré en premier
et pas Madrid ?
Il faut garder à l'esprit que, bien que son installation ait
déjà été décidée et, en
fait, qu'elle se déroule en même temps qu'à Santander,
on a pensé qu'il valait mieux tester dans une ville avec peu
d'habitants pour vérifier son fonctionnement réel et
détecter les problèmes qui pourraient être résolus
avant de commencer à fonctionner à Madrid.
Ils ne pouvaient pas risquer qu'à Madrid, place financière
de l'Espagne et capitale du royaume, ils aient le moindre problème.
Le même jour, le nouveau réseau téléphonique
interurbain espagnol a également été inauguré
par le monarque espagnol, parlant simultanément avec de nombreuses
localités des quatre coins du royaume et certaines du protectorat
en Afrique du Nord.
La longueur du circuit utilisé pour l'occasion était
de 3 800 km, une distance qui a établi un nouveau record européen
pour les communications téléphoniques et le tout sur
le territoire espagnol.
Tout au long de 1927, la croissance fut fulgurante. De nombreuses
installations automatiques sont inaugurées; Saragosse, Pampelune,
Jerez de la Frontera.
Le Rotary sera la stratégie adoptée pour l'automatisation
de l'Espagne à partir de cette période.
Les lignes de circuit interurbain ont été agrandies,
atteignant 98 213 km; un million de conférences ont été
dépassées sur le territoire national.
En fin d'année, le chiffre de 1 737 échanges automatiques
a été atteint, qui desservait 128 407 téléphones.
CNTE Plan des lignes interurbaines

sommaire
L'annexe numéro 4 du rapport CTNE de 1926
, plan des villes à automatiser correspondant aux développement
du réseau interurbain.

L'annexe numéro 2 du rapport CTNE de 1928
comprenait un tableau sur les caractéristiques du service
interurbain en Espagne

De nombreux événements imprévus à cette
époque se sont produits au cours de ces vingt années
qui ont conduit à d'autres circonstances.
La proclamation de la deuxième République, puis la guerre
civile et la période ultérieure de la dictature, et
la seconde guerre mondiale, en sont venues à affecter les événements
de manière très décisive
L'automatisation arrivera dans le monde rural
plus tard, lorsque le processus d'automatisation se terminera dans
les années 80.
Qui ne se souvient pas avoir à passer la communication téléphonique
par le standard pour «appeler le peuple» tout au long
des années 60 et 70? Quand nous n'avions pas de téléphone
dans notre appartement, nous appelions depuis la maison du voisin
ou nous nous rendions dans l'une des nombreuses cabines téléphoniques
qui remplissaient nos rues et nos places, comme celles que nous voyons
dans le dernier paragraphe, situé sur le Paseo de Sarasate
Le capital initial de la CNTE, était de 135
millions de pesetas, et passé à 500 millions en 1933,
mais il appartenait principalement à l'International Telegraph
and Telephone (ITT) de New York.
Le contrat nécessitait la construction d'infrastructures avec
les principales villes espagnoles et le développement du service
téléphonique urbain.
Carte des communications téléphoniques longue
distance en Espagne, indiquant les lignes et les répéteurs
qui ont participé au test longue distance de 1926
Le CTNE a divisé le territoire national
en 10 districts en tenant compte de paramètres techniques
et non géographiques.
sommaire
Norme Eléctrica S. A.
(SESA). Etait une Entreprise espagnole dédiée à
la fabrication et à l'assemblage d'équipements de commutation
et de postes téléphoniques, créée en 1926
par la société anonyme Telefonos
Bell , puis racheté par l'International
Telephone and Telegraph Corporation (ITT),
Entre 1926 et 1929, plus de 1 000 ouvriers
travaillent au chantier de l'édifice Telefónica
conçu par l'architecte Ignacio de Cárdenas Pastor et
ses collaborateurs, d'après une étude préliminaire
de Lewis S. Weeks, architecte de Manhattan, pour le compte de la Compagnie
nationale de téléphonie, existant depuis le début
du XXe siècle et devenue par la suite Telefónica.
C'était l'édifice le plus haut d'Espagne et d'Europe.
Par ailleurs, le luxe et le bon goût des parties communes ainsi
que la solidité de l'ensemble, doivent susciter la confiance
chez les utilisateurs et les futurs investisseurs. L'édifice
symbolise l'ouverture de l'Espagne vers le progrès et le monde
de la communication.
Sur le plan technique, le bâtiment est conçu d'emblée
pour un central de conception ultra-moderne, avec une capacité
de 40 000 lignes.
Le choix pour automatiser le téléphone
dans toute l'Espagne est le système
Rotary 7A2 déjà utilisé à Madrid,
Santander, Pampelune et Jerez.
Le 16 septembre 1928, le service automatique
a commencé à être fourni à Barcelone.
Cette même année, Bilbao, Malaga, Séville et Valence
ont eu la même chance.
En 1929, en plus de l'inauguration du siège
de Telefónica sur la rue Pi y Margall (aujourd'hui Gran Vía)
à Madrid, les sièges de Viedo, Cadix, Valladolid, Vigo,
Grenade, Cordoue, Murcie et Salamanque ont été inaugurés.
Ce dernier avec une nouvelle version du système
Rotary appelé 7B.
Le nombre de téléphones a atteint en fin d'année
le chiffre de 174 059 abonnés (sachant que les particuliers
n'avaient droit qu'à 1 téléphone par foyer).
Cette année, les centraux de Logroño, La Corogne, Saint-Jacques-de-Compostelle
et Huelva sont entrées en service .
Le
bâtiment Gran Vía vu de la Calle Montera, Madrid, 1930.
En 1931, le service automatique s'est poursuivit à Alicante,
Carthagène, Manresa, Palma de Majorque, Tarrasa, Vitoria et
Sabadell.
En 1931, 39 capitales provinciales étaient automtisées,
Madrid et Barcelone représentant 40% des lignes téléphoniques
du pays.
À partir de 1930, les énormes répercussions
de la crise de 1929 et de l'effondrement de la Bourse de New York
atteignent également l'Espagne.
En 1931, le PIB espagnol a chuté de 5,8%. Au milieu d'énormes
troubles sociaux, les élections municipales d'avril 1931 précipitent
la fin de la monarchie et la proclamation de la République.
Au cours du premier exercice républicain, les dépenses
publiques ont augmenté et la tâche de modernisation des
infrastructures s'est poursuivie. On parlait de nationaliser la compagnie
de téléphone espagnole, mais le moment n'était
pas venu pour ce type d'opération.
Avec l'arrivée de la Seconde République en 1931, l'année
où l'Espagne peut déjà communiquer avec 80% des
destinations du monde, le gouvernement remet en question la légalité
du contrat en interprétant que le service téléphonique
est confié à des étrangers et demande son annulation.
En 1932, une commission parlementaire étudia le sujet et présenta
un rapport sur l'activité de la compagnie de téléphone
au cours de ses 8 années d'existence.
Cette affaire se termine en décembre de cette année,
sous le gouvernement de Manuel Azaña, qui suspend toute
action en justice contre le Contrat, alors que la CTNE dispose déjà
de 270 542 abonnés, 63,44 % d'entre eux étant
automatiques, et les communications des réseaux interurbains
et internationaux qui se tiennent dans le l'année a atteint
le chiffre de 16 785 612, ce qui représente une augmentation
de 18,3% par rapport aux valeurs atteintes l'année précédente.
Azaña contre Telefónica, les limites du pouvoir,
prétendant expliquer le conflit diplomatique entre le gouvernement
de la Seconde République présidé par Manuel Azaña
et celui des États-Unis, en 1931 et 1932. Le Directoire militaire
de Primo de Rivera a accordé, en 1924 , à la Compañía
Telefónica Nacional de España, filiale de la North American
IT&T, la concession de monopole du service téléphonique,
par attribution directe, à travers une procédure que
les républicains jugeaient illégale et irrégulière,
et dans des conditions excessivement préjudiciables aux Espagnols
État. La coalition républicaine-socialiste, d'abord
dans l'opposition, puis dans le gouvernement, a fait de l'abrogation
du contrat et de la nationalisation de Telefónica, l'une de
ses propositions les plus emblématiques. Quand Azaña
a voulu mener à bien cette politique, il s'est heurté
à l'opposition obstinée du gouvernement américain,
qui a menacé d'interrompre les investissements américains
en Espagne, si le gouvernement républicain réalisait
son objectif.
En 1932 Création de l'UIT, une conférence internationale
a eu lieu à Madrid, dont le principal résultat a été
la création de l'Union internationale
des télécommunications (UIT), une organisation
internationale dont le fonctionnement est basé sur le principe
de la coopération entre les gouvernements et le secteur privé
de les différents pays qui le composent. Cet organisme, qui
a une grande importance dans le développement des télécommunications,
est né de la fusion de l'Union télégraphique
internationale (UTI) et de l'Union radiotélégraphique
internationale (URI). Plus tard, en 1947, l'UIT deviendra une institution
spécialisée des Nations Unies basée à
Genève. Un aspect important de cette réunion est la
définition pour la première fois du concept de télécommunication.
En 1932, le service automatique a été
inauguré à Gijón et León.
En 1934, le service automatique a été inauguré
à Lleida, Las Palmas et Tarragone.
En 1935, le système automatique a été
créé à Almería, Burgos,
Castellón de la Plana et Badajoz.
Du 31 mars 1936, prélude à la guerre
civile, et jusqu'à la même date en 1941, le conseil
d'administration de la CTNE, toujours présidé par le
Marqués de Urquijo, n'est pas revenu pour présenter
de rapport des exercices au Conseil et aux Actionnaires Ordinaires
et Généraux.
Les activités essentielles de l'entreprise ont continué
d'être assurées, car Telefónica, étant
donné la nature particulière de son activité,
les communications, aussi essentielles pour la guerre que pour la
paix, ne pouvaient être exclues du conflit.
Le territoire a été divisé en deux parties:
la républicaine et la nationale, le service téléphonique
étant divisé en ces deux zones isolées l'une
de l'autre, sauf cas exceptionnels liés aux actions humanitaires.
LeaCTNE a établi des délégations dans les deux
partis, trois dans la zone nationale: Tenerife, Séville et
Valladolid et deux dans la zone républicaine: Madrid et Barcelone.
Les centres téléphoniques desservaient les autorités
et le public des différents secteurs et le téléphone
remplissait sa fonction de communication dans chacun des deux côtés.
sommaire
Poursuite du développement du téléphone
en Espagne :
Au 31 décembre 1935, il y avait 329 130 téléphones
en service, se réduisant, à la suite de la guerre civile,
à 291 243 au 31 décembre 1939.
Une fois la guerre terminée, le 31 décembre 1940,
le nombre d'abonnés à partir de 1935 a été
récupéré avec un total de 327 075 téléphones.
En 1940, les centres de Zamora, Toledo, Albacete,
Cáceres et Gerona ont été automatisées.
En 1943, le nombre de téléphones
en Espagne était proche de 400 000, dont plus de 70
% en automatique, principalement en Rotary 7A.
En 1945, le gouvernement décrète la nationalisation
deTelefónica, acquiert
les actions appartenant à l'ITT
et octroie un nouveau contrat avec de larges pouvoirs pour exercer
le monopole de la téléphonie et de la radiotéléphonie
dans toute l'Espagne.
La nationalisation en 1945 et la concession subséquente
du service téléphonique en 1946 par l'Etat
espagnol au CTNE ont été indispensables
pour relancer les installations téléphoniques.
En 1946, les travaux pour le passage à
six chiffres des téléphones madrilènes sont terminés
et en 1950, des centraux automatiques sont inaugurés à
Palencia, Pontevedra, Vich et Ségovie.
En 1950, les Nations Unies (ONU) ont reconnu
le régime du général Franco et, en conséquence,
des changements ont commencé à se produire en Espagne.
Avec l'accord bilatéral avec les États-Unis en 1953,
les recommandations du Fonds monétaire international et l'approbation
du plan de stabilisation en 1959, une période d'impulsion industrielle
a commencé avec l'ouverture du marché national et la
connexion avec les marchés étrangers, dans lesquels
l'offre et les problèmes d'approvisionnement ont disparu. Le
développement du réseau téléphonique se
poursuit de manière plus prononcée. La demande de nouvelles
lignes et de trafic téléphonique a augmenté uniformément
dans les années 1950 et 1960, coïncidant avec d'importantes
décisions politiques et économiques, telles que le début
des négociations pour entrer dans la Communauté économique
européenne, l'adoption de nouvelles technologies et l'impact
d'un nouveau phénomène: tourisme.
En 1951, le système automatique urbain Rotary
de classe 7D entre en service à Guadalajara
et le centre automatique de Lugo est inaugurée.
En 1952, l'usine automatique d'Orense est inaugurée.
En 1953, le centre automatique Ciudad Real a été
inaugurée.
En 1954, le centre automatique a été inauguré
à El Escorial, Cuenca, Torrelavega, Mieres, Mérida et
Calatayud.
En 1955 il a été installé en Espagne plus
d'un million de téléphone, ce chiffre doublant en 1963.
En 1956, des centraux automatiques ont été inaugurées
à Huesca, Sama-La Felguera, Soria, Figueras, Villafranca-Beasaín
et Azpeitia-Azcoitia.
En 1957, le centre automatique d'Avila a été
inaugurée.
En 1959, le centre automatique de Teruel a été
inauguré et l'automatisation du service des 50 capitales provinciales
a été achevée. Toutes les dates indiquées
dans cette section sont tirées des Mémoires des exercices
du CTNE (1926-1959).
Comme on peut le voir, le processus d'automatisation a suivi un ordre
logique, en termes d'importance de la ville en question, et d'abord
il a été fait avec les grandes villes ou avec celles,
par exemple Saragosse, situées dans un point de grande valeur
stratégique.
Cela signifiait que les villes qui ne répondaient pas à
ces exigences, par exemple Huesca et Teruel, ont vu leur mise en uvre
retardée.
Dans ces années 60 et au début 70 ans, ils y avait de
nombreuses les demandes téléphoniques qui prenaient
jusqu'à deux ans, une période qui, en 1985, serait déjà
tombée à six mois.
L'EXPANSION DU SERVICE INTERNATIONAL
Si le service automatique a révolutionné les appels
urbains et interurbains (hors de la même ville), les appels
internationaux ont dû attendre beaucoup plus longtemps pour
pouvoir se passer de la figure de l'opérateur.
Toutes les communications avec l'étranger passaient par l'opérateur
qui, à son tour, contacte un autre opérateur du pays
appelé.
Le 4 avril 1927, après l'approbation d'un accord entre
le CTNE et le conseil municipal de Gibraltar par le gouvernement,
le service téléphonique interurbain a commencé
à être fourni au Rocher.
Le 17 mai 1927, le service Madrid-Lisbonne a été
créé. Afin de réaliser cette communication, en
plus de la construction de lignes terrestres, il était nécessaire
de poser un câble sous-marin entre Ayamonte (Huelva) et Villarreal
de San Antonio (Portugal).
Fin juin 1927, le service commence avec la Belgique, l'Angleterre,
les Pays-Bas, l'Allemagne, l'Italie et la Suisse.
Le 13 octobre 1927, le service téléphonique entre
Madrid et Washington est inauguré, utilisant le réseau
de la France et de l'Angleterre comme support.
Le 13 novembre 1927, Madrid et La Havane étaient reliées
par téléphone.
Le 12 octobre 1929, les propres installations de la Société
ont été utilisées pour la première fois
pour la communication transatlantique entre Séville et deux
pays d'Amérique latine, l'Argentine et l'Uruguay. La communication
quitta Séville et atteignit Madrid par des lignes interurbaines
ordinaires et de Villa y Corte à Buenos Aires et Montevideo
par radiotéléphonie entre les stations espagnoles et
argentines.
L'extension à Montevideo a été réalisée
au moyen d'une ligne terrestre reliée à un câble
sous-fluvial posé sous les eaux du Río de la Plata.
Cette même année, le service international a été
étendu à l'Autriche, la Tchécoslovaquie, le Danemark,
la Hongrie, le Luxembourg, la Norvège et la Suède.
Le 11 avril 1930, le service radiotéléphonique
avec le Chili est inauguré. De Buenos Aires à Santiago
du Chili, une ligne terrestre a été utilisée
pour traverser les Andes.
Avant la fin de l'année, un service a été établi
avec l'Australie, le Maroc français et les Antilles (Java).
En 1931, les lignes avec la Finlande, la Lituanie, le Siam
(Thaïlande), Dantzig (une cité-état qui en 1939
a été annexée à l'Allemagne nazie et plus
tard à la Pologne), la Cité du Vatican et Andorre ont
été incorporées au service international.
En 1932, le service international a été étendu
à la Pologne, la Lettonie, la Roumanie, la Yougoslavie, le
territoire de la Sarre (actuellement une région appartenant
à l'Allemagne, bien qu'il appartenait autrefois à la
France), le Brésil, la Colombie, le Venezuela, les Bermudes,
Hawaï, l'Égypte, l'Afrique du Sud et la Nouvelle-Zélande.
En 1933, l'Algérie, la Bulgarie, le Congo belge, l'Estonie,
les Philippines, l'Inde anglaise, la Palestine, le Pérou, la
Syrie et la Tunisie ont adhéré.
En 1934, le Guatemala, le Costa Rica, le Nicaragua, le Panama,
les Bahamas et l'Indochine l'ont fait, et le service d'annonce de
conférence a été introduit et, le 28 août,
le service de téléphonie a été aboli.
En 1935, le service de télégramme mixte a été
introduit et le service international a été étendu
à la Grèce, l'Islande, la Rhodésie (Zimbabwe),
la Turquie, le Japon et l'Afrique équatoriale française
(République centrafricaine).
À la fin de 1935, il y avait un service international
avec 68 pays.
Plus tard, il a été réduit au Portugal et à
Gibraltar.
En décembre 1940, le service reprit avec 27 pays d'Europe,
d'Asie, d'Amérique et d'Océanie.
En 1942, il a été annulé avec la France
et les Philippines.
En 1944, le service avec l'Allemagne a été annulé
et il a été rétabli avec la Grande-Bretagne,
l'Irlande et Tanger.
En 1948, le service international a repris avec de nombreux
pays et étendu à Malte, la Norvège, la Suède,
le Kenya, le Tanganyika, l'Ouganda, Terre-Neuve, l'Inde, le Pakistan,
l'Australie et Ceylan (Sri Lanka).
En 1954, il a été étendu à l'Autriche,
à la Guinée portugaise (Guinée Bissau), à
Hong Kong et à Guam.
En 1955 à Aden (Yémen), au Cameroun, en Égypte,
en Éthiopie, à La Réunion, aux Iles Vierges,
à la péninsule malaise, à Singapour et au Venezuela.
En 1957, 107 pays avaient une communication directe
avec l'Espagne.
À partir du moment où vous avez eu une communication
avec un pays, tout abonné pouvait passer des appels (vers le
pays avec lequel vous êtes en communication) via un opérateur
de service international. C'était une avancée importante
pour les personnes, qui pouvaient communiquer plus rapidement avec
leur famille et / ou leurs amis, et pour les entreprises en général.
Pour pouvoir le faire de n'importe où en Aragon, par exemple
depuis Sabiñanigo (Huesca), vous deviez contacter l'opérateur
local, lui expliquer le type d'appel (international dans notre cas),
le numéro avec lequel vous vouliez parler et elle a contacté
l'opérateur de Saragosse qui, à son tour, a contacté
l'opérateur de Madrid et ce dernier a établi la connexion
avec l'opérateur du pays correspondant.
sommaire
LA FABRICATION DU MATÉRIEL TÉLÉPHONIQUE
Création de Standard Eléctrica S.A.
Le contrat signé entre l'Etat et le CTNE le 25 août 1924
imposait à la Société d'utiliser des matériaux
de fabrication nationale dans ses constructions et installations,
à condition qu'ils satisfassent aux conditions techniques précises.
L'ITT créa la Filiale
Standard Eléctrica S.A. le 21 janvier 1926 pour faciliter
cette tâche pour le CTNE et planifia la construction de 3 usines
en Espagne intégrées à ladite société,
dédiées à la fabrication d'appareils, d'équipements,
de câbles et d'une autre série d'éléments
destinés à répondre aux besoins imminents du
service téléphonique espagnol renouvelé.
L'affiche suivante représentait l'emplacement exact des 3 sièges
sociaux de Standard Eléctrica S.A. en Espagne.
sommaire
1960 LE SYSTÈME AUTOMATIQUE PENTACONTA
Ils étaient de nature électromécanique et offraient
une vitesse et une flexibilité accrues dans le routage des
appels. On les appelait des équipes cross-bar et elles ont
été massivement introduites dans notre pays.
Le nom Pentaconta est inspiré du mot grec qui signifie «cinquante
comptes» et est lié aux 52 lignes de capacité
utilisées par le multiswitch de ce système. Le principe
fondamental de ce système a pour précurseur le soi-disant
«interrupteur suisse», inventé à la fin
du XIXe siècle. Le premier brevet connu date de 1915.
Dans les premières applications de ce type de commutateur,
un ensemble de 10 entrées et de 10 sorties était simplement
utilisé avec un commutateur à deux voies. Il a été
conçu en 1953 par F. Gohorel de la Compagnie Générale
de Constructions Téléfoniques.
Le CTNE a adopté ce système dans les années 1960.
Une installation expérimentale avec le P-500 a été
réalisée à Barcelone en liaison avec Saragosse
et Madrid (au sein du 1er réseau interurbain espagnol).
Le système a été modifié par Standard
Eléctrica Española pour l'adapter aux besoins espagnols
et en le produisant massivement (avec du matériel entièrement
espagnol), les installations, à un certain moment, ont traité
80 % du trafic de l'ensemble du réseau de commutation.
Le système P-1000 était le plus utilisé
en Aragon pour les villes de plus de 10 000 habitants.
Il existe plusieurs versions de ce système:
- Pentaconta 500 : L'élément de sélection était
commun pour 500 lignes
- Pentaconta 1000: L'élément de sélection était
commun pour 1000 lignes.
- Pentaconta 2000: L'élément de sélection était
commun pour 2000 lignes.
En 1969, on comptait 4 093 500 téléphones
et 10 699 centres téléphoniques, dont 81 %
en automatique.
Malgré les investissements spectaculaires prévus pour
le 11e plan, il n'arrivait pas à couvrir entièrement
la demande d'installation de téléphones au cours de
cette période, qui est censée atteindre de 1,5oo.oo0,
même si elle sera satisfaite à Madrid, Barcelone , Bilbao,
Séville, Valence et Saragosse. Dans les autres centres automatiques
les plus importants, il sera atteind entre 1971 et 1972.
1970 Le SYSTEM PC · 32
Ce système a été utilisé massivement,
à partir des années 70, dans les zones rurales où
les lignes installées ne nécessitaient pas un système
plus grand. C'était un équipement crossbar (comme le
Pentaconta), modifié par Standard Eléctrica à
Madrid.
Il était de moindre capacité, donc dans notre communauté,
il était utilisé dans la grande majorité des
villes de moins de 10 000 habitants.
Il a été démantelé à partir du
milieu des années 90 et remplacé par du matériel
numérique.
sommaire
Période 1877-1924 en Espagne, Regardons
plus en détails certains évenements stratégiques/économiques
:
|
Le leadership des entreprises catalanes.
Un environnement réglementaire oscillant, une incertitude
considérable et un risque élevé étaient
les ingrédients de l'activité de téléphonie
à ce stade. Bien entendu, les investisseurs n'avaient
aucune marge de manuvre lorsque l'État se réservait
la propriété des réseaux.
Mais même dans les circonstances les plus favorables à
l'initiative privée, dans le cadre d'une législation
libérale, ils étaient confrontés à
un système de concessions qui, en raison du manque de
temps, ne garantissait pas un retour sûr sur le capital
investi.
En règle générale, les réseaux étaient
attribués aux enchères aux candidats qui s'étaient
présentés seuls.
Souvent, les premiers concessionnaires ont transféré
les réseaux à d'autres particuliers ou à
des entreprises spécialisées. Ce fut le cas, par
exemple, à Madrid, Valence, Saragosse, Santander ou Sabadell,
pour parler de cas variés dans leur importance géographique
et leur ampleur.
En réalité, des initiatives purement locales coexistaient
avec des plans qui poursuivaient une mise en uvre nationale.
La capitale de l'Espagne a mis en place, en 1883, un réseau
public, qui répondait à une demande sensiblement
inélastique, composée à près de
40% d'abonnés «officiels».
Il est possible que ce fait ait découragé l'initiative
privée. En tout état de cause, la première
société de cette nature ne date que de 1886, date
à laquelle le Catalan P. Bosch y Barrau, titulaire
de la concession, et la Banque du Brabant, en charge de la mobilisation
des ressources financières, ont accepté de former
le Madrid Société téléphonique.
Il faut également ajouter que cette société
échouerait dans ses tentatives de rendre viable le réseau
urbain et serait remplacée par une société
concurrente, comme indiqué ci-dessous.
Le manque de concurrence publique et de développement
industriel, d'autre part, a donné plus de succès
aux compagnies de téléphone catalanes.
Les deux premiers ont été la Société
espagnole d'électricité (SEE) et Telefonia,
créée en 1881.
De manière tacite dans le premier cas et explicitement
dans le second, ils ont combiné l'activité électrique
avec l'activité téléphonique.
Comptant sur le soutien financier du Crédit espagnol,
la SEE se développe avec un succès relatif jusqu'en
1889, année où la crise financière l'oblige
à céder la partie téléphonique de
son crédit à l'établissement de crédit.
Pire, la téléphonie, l'électricité
et l'éclairage électrique fonctionnaient mal.
Barcelone était le véritable épicentre
des principales initiatives en matière de téléphonie.
Le réseau téléphonique de la ville avait
été laissé entre les mains de la Société
espagnole d'électricité, après
l'avoir cédée au Crédito Español,
qui l'avait financé, la SEE se spécialiserait
dans le secteur de l'énergie, tout comme son successeur,
la Compañía Barcelonesa de Electricidad.
De son côté, le Crédito Español était
mal à l'aise avec une activité indésirable,
il a donc fait tout son possible pour se désengager.
La formule adoptée était de promouvoir une entreprise
spécialisée.
Elle a été fondée
en 1890 sous le nom de General Telephone
Society (SGT) et
sa gestation a été extrêmement laborieuse.
Une opération qui, dans des circonstances normales, aurait
été résolue sans chocs majeurs a abouti
à la crise financière.
Le Crédit espagnol n'a pas pu effectuer un simple transfert
supervisé du réseau téléphonique
de Barcelone vers la nouvelle entité, comme il l'aurait
souhaité. De longues procédures et l'intervention
de nouvelles personnes et d'entités financières
internationales étaient nécessaires.
Même ainsi, le projet est devenu une réalité
sans que les difficultés financières ne disparaissent.
Le décret de 1891 divise la péninsule
en quatre zones téléphoniques, aux fins de la
concession et de la vente aux enchères des réseaux
interurbains, délimités par des lignes imaginaires
avec comme centre Madrid.
Le réseau NORD-EST, compris entre les lignes idéales
Madrid-Bilbao et Madrid-Valence, qui comprenait l'obligation
de connecter par téléphone, dans un délai
d'un an, les villes de Bilbao, Saint-Sébastien, Vitoria,
Pampelune, Saragosse, Barcelone et Valence.
Le réseau SUD-EST, limité par les axes Madrid-Valence
et Madrid-Malaga, devait relier les villes d'Alicante, Albacete,
Murcie, Carthagène, Almería et Grenade dans les
mêmes conditions.
Le réseau SUD-OUEST, entre Madrid-Málaga et Madrid-Cáceres,
relierait Madrid à Málaga, Séville, Cordoue
et Cadix
Le réseau NORD-OUEST devait relier Madrid à Avila,
Valladolid, Salamanque, Burgos, Santander et La Corogne.
Fondamentalement constitué par les partenaires qui, avec
E. Parellada qui avait créé Telefonia
neuf ans auparavant, Fuerza et Luz Eléctrica,
la SGT cherchait une implantation
efficace sur le marché de Barcelone.
Les moyens utilisés pour cela étaient divers.
Tout d'abord, la SGT a procédé à l'extension
du réseau en l'équipant de centres téléphoniques.
Par la suite, il a appliqué une politique tarifaire flexible.
Entre 1890 et 1892, la SGT
s'est appuyée principalement sur des investisseurs locaux.
Désormais, l'augmentation des besoins financiers combinée
à la crise des établissements de crédit
catalans a forcé l'appel à d'autres capitaux,
dont certains étrangers. En conséquence, les Ruffers,
éminents représentants de l'industrie électrique
britannique (Woodhouse & Rawson) et déjà présents
en Europe du Sud-Est, ont fait irruption dans la SGT, remplaçant
presque totalement le groupe fondateur.
Dans les années suivantes, l'actionnariat s'est élargi
avec de nouveaux noms exotiques (Garnet, Lefrkre, Molrison olmond).
Parmi les banques locales, seule Hispano Colonial maintiendra
une présence non douteuse.
Barcelone est le centre névralgique mais les initiatives
s'étendent à l'ensemble du territoire catalan.
Nous en avons un échantillon à Balet et A. Graells,
qui, dès son premier établissement à Manresa,
finiraient par acquérir le réseau urbain de Lleida
et le réseau régional de Berga, ou à Telefonia
del Vallés, qui pourrait s'étendre au nord jusqu'à
la frontière pyrénéenne et à l'est
vers la mer, une zone qui sera essentielle lorsque le Commonwealth
de Catalogne décidera de promouvoir un réseau
public.
De plus, l'initiative catalane ne se limitait
pas à l'étendue territoriale de la Catalogne.
Sous les auspices de la capitale anglaise, déjà
présente dans le secteur comme nous venons de le signaler,
des personnalités qui avaient mené des projets
antérieurs (Telefonia et SGT) fondent en 1894 la Cia.Peninsular
de Telefonos (CPT), qui sera une pièce maîtresse
de la nouvelle étape.
C'est elle qui a acheté un an plus tard le réseau
urbain de la capitale espagnole à la STM et a créé
sa propre société, la Cia
Madrileña de Telefonos (CMT), pour l'exploiter.
Outre les partenaires communs, la CMT partage la même
approche que celle indiquée pour les autres sociétés
du groupe.
En effet, il était destiné à couvrir tout,
de la fabrication du matériel et l'exploitation des brevets
au service téléphonique.
En outre, le penchant pour des distances plus longues a conseillé
aux fondateurs d'inclure parmi leurs objectifs l'exploitation
de l'activité télégraphique.
En somme, les capitaux nationaux et étrangers ont promu
la téléphonie catalane, un acteur majeur en Espagne.
A la base des initiatives commerciales dynamiques et ambitieuses,
se distingue la présence d'un groupe d'investissement
articulé autour de la personne d'E.Parellada Pallis,
aux liens familiaux et financiers diversifiés. Les relations
financières sont liées au contrôle personnel
(E. Parellada était directeur du SGT et de la CMT). Des
membres communs du conseil d'administration, voire une adresse
sociale partagée dans certains cas, semblent donner raison
à ceux qui ont affirmé qu'il y avait une véritable
fusion des omañias.
Le défi de l'interconnexion
Dans la pratique, le système de concession des réseaux
urbains a donné lieu à une agrégation de
monopoles locaux. Cependant, la dynamique naturelle des industries
de réseau a conduit à la concentration. Au début
des années 1890, l'Administration avait décidé
de promouvoir la téléphonie longue distance avec
l'initiative privée. De toute évidence, les critères
suivis jusqu'à présent avec les réseaux
urbains étaient insuffisants pour interconnecter les
différentes populations.
Le gouvernement a divisé le territoire en quatre districts
radio, sur la base des six qui composaient le réseau
télégraphique.
Cette mesure visait à éviter la concentration
de toutes les lignes téléphoniques interurbaines
dans une seule entreprise et à donner des options aux
plus petites. En réponse, les entreprises se sont mobilisées
pour reprendre les lignes ou pour entraver les enchères,
en s'appuyant sur la propriété des réseaux
urbains. En revanche, essayant d'assurer la rentabilité
d'un investissement élevé, ils ont concentré
leur intérêt dans les domaines qui garantissaient
un plus grand volume de trafic. En fin de compte, en empêchant
la concentration des entreprises, l'État a compromis
l'interconnexion.
La décision du gouvernement de promouvoir les lignes
interurbaines a introduit une nouvelle dynamique dans la téléphonie
espagnole. Cette dynamique a fonctionné dans deux directions:
achat de réseaux et accords avec les petites entreprises.
Le principal défi était l'interconnexion des réseaux.
Si, au niveau local, l'accès au secteur et sa continuité
étaient relativement aisés, dans les lignes interurbaines
tout indiquait la prééminence des entreprises
avec des réseaux déjà en place, en raison
de l'avantage sur leurs concurrents potentiels.
Certaines entreprises ont accueilli avec hostilité la
division du territoire en quatre districts, peut-être
parce qu'elles s'attendaient à se voir automatiquement
attribuer le territoire où elles étaient établies.
En réponse, ils ont boycotté les enchères
et ont commencé à acheter des réseaux.
Si l'une des personnes impliquée dans cette attitude
était la General Telephone Company,
propriétaire du réseau de Barcelone, l'architecte
des interconnexions était ladite Peninsular
Telephone Company. Dans ce sens, son acquisition du réseau
du nord-est de l'Espagne, qui avait été attribué
en 1891 à la Barcelona Mercantile Credit Society, représente
une première étape décisive.
Dans ce mouvement, le rôle des grands réseaux urbains
était incontestable.
Peu de temps après sa création, la Peninsular
Telephone Company a acquis, au minimum, les réseaux de
Bilbao, Santander, Madrid, Saragosse, Sabadell-Terrassa et Mataró,
exemples documentés d'un mouvement de concentration plus
large.
Sans aucun doute, l'opération la plus importante a été
l'acquisition du réseau urbain de la compagnie de téléphone
de Madrid, comme on l'a déjà noté.
La conquête du centre du pays et le contrôle d'autres
questions importantes auraient été compromis sans
l'occupation de noyaux stratégiques d'interconnexion.
Pour cette raison, le réseau de Saragosse a été
un nud clé pour relier Madrid, le Nord et le Levante.
Vers 1906 ou 1907, la connexion entre les réseaux urbains
et les réseaux interurbains est réalisée.
Enfin, le CPT a réussi à contrôler le réseau
interurbain général d'Espagne, en prévoyant
des augmentations de capital successives, ce qui a forcé
un recours continu au marché financier.
La trajectoire historique des réseaux et la structure
des concessions ont nécessité des stratégies
diversifiées.
On a déjà vu que le CPT a acquis d'anciennes concessions
et en a promu de nouvelles pour assurer leur attribution. Il
est maintenant temps d'examiner brièvement la politique
des accords avec les petites entreprises régionales,
l'un des axes de l'expansion du CPT.
Pour ce faire, il a fait appel à la théorie des
monopoles naturels, selon laquelle les entreprises de service
public avec de lourds investissements en capital pourraient
agir en tant que fournisseur unique. Sur la base de ce principe
et des externalités de réseau, la Peninsular Telephone
Company a déployé une stratégie visant
à dominer les réseaux urbains et les groupes régionaux
à partir de leurs positions de contrôle exclusif
sur le réseau longue distance. Un exemple vaut la peine
de l'illustrer.
En 1909, la compagnie de téléphonie péninsulaire
et Telefonia del Vallés acceptèrent d'interconnecter
leurs lignes via une section interurbaine. En tant que concessionnaire
exclusif du réseau interurbain espagnol, Cia Peninsular
a obligé Telefonia del Vallés à couvrir
les coûts de construction, d'entretien et d'extension
de la ligne interurbaine Barcelone La Garriga.
En échange de cela et de la renonciation aux droits de
propriété sur la nouvelle ligne, Telefonia del
Vallés devait recevoir 50% des produits générés
par l'exploitation de ses propres lignes. De plus, le Peninsular
se réservait le droit de revenir sur ses pas quand il
le jugeait bon.
Avec ces pratiques, également appliquées
dans d'autres cas, juste avant son extinction en 1924, le CPT
en était venu à desservir à lui seul un
quart des abonnés des centres téléphoniques
urbains, pourcentage qui dépasserait la moitié
s'ils étaient ajoutés. Telephone Company et Madrid
Telephone Company, appartenant, comme on le sait, au même
groupe d'entreprises.
Dans son inertie, les réseaux téléphoniques
espagnols exploités par des entreprises privées
se seraient retrouvés entre les mains de l'État,
les concessions étant expirées, comme c'était
déjà le cas en fait.
sommaire
Cependant, les choses sont allées autrement.
En 1924, l'orientation de la compagnie de téléphone
espagnole connut un tournant décisif et profond lorsque
le gouvernement dictatorial de Primo de Rivera décida
d'attribuer le service téléphonique sous un régime
de monopole à une seule entité.
Le plan a été conçu par l'American International
Telegraph and Telephone Co. (ITT), puis s'est engagé
à créer un réseau téléphonique
international pour rivaliser et compléter celui d'American
Telephone and Telegraph, une entreprise leader dans le secteur.
L'exécution de ce plan est revenue au président
d'ITT, S. Behn, qui s'est rendu à Madrid pour guider
le processus.
En peu de temps, il a achevé une opération qui
a mis la téléphonie espagnole entre ses mains.
Il a commencé par établir une base solide, en
acquérant des entreprises décisives dans la téléphonie
urbaine et interurbaine, telles que la General Telephone Society,
la Madrid Telephone Company ou la Peninsular. Sur la base de
ces acquisitions, il a créé l'instrument direct
qui garantirait le succès du plan.
Cet instrument ne saurait être quune société
de nationalité espagnole qui laisserait automatiquement
les concurrents étrangers sur le bord de la route.
Ainsi, en avril 1924, elle utilisa un groupe lié
à la banque (Urquijo et Hispano Americano) pour fonder
la Compagnie Nationale de Téléphone
d'Espagne (CTNE)
au capital et aux propriétaires espagnols. Devant deux
autres aspirantes entreprises, toutes deux étrangères,
le 25 août 1924, CTNE conclut un contrat avec l'État
par lequel elle obtient le monopole du service téléphonique
et le contrôle absolu de la fourniture de matériel.
Les pouvoirs qui lui sont accordés sont extraordinaires:
annulation automatique des concessions, à de très
rares exceptions près (les lignes appartenant aux compagnies
ferroviaires et celles affectées au service officiel);
contrôle de la moitié des voix à la commission
d'évaluation des installations qui étaient déjà
retournées à l'Etat et de celles qui le feraient
à l'avenir; prise en compte des travaux publics, avec
la faculté ci-jointe d'exproprier les éléments
nécessaires à l'ensemble des travaux à
réaliser par le CTNE ...
Trois jours seulement après la signature du contrat,
CTNE a transféré tous ses droits à
ITT, bien qu'elle soit restée une société
d'exploitation. Enfin, ITT venait de montrer toutes ses
cartes en devenant le véritable propriétaire de
CTNE en réalisant presque entièrement une
augmentation de capital de la société jusqu'alors
espagnole. Le directeur militaire a justifié son action
par des raisons techniques, juridiques et administratives.
Selon lui, une législation inadéquate, des installations
hétérogènes et un régime de concession
insensé ne sont qu'un obstacle au développement
d'un service téléphonique efficace. Jusqu'à
présent, le diagnostic semble correct. Mais il y a des
aspects de la décision qui ne cessent de surprendre.
L'un des plus frappants est celui qui se réfère
à l'élimination des opposants possibles: le même
ordre royal qui a créé une commission consultative
pour aider à choisir entre les candidats a privé
son avis de caractère contraignant et a habilité
le gouvernement à décider sans médiation.
D'autres aspects qui surprennent également concernent
la manière de préserver la nationalité
espagnole obligatoire du CTNE: le contrat du 25 août 1924
autorisait CTNE à transférer les droits acquis
(à toute personne physique ou morale juridiquement qualifiée),
quelle que soit sa nationalité. c'est-à-dire à
la subrogation pure et simple de la même chose par ITT.
Structuré sur une base volontairement artificielle, le
contrat fait du CTNE un arbitre quasi absolu pour imposer sa
volonté dans l'incorporation de réseaux privés
sans exclure la saisie, dans les grandes options technologiques
et dans la politique tarifaire.
De son côté, la chronologie des décisions
ajoute des éléments nouveaux significatifs. Les
historiens d'ITT notent que le président de la société
lui-même est arrivé à Madrid à la
fin de 1923. Il a immédiatement acquis les principales
compagnies de téléphone. Le gouvernement a commencé
à agir lorsque le représentant de l'ITT a posé
les bases, établi les contacts appropriés, rassemblé
suffisamment de données pour élaborer un plan
de réorganisation du service téléphonique
espagnol et créé l'instrument d'exécution,
le CTNE.
C'est alors qu'il décida de céder la concession
à une société espagnole et dirigée
par des nationaux, quel que soit le concours correspondant.
D'un coup et par arrêté royal (11 mai 1924), les
sociétés étrangères qui avaient
soumis leurs projets ont perdu leurs options au profit de la
société espagnole. Il n'y a aucune référence
à la question des bases de concessions établies
par RD le 25 août 1924, quatre mois après la création
de CTNE.
Tout semble indiquer que ces bases ont été préalablement
convenues. Des documents ITT attestent, par exemple, que la
société américaine allait dans le sens
précis que les futures bases indiqueraient avant d'être
sanctionnée par le gouvernement et qu'elle a commencé
à prendre des mesures pour acquérir le réseau
téléphonique du Commonwealth de Catalogne avant
que le les réglementations légales le rendent
obligatoire.
Dans la pratique, la nouvelle donne a fortement stimulé
l'expansion et la modernisation du réseau.
Avec la création de CTNE, l'entreprise de télécommunications
a rapidement changé de caractère.
Pour commencer, elle a changé d'échelle, remontant
à la neuvième position sur la liste des grandes
entreprises espagnoles.
Dans un autre ordre d'idées, l'Espagne a fait face aux
défis de la téléphonie moderne d'une manière
différente des autres pays européens.
La production d'équipements téléphoniques:
une nouvelle frustration L'un des aspects liés à
la construction des réseaux de télécommunication
est la demande d'équipements. Comme on l'a souligné,
les termes mêmes du contrat entre l'Etat et la CTNE ont
scellé l'avenir non seulement du service téléphonique
mais aussi de la production de matériel. La dépendance
de la Compagnie Nationale de Téléphonie d'Espagne
vis-à-vis d'ITT a annulé la possibilité
d'un développement autochtone de l'industrie du matériel
téléphonique, encore à l'état embryonnaire.
Il a déjà été signalé que,
dès le début de la téléphonie espagnole,
la Société espagnole d'électricité
avait tenté d'intégrer la construction d'équipements
électriques et téléphoniques. Mais l'éventualité
d'une industrie nationale des appareils et équipements
téléphoniques a subi un sérieux revers,
très tôt, avec la crise de ladite société.
Il est vrai que la General Telephone Society avait essayé
de se suffire à elle-même, au moins partiellement,
mais cela nétait pas allé au-delà
dune simple aspiration.
À partir des premières années du
XXe siècle, des maisons de construction de matériel
téléphonique sont apparues, parmi lesquelles
Viuda y Sobrinos de R. Pmdo, la Sociedad Anónima
de telefono Telecomunicacioaes y Electricidad SA.
Certains, comme le premier mentionné, étaient
avant tout des représentants de sociétés
étrangères. dans le secteur (Ericsson).
D'autres, comme le second mentionné, ont cherché
leur place sur le marché en exploitant des brevets étrangers.
Un tiers entretenait des relations professionnelles et familiales
avec le groupe téléphonique catalan. En aucun
cas, ils n'ont échappé à la petitesse et
à l'incertitude.
Les raisons qu'ils expliquent sont diverses: le réseau
s'est développé très lentement et les entreprises
étrangères propriétaires de certains réseaux
ont imposé l'équipement qui leur convenait.
Donc la plupart du matériel venait de l'extérieur.
Malgré un niveau de protection relativement élevé,
l'Espagne se classe parmi les principaux importateurs d'équipements
de télécommunications.
Contrairement à ce qui s'est passé au Japon, un
autre pays avec un régime tarifaire similaire, ou en
Suède, un pays avec une protection plus modérée,
l'Espagne n'a pas été en mesure de développer
une industrie locale d'appareils de télécommunication.
La grande liberté que l'État espagnol a accordée
aux concessionnaires pour choisir la technologie spécifique
des installations a relégué les marques espagnoles
(Basanta, Herrero) aux équipements secondaires. La capacité
d'assimiler la technologie et les compétences acquises
n'avaient pas réussi à briser les limites du cadre
juridique, la taille du marché, la demande inélastique
et, surtout, le contrôle serré que les multinationales
du secteur maintenaient sur les brevets.
La nouvelle opportunité s'est présentée
lorsque Primo de Rivera a décidé de réorganiser
la téléphonie, comme nous venons de le voir.
Mais les conditions de création du CTNE n'ont laissé
aucune faille pour la production nationale d'équipements.
Logiquement, l'expansion des réseaux et la modernisation
avec des automatismes pourraient permettre de récupérer
le terrain perdu. Vraisemblablement, la CTNE a créé
Standard Eléctrica pour atteindre cet objectif. Mais
pour ma raison que les CTNE Bodies la présentaient comme
un instrument au service de l'industrie nationale, la nouvelle
société n'était qu'un simple Mais pour
ma raison que les CTNE Bodies la présentaient comme un
instrument au service de l'industrie nationale, la nouvelle
société n'était qu'une simple annexe de
l'ITT et de l'industrie américaine.
En fin de compte, c'est ITT qui a imposé l'équipe
qu'elle jugeait appropriée.
sommaire
Conclusions
Les faits précédents ont montré qu'il était
inapproprié de rassembler des facteurs à cause
unique pour expliquer la croissance des réseaux téléphoniques.
En dépit d'être une première approximation,
ils nous permettent de faire le point sur la première
étape de la téléphonie espagnole. Les données
disponibles donnent à l'Espagne des positions très
modestes dans la téléphonie mondiale malgré
son dynamisme pionnier.
Les critères avec lesquels lÉtat est confronté
à la nouvelle technologie de la communication ne contribuent
guère à sa promotion.
La volonté de fragmenter les concessions pourrait minimiser
les barrières à l'entrée dans le secteur
en réduisant les investissements nécessaires,
mais elle se heurtait de front à la logique de toute
industrie de réseau, tendant à s'étendre
et à s'interconnecter progressivement.
Dans les limites budgétaires de l'Etat et dans la croyance
libérale, les capitaux privés, nationaux ou étrangers,
ont trouvé un moyen d'accéder au secteur. C'est
dans les régions à la plus forte croissance industrielle
que les entreprises privées ont le plus prospéré.
En eux, les initiatives sont venues dépasser leur propre
cadre géographique pour s'étendre à d'autres
régions d'Espagne.
A la base des initiatives commerciales les plus dynamiques,
se détache la présence de deux groupes d'investisseurs
d'importance inégale : les anglo-catalans et les
belgo-madrilènes.
De plus, de petites entreprises indépendantes ont été
créées à différents endroits. De
même, c'est dans les zones à plus forte poussée
industrielle où la combinaison de l'action institutionnelle
et de l'initiative privée a conduit les réseaux
à leur expansion maximale.
Dans la pratique, le système de concession en vigueur
a conduit à une agrégation de monopoles locaux.
Les caractéristiques de l'industrie des réseaux
ont fini par imposer une certaine concentration pour que le
groupe anglo-catalan prenne le contrôle des réseaux
urbains les plus importants pour garantir le bon fonctionnement
de la téléphonie longue distance, qui était
pratiquement entre leurs mains.
En ce qui concerne les externalités que la téléphonie
pourrait générer, l'Espagne n'a pas développé
d'industrie autochtone des appareils de télécommunication.
|
sommaire
|
CNTE compagnie
nationale de téléphone d'Espagne
1924-1944, « vingt ans de téléphonie
en Espagne » ITT et le CTNE
C'est en 1924 que fut créée la
Compagnie Nationale de Téléphone d'Espagne. Après
les vingt premières années - en 1944 - le gouvernement
franquiste a acquis la majorité des actions de l'entreprise
auprès de l'International Telephone and Telegraph ITT,
son actionnaire majoritaire jusqu'alors.
Dans la publication technique ITT, « Electrical
Communication » n° 22 , de 1945, OC Bagwell et JJ
Parsons, qui en furent les protagonistes directs, ont laissé
un témoignage de ce qui s'est fait pendant cette période,
dans leur article "Vingt ans de téléphonie
en Espagne", auquel nous trouvons intéressant de
nous référer ici.
L'article commence par résumer l'état du téléphone
en Espagne en 1924 :
«...elle était composée
de plusieurs usines appartenant à l'État, aux
municipalités et à de nombreuses entreprises privées,
grandes et petites. Les principales lignes interurbaines ne
reliaient que les grandes villes avec un réseau à
la fois pauvre et inadapté.
Le service téléphonique
local, même dans les grandes villes comme Madrid, n'était
pas satisfaisant. Bien que certaines zones disposaient d'un
service de batterie central, la plupart étaient encore
sur une base magnéto,
..La distribution locale consistait
en des câbles aériens recouverts de tissu au lieu
de plomb, alimentant de grandes tours et des supports de toit
sur lesquels des lignes étaient concaténées
de fils nus jusqu'aux locaux de l'abonné. »
Les programmes d'amélioration et d'expansion
de l'usine continuent d'être décrits, en fonction
de la géographie et de l'économie du pays :
« Ce programme fut réalisé avec une telle
rapidité que le service automatique fut inauguré
à Santander au cours de l'été 1926 et à
Madrid en décembre de la même année. La
conversion du service dans d'autres villes a suivi rapidement.
Parallèlement à la reconstruction des usines locales,
un vaste programme de construction et de réhabilitation
des lignes de liaison interurbaines a été réalisé.
En 1943, il y avait 57 centraux automatiques dans 47 villes.
En 1924, seules 738 villes et villages disposaient de connexions
interurbaines. Actuellement, 3 605 villes et villages espagnols
disposent d'un service interurbain, non seulement entre elles,
mais aussi avec le réseau téléphonique
mondial.
En 1924, il y avait environ 80 000 téléphones
sur le territoire aujourd'hui desservi par la CTNE. Fin 1944,
il y avait 406 513 téléphones, dont 72 % étaient
automatiques.
Les conférences longue distance au cours de la première
année de fonctionnement du CTNE se sont élevées
à 3 169 883. En 1944, 41 623 586 appels ont été
traités à l'intérieur de l'Espagne, en
plus des 212 755 appels vers l'étranger, bien que le
trafic ait naturellement été réduit en
raison des restrictions de guerre..
Ils se sont développés progressivement au fil
des années pour inclure une formation théorique
dans des matières telles que la géométrie,
la trigonométrie, la physique, l'électricité,
la téléphonie automatique, les méthodes
de construction d'usines et la comptabilité... Les cours
duraient de deux à six mois, selon les matières
abordées. ont été enseignés. Les
étudiants étaient sélectionnés par
concours, qui dans certains cas étaient également
ouverts aux non-salariés... Jusqu'en 1944, environ 5
000 étudiants avaient suivi les différents cursus
de l'école ; "La majorité d'entre eux sont
aujourd'hui employés dans certains services de la CTNE.»
Enfin, le rôle joué par sa filiale Standard Electrica
et ses deux usines espagnoles de cette époque se démarque
:
« Santander a été
choisi comme site pour une installation de câbles. ...peu
de temps après son ouverture en août 1927, elle
a produit son premier câble à gaine de plomb, un
câble de 1 212 paires d'abonnés avec isolation
en papier. En 1930 et 1931, le long câble interurbain
entre Saragosse et Saint-Sébastien est entièrement
fabriqué à Santander.
Il fut décidé en 1925 de construire l'usine téléphonique
à Madrid, où se trouvent les services d'ingénierie
et techniques. En février 1928... il fut inauguré.
Après 1929, avec ces deux usines, Standard Eléctrica
SA devient le principal fabricant de la Compagnie Nationale
de Téléphonie d'Espagne. Au cours des années
1934 à 1935, Standard a produit en moyenne environ 10
000 lignes de kits Rotary 7-A et 7-B. Le programme envisageait
alors la conversion d'environ 8 à 10 capitales provinciales
par an..»
Enfin, on note l'intention d'ITT de continuer à participer
à la gestion future de la CTNE en tant qu'actionnaire
minoritaire, jouant le rôle de conseil technique, en plus
de celui réalisé par sa filiale Standard Electrica
SA, en tant que fournisseur principal.
Bref, un résumé intéressant
de cette période qui, bien qu'elle soit logiquement la
vision partielle de l'ITT, ne cesse de voir son intérêt
enrichi au fil du temps.
Vous pouvez accéder à l'article
original en anglais avec toutes les illustrations directement
ici
.
|
sommaire
Reprenons le déploiement du téléphone
dans quelques villes
Madrid
|
Pour que ce nouveau système de communication
arrive à Madrid, il a fallu attendre quelques années
après la découverte par Bell, son utilisation
était également si exclusive que le premier
à en profiter fut le roi Alfonso XII.
C'était en 1883 et c'est lorsque plusieurs lignes
téléphoniques ont été installées
qui reliaient le Palais Royal aux différents quartiers
généraux ministériels et à d'autres
bâtiments importants tels que le Palacio de El Pardo
Plusieurs lignes téléphoniques ont été
installées qui reliaient le Palais Royal aux différents
quartiers généraux ministériels et à
d'autres bâtiments importants tels que le Palacio de El
Pardo.
La vente aux enchères du réseau
de Madrid a eu lieu le 27 octobre 1882 avec sept soumissionnaires.
L'une d'elles était la première société
d'électricité espagnole, la Sociedad
Española de Electricidad, créée
l'année précédente à Barcelone
Un arrêté royal du ministère de l'Intérieur
appelant à un concours pour l'établissement et
l'exploitation d'un réseau téléphonique
à Madrid, Tomás J Dalmau, directeur
général de la compagnie
d'électricité espagnole, a présenté
un projet le mois suivant dans lequel un réseau était
forme de polygone étoilé, connecté au réseau
télégraphique et équipé de préférence
d'appareils Bonnet et également Ader, Gower-Bell,
Bréguet et Crossley.
Dans son rapport, publié en 1883,
le directeur général, Tomás José
Dalmau, écrivait dans la section "Appareils
utilisés dans le réseau"
«... la Société est le propriétaire
de lappareil du membre distingué du Corps télégraphique
espagnol, M. Enrique de Bonnet, dont il entend faire
lusage illimité ... , à qui il est prêt
à donner à votre appareil la beauté extérieure
et l'attractivité correspondant à sa valeur réelle
en tant qu'organisme scientifique. Une telle adoption est prête
à être vérifiée par la Société
sans préjudice d'employer, comme elle l'a fait jusqu'à
présent, les belles inventions d'Ader, Gower-Bell, Crosley,
et le récent Breguet, ainsi que d'autres plus tard si
l'expérience les accrédite comme supérieurs
à ceux qui existent déjà. ".
Il ne semble pas que l'embellissement recherché par l'Espagne
ait été réalisé, à en juger
par l'aspect sobre que présente l'appareil de Bonnet
dans un dessin qui accompagne un article du journal Galante
publié dans le Magazine du 1er octobre 1883, sinon identique
ou très similaire à la documentation du brevet.
Dans tous les cas, Galante a assuré qu'il
y avait de nombreuses stations en service à Barcelone,
Malaga, Cordoue, Séville, Cadix, San Fernando, Puerto
de SantaMaría, Jerez, Faros de Chipiona, Trafalgar, Conil,
Carthagène, La Habana et d'autres points, et que à
Carthagène, en plus de plusieurs lignes, il y avait un
réseau avec sept stations et sa centrale.
Le brevet a été validé le 29
novembre 1884, après la reconnaissance faite à
Cadix le 12 août précédent par l'ingénieur
industriel José Galán y Vallelado, qui a écrit
dans son rapport que l'appareil provenait de l'atelier de construction
d'appareils électriques établi à Cadix
par l'inventeur, qui disposait des éléments nécessaires,
à la fois mécaniques et de premier ordre, pour
produire régulièrement et en exploitation formelle
l'objet du brevet. Celui-ci resta en vigueur jusqu'en 1886,
date à laquelle son expiration en raison du non-paiement
de la cinquième tranche annuelle fut contestée.
En 1885
Les «gens» ont dû attendre un peu plus longtemps
pour profiter du téléphone et ce n'est qu'en janvier
1885 que le service leur sera ouvert. L'abonnement coûtait
600 pesetas par an, un luxe accessible à très
peu.
Au final seules 49 personnes pouvaient se le permettre et se
sont inscrites. Malgré le faible taux de réponses
positives, plusieurs mesures ont été prises, la
première a été de réduire de moitié
la prime d'abonnement, soit 300 pesetas.
Les câbles téléphoniques ont continués
à être installés sur les toits de Madrid
(en 1886, il y en avait 1000 kilomètres).
Il semble que beaucoup de propositions ont abouties, un an plus
tard, le nombre d'abonnés était d'environ 500.
Un réseau fut installé
dans la capitale Madrid, sous la surveillance de l'Inspecteur
général des télégraphes en Espagne,
mais le prix élevé de l'abonnement, ainsi que
les conditions trop sévères imposées par
l'administration, empêchèrent le téléphone
de prendre de l'extension dans cette ville.
Néanmoins, au commencement de l'année, plusieurs
bureaux téléphoniques furent ouverts à
Madrid dans les rues de San Ricardo, Paseo, de Recoletos,
Don Pedro et Alocha. Ces bureaux furent mis à la disposition
du public
1886 Station centrale
de téléphone de Madrid sur la Calle
Mayor 1
sommaire
1897 Inauguration central manuel
téléphonique de Madrid situé sur
la Calle Mayor 1, presque à Puerta del Sol même,
dans la "Casa Cordero".
Là, il a fonctionné pendant trente ans,
depuis son inauguration en 1897, par la «Société
de téléphonie de Madrid» de l'époque,
jusqu'en 1927, date à laquelle il a été
mis hors service, avec quelque 5 600 abonnés, par son
nouveau propriétaire, la Compagnie
nationale de téléphone d'Espagne. CTNE.
(Note: La Compagnie de Téléphone
de Madrid a été rebaptisée Compagnie
de Téléphone de Madrid en 1895 lors
de son acquisition par la Compagnie de
Téléphonie péninsulaire.
La Puerta del Sol de Madrid vers 1900
On pouvait le lire dans
les contrats, que les conditions de l'abonnement au réseau
étaient très exigeantes, et un luxe que, pour
les prix indiqués.
On imagine que seuls quelques riches hommes d'affaires ou aristocrates
pouvaient se le permettre. Trois cents pesetas par an.
Don Isidoro, numéro de téléphone 1274 à
Madrid, Homme d'affaires avec son téléphone mural
Ericsson type AB en 1919, rafistolé avec un écouteur
Sit à manche.
En 1924, lors du monopole, notre protagoniste continuait à
utiliser son téléphone, avec le nouveau numéro
à cinq chiffres 10789.
Madrid
centre international
Le luxe révolutionnaire de parler au téléphone,
l'installation de la téléphonie interurbaine
en 1913, transforma radicalement les communications,
permettant de parler de Valladolid avec Madrid pour 1,75 pesetas
pour trois minutes.
Le gratte-ciel créé par l'ITT
en collaboration avec des investisseurs espagnols, qui a signé
à peine quatre mois plus tard un contrat avec l'État
pour la réorganisation, la réforme et l'expansion
du service téléphonique national, jusque-là
réparti entre différentes sociétés
à propriété multiple (privée et
publique). C'est alors que Cárdenas obtient un entretien
à Telefónica où ils recherchent un architecte,
et il rejoint l'entreprise.
En octobre 1926,
les travaux du bâtiment ont commencé en suivant
le système de construction des gratte-ciel américains,
son squelette de poutres en acier roblonado a été
érigé à Madrid. La tour fut achevée
en un temps record: en 1928, le centre téléphonique
était déjà opérationnel pour réaliser
la première communication transatlantique Madrid-New
York, à laquelle assistaient le roi Alphonse XIII et
les dirigeants d'ITT et de CTNE.
Construit entre 1926 et 1929 par Ignacio de Cárdenas,
c'était le premier gratte-ciel d'Espagne et l'un des
premiers construits en Europe, il culmine à 89,30 mètres
et comporte quinze étages.
Sur le plan technique, le bâtiment est
conçu d'emblée comme un central téléphonique
de conception ultra-moderne, avec une capacité de 40
000 lignes, le nouveau système automatique (sans
opérateur) est basé sur les appareils Rotary-7A
fabriqués par Bell à Anvers.
Le 29 décembre 1926, le roi Alfonso
XIII présida l'inauguration du service automatique à
Madrid, mettant en service en même temps les centraux
de Salamanque et de Jordán, avec 5000 lignes
chacun, et Fuencarral avec 7200 (noms des bâtiments
Telefónica à Madrid)
Curiosité, ils ont également été
bénis par l'Église.
Pourquoi Santander a-t-il été inauguré
en premier et pas Madrid ?
Il faut garder à l'esprit que, bien que son installation
ait déjà été décidée
et, en fait, qu'elle se déroule en même temps qu'à
Santander, on a pensé qu'il valait mieux tester dans
une ville avec peu d'habitants pour vérifier son fonctionnement
réel et détecter les problèmes qui pourraient
être résolus avant de commencer à fonctionner
à Madrid.
Ils ne pouvaient pas risquer qu'à Madrid, place financière
de l'Espagne et capitale du royaume, ils aient le moindre problème.
Le même jour, le nouveau réseau téléphonique
interurbain espagnol a également été inauguré
par le monarque espagnol, parlant simultanément avec
de nombreuses localités des quatre coins du royaume et
certaines du protectorat en Afrique du Nord.
La longueur du circuit utilisé pour l'occasion était
de 3 800 km, une distance qui a établi un nouveau record
européen pour les communications téléphoniques
et le tout sur le territoire espagnol.
Tout au long de 1927, la croissance fut fulgurante. De nombreuses
installations automatiques sont inaugurées; Saragosse,
Pampelune, Jerez de la Frontera.
Les lignes de circuit interurbain ont été agrandies,
atteignant 98 213 km; un million de conférences ont été
dépassées sur le territoire national.
En fin d'année, le chiffre de 1 737 échanges automatiques
a été atteint, qui desservait 128 407 téléphones.
sommaire
Le 16 septembre 1928, le service automatique a commencé
à être fourni à Barcelone. Cette
même année, Bilbao, Malaga, Séville et Valence
ont eu la même chance.
Récapitulatif des populations dans lesquelles le service
automatique a été établi:
En juillet 1929 Un centre
manuel et deux autres centraux automatiques Rotary-7A
de 10000 lignes sont entrés en service lors de
l'ouverture des bureaux principaux du CTNE
Par ailleurs, le luxe et le bon goût des parties communes
ainsi que la solidité de l'ensemble, doivent susciter
la confiance chez les utilisateurs et les futurs investisseurs.
limmeuble symbolise l'ouverture de l'Espagne vers le progrès
et le monde de la communication.

Vue panoramique du cinquième étage de la Gran
Vía, Madrid, avec les opérateurs téléphoniques
travaillant sur le standard manuel longue distance.
Il a occupé la position
du plus haut bâtiment de Madrid jusqu'en 1953, date à
laquelle l'Edificio España des frères Otamendi
sur la Plaza de España en a pris la position. Le bâtiment
Telefónica sur la Gran Vía,
a été témoin de l'évolution de Madrid
pendant près de 80 ans et a observé de sa hauteur
de gratte-ciel américain comment la technologie déployée
par la nouvelle société Telefónica a connecté
le pays à les inventions du moment.
Les travaux se terminent officiellement le 1er janvier 1930.
Le siège de Telefónica, fut conçu pour
«séduire l'actionnaire». Mais l'année
1936 verra la guerre civile s'abattre sur le pays. Madrid, du
côté républicain, sera assiégée
jusqu'à sa reddition.
Les forces républicaines assiégées dans
Madrid utilisent limmeuble Telefónica comme tour
de guet. Étant le siège de l'Office de la presse
étrangère, il a valeur de symbole et permet la
communication avec le monde extérieur. De nombreux correspondants
de guerre étrangers s'y rendent pour expédier
leurs « papiers » et il est souvent bombardé
par l'artillerie franquiste.
Il reçoit jusqu'à 120 obus
en octobre 1936 sans qu'il y ait à déplorer ni
blessés chez les employés, ni dégâts
matériels majeurs.
Les étages situés au-dessus
du 7e, les seuls régulièrement atteints par les
obus, sont abandonnés et les installations repliées
dans les étages inférieurs ne cessent pas de fonctionner.
L'architecte en chef, Ignacio de Cárdenas Pastor, vient
évaluer les dégâts après chaque bombardement
et dirige les réparations. Ernest
Hemingway et John Dos Passos, ainsi que de nombreux autres correspondants
de guerre étrangers (qui sont logés tout près,
à l'hôtel Florida), envoient leurs comptes-rendus
de limmeuble Telefónica.
Le dernier visiteur étranger pendant
la Guerre civile est O. D. Gallagher, du Daily Express de Londres.
Ultime correspondant de guerre étranger resté
à Madrid, il voit arriver les franquistes le 28 mars
1939 et manque alors d'être fusillé.
Après la guerre, l'architecte Ignacio
de Cárdenas se réfugie en France et ne peut participer
ni aux réparations, ni à la refonte du central
téléphonique qui a lieu dans les années
1950 et 1960.
En 1928, Madrid avait acquis ses premiers téléphones
à jetons d'appel prépayés.
Lorsque le nombre de lignes, augmentait suivait
les changements de numérotation inévitables (changements
à 6 et à 7 chiffres avec les extensions successives
de la capacité du réseau de Madrid).
Madrid , Changement de numérotation des premières
années du CTNE
1947 : à Madrid, dans la
nuit du 4 au 5 janvier, les numéros de téléphone
passent de 5 à 6 chiffres sans interrompre le service.
D. J. Sánchez Pardo, ingénieur Standard Eléctrica,
a été l'inventeur du circuit qui a permis cette
étape.
1953 El Escorial, est la première
unité de commande automatique système
Rotary 7-D a être installée, elle est conçue
et fabriquée dans son intégralité par la
SESA.
|
sommaire
Valladolid capitale de la province de Valladolid
et de la communauté autonome de Castille-et-León
Nous avons étudié précedement
Les premiers pas du téléphone
à Valladolid les premières installations
de lignes.
1882 en début d'année, le gouvernement
espagnol a jugé opportun de promouvoir la création
de réseaux urbains dans les principales villes espagnoles.
Dans un premier temps, une telle initiative a été
confiée à des entreprises privées sous
le gouvernement libéral présidé par Sagasta,
tentative qui a échoué et nombreux réseaux
ont été mis aux enchères, y compris le
réseau urbain de Valladolid.
Deux ans plus tard, le contrôle a été
cédé à l'État par l'intermédiaire
du Telegraph Corps sous le gouvernement conservateur présidé
par Cánovas. Alors que la demande de téléphones
augmentait et que de nouvelles lignes étaient installées
dans les principales capitales du pays, le Corps a mis en
place les premiers réseaux urbains à Madrid,
Barcelone et Valence avec des ressources limitées en
1885.
Cependant, ils n'étaient pas encore considérés
comme des réseaux du secteur public car une grande
partie de la population ne pouvait pas profiter de leurs services,
principalement pour deux raisons:
- Ses abonnés occupaient des postes officiels ou avaient
un pouvoir d'achat élevé.
- Les taux d'abonnement annuels élevés.
Le premier réseau de service public urbain en Espagne
a été accordé à la Société
de téléphonie de Madrid le 6 août 1886
sous le gouvernement libéral de Sagasta et ouvert au
public le 4 septembre.
Le réseau de Barcelone concédé à
la Société espagnole d'électricité
a commencé à fonctionner le 23 décembre
de cette année.
La réduction des frais a permis à davantage
de personnes d'accéder au nouveau moyen de communication,
les premières villes à en bénéficier
étant Madrid, Barcelone et Valence.
Plus tard, des réseaux ont été établis
à Séville, Saragosse, Bilbao, Malaga et Ségovie
en 1887 et Alcoy, Alicante, Cadix, Carthagène, Cordoue,
La Corogne, Gijón, Murcie, Oviedo, Saint-Sébastien,
Santander et Valladolida tout au long de 1888.
Le téléphone atteint les principaux centres
urbains et il a fallu recourir à certaines technologies
pour maîtriser la demande naissante
Le réseau urbain de Valladolide est entré en
service en 1888 sous la législation libérale
de 1886 et est devenu la deuxième concession accordée
à Castilla y León après celle donnée
à D.Antonio Well pour le réseau urbain de Ségovie
le 30 octobre 1886.
1887 La remise du réseau de Valladolid eut lieu
le 6 août 1887 en faveur de D. Emilio Fernández
Gamboa et le premier service de la ville fut inauguré
le 1er mars 1888 .
Le cas particulier de Valladolid est repris dans le tableau
suivant qui reflète les données statistiques
les plus significatives du service téléphonique
espagnol au cours de l'année 1887
Le service urbain de Valladolid ne fut mis en service qu'au
printemps 1888 et ses données économiques ne
pouvaient être incluses dans les bénéfices
généraux obtenus dans l'exploitation des réseaux
téléphoniques en service en 1887.
En revanche, les données particulières du réseau
urbain de Valladolid se reflètent au cours du premier
semestre économique de 1888.
Dans le tableau suivant on peut observer spécifiquement
dans la rangée de Valladolid : le nombre d'abonnés
abonnés au réseau urbain, le collecte Obtenu
pour différents concepts par la société
concessionnaire, le pourcentage se référant
à la redevance fixe correspondant à l'Etat et
son équivalent en termes économiques :
Comme on peut le voir, Valladolid était
assez éloigné dans les échelles mesurées
par rapport aux principaux réseaux du pays: Madrid
et Barcelone. Les installations du réseau urbain de
Valladolid comprenaient 3 parties: des postes d'abonnés
simples ou micro-téléphoniques, des lignes de
communication aériennes et un bureau ou un central.
Ensuite, les parties et caractéristiques les plus importantes
de chacune d'elles sont décrites.
sommaire
LE PREMIER CENTRE MANUEL DE RACCORDEMENT.
Les conducteurs aériens du réseau urbain de
Valladolid se terminaient au centre téléphonique,
où les opérateurs établissaient manuellement
les communications entre les postes de chaque abonné.
Les fils d'abonnés entraient dans le cezntre par la
tour supérieure, continuaient à travers la salle
de distribution (répartiteur) et enfin ils étaient
reliés aux fils qui allaient aux tableaux des opérateurs.
Lorsqu'il était nécessaire de vérifier
l'état des lignes ou des stations, ces connexions étaient
annulées à l'aide de divers systèmes
connus.
Les centraux de commutation manuelle ont facilité la
mise en communication pratiques et rapides des abonnés.
Les dispositifs de commutation reposaient sur un système
de cordons avec broches et prises manipulés par les
opérateurs téléphoniques pour relier
les appels.
La mise en place de la première gare centrale de Valladolid
en 1888 a conduit à la nécessité immédiate
de recruter des opératrices téléphoniques
pour assister aux standard. Sa fonction principale consistait
à effectuer des opérations spécifiques
sur les panneaux pour mettre en communiation les abonnés
appartenant au réseau urbain. Dans la pratique, ils
se limitaient à établir et à rompre les
connexions avec des cordons, des fiches et des prises. Les
abonnés appelent l'opératrice du Central de
Valladolid à partir de son poste, et lui demandent
le correspondant souhaité. Ces employées responsables
du service central étaient de jeunes filles célibataires
avec une très bonne mémoire, généralement
contraintes de quitter le travail au moment de leur mariage.
Le premier Valladolid Central était situé au
C / Constitución, coin C / Santiago et se composait
de deux standards Sieur d'une capacité totale
de 200 abonnés. Chaque standard avait une capacité
de 100 abonnés et avait l'apparence d'un placard avec
son façade verticale.et sans étagère
demi-hauteur pour servir de table à l'opérateur.
Dans la partie supérieure de l'avant se trouvaient
les 100 terminaux d'abonnés marqués de leur
numéro et dans la partie centrale l'appelant pour avertir
les abonnés et les supports où les cordons étaient
attachés pour effectuer les connexions, qui étaient
suspendus devant la partie inférieure de l'armoire.
Les tableaux avaient à l'origine un bornier à
16 positions situé dans la partie inférieure
du tableau, qui était utilisé pour se connecter
avec les abonnés d'autres tableaux à proximité
de la salle centrale, cet agencement obligeait l'opérateur
de service à rester debout en permanence accroupi pour
s'abaisser. établir et annuler les connexions, qui
ont dû être demandées à voix haute
au partenaire de la box abonné destinataire.
Pour améliorer cette situation, de petites cabines
d'appel ont été placées au sommet de
ces armoires avec les numéros, les connexions dans
la partie inférieure disparaissant. De cette manière,
les opérateurs téléphoniques ont pu travailler
assis de manière plus ergonomique. En outre, des contrepoids
ont été installés sur les cordons, les
ramenant à leur position d'origine par eux-mêmes
comme dans les panneaux modernes, et une bande de support
de cheville a également été installée
dans chacun des panneaux.
La Centrale pouvait offrir des services à un nombre
raisonnable d'abonnés, mais selon les informations
spécifiques contenues dans le Telegraph Magazine de
1889, peu d'individus se sont enregistrés au cours
de sa première année de fonctionnement.
Au milieu de 1888, il ne comptait que 57 abonnés.
Le téléphone était une merveilleuse avancée,
mais il était considéré comme un article
de luxe que très peu de résidents pouvaient
se permettre et dont l'utilité était limitée
à la zone métropolitaine. Par conséquent,
les deux panneaux Sieur étaient suffisants pour répondre
à la demande initiale.
En raison de la réduction du nombre d'abonnés,
un abonnement annuel élevé a été
facturé (entre autres tarifs) et comme il n'y avait
toujours pas de compteurs téléphoniques, leur
valeur a été fixée quelle que soit l'utilisation
du téléphone.
Les abonnés de Valladolid payaient annuellement une
somme d'argent pour l'utilisation des appareils qu'ils avaient
contractés (entre autres tarifs) et le concessionnaire
du réseau était responsable des coûts
des installations, des lignes et des appareils et du service
du centre. Le tarif d'abonnement annuel fixé pour le
réseau de Valladolid dépendait du prix du matériel
de service et de la main-d'uvre, qui influençait
fortement les dépenses de construction, d'entretien
et d'exploitation du réseau. Les tarifs initiaux élevés
(acompte, utilisation et contrôle) constituaient un
autre obstacle considérable à la diffusion et
à l'expansion rapide du service téléphonique,
car inaccessibles pour la majorité des revenus des
citoyens de Valladolid à cette époque.
Les frais d'abonnement annuels au service et le prix d'achat
d'une station ont été progressivement réduits
dans certaines limites, au fur et à mesure que le nombre
d'abonnés et par conséquent la perception obtenue
par la société concessionnaire augmentaient.
sommaire
Les premiers abonnés qui ont pu se permettre le service
ont également dû acheter le téléphone
eux-mêmes dans l'un des rares magasins vendant des appareils
et appareils électriques de l'époque et payer
les coûts de son installation, ainsi que la batterie
privée qu'il branchait sur le poste téléphonique
pour lalimenter. La société concessionnaire
s'est simplement limitée à conduire à
l'emplacement de l'abonné les deux fils qui se terminaient
en position d'un des panneaux centraux. Les postes à
microphone Ader étaient très courants à
l'époque.
La demande de téléphones a augmenté tout
au long de 1889 et pratiquement le nombre d'abonnés
au réseau a triplé pour atteindre 169
.
Le réseau atteint 238 abonnés
en 1895 qui satisfont un quota annuel de 150 pesetas dans
les maisons voisines et de 400 pesetas dans les casinos, cercles,
sociétés de loisirs, etc. Le concessionnaire
avait collecté 36 802 pesetas et installé 251
postes téléphoniques en 1900.

El Norte de Castilla publie le 7 juillet
1904 un article signé par l'avocat et rédacteur
en chef du journal, M. Ricardo Allué, dans lequel il
raconte la visite effectuée au Centre téléphonique
urbain de Valladolida, accompagné du directeur des
télégraphes et la description précise
de ses différentes parties: La centrale avait l'apparence
d'une araignée de fer perchée sur un haut toit
de la rue Constitución, N° 9, avec son paratonnerre
en guise d'antenne et ses centaines de câbles. Les innombrables
fils de son immense toile s'étiraient le long des rues
et des places sur les toits des bâtiments jusqu'aux
champs. La tour était située sur la terrasse
supérieure, avait une forme hexagonale et était
couronnée par un dôme terminé en paratonnerre
à six pointes. La tour était en fer et construite
à Valladolid selon les plans du même directeur
actuel. Il pouvait alimenter plus de 500 lignes à deux
fils chacune, car il avait jusqu'à mille broches sur
ses cadres parallèles pour supporter des centaines
d'autres isolateurs en porcelaine. Le centre de la tour était
constitué d'une colonne creuse à travers laquelle
descendaient les câbles isolés, groupés
deux à deux, marqués de petites médailles
sur lesquelles était fidèlement gravé
le numéro correspondant au parafoudre respectif.
De chaque côté de la tourelle légère
et forte, un faisceau de câbles sort du toit, par des
supports solides divisés et subdivisés en d'autres
moins nombreux jusqu'à atteindre les dernières
limites de la population de la ville et des différents
établissements industriels situés en périphérie
et de villes immédiates. Il était facile de
voir quels étaient les quartiers les plus industriels,
compte tenu de l'épaisseur des différents faisceaux
de câbles téléphoniques.
La salle de distribution était au dernier étage
de la maison, précisément sous le toit où
se trouvait la tour. Les parafoudres et les câbles étaient
numérotés convenablement dans la centrale. Les
parafoudres installés dans cette pièce correspondaient
au système Berthy, et consistaient en quelques dispositifs
simples de plusieurs tôles isolantes, entre lesquelles
était intercalé un épais peigne de pointes
d'acier. Leur fonction principale était d'éviter
les excès de courant électrique provoqués
par l'électricité. perturbation atmosphérique
des tableaux centraux et autres appareils et causer des dommages
à ceux qui les manipulent. Les parafoudres étaient
situés sur deux rangées de larges étagères
fixées aux quatre parois de l'armoire. L'atelier et
la batterie (pour les appels) se trouvaient à côté
de la salle de distribution au même étage. L'atelier
était équipé de tous les éléments
nécessaires pour réparer tout défaut
dans les lignes ou dans l'équipement. De son côté,
la zone de batteries disposait d'un nombre suffisant d'élements
pour alimenter les tableaux de distribution de la salle centrale.
La salle centrale était clairement et bien sûr
la partie essentielle et la plus intéressante du central
téléphonique. Elle occupait une grande pièce
sur deux larges à balcons qui donnait sur la rue Constitución,
et abritait les standards manuels du centre qui cachaient
les murs. L'un d'eux était placé à l'avant,
trois autres sur le mur devant les balcons et un autre entre
eux, soit un total de 5 panneaux. Tous étaient du système
français Sieur que est devenu l'un des meilleurs de
l'époque pour sa grande simplicité, sa modernité
et sa perfection. Dans la partie supérieure du meuble
était placées plusieurs rangées de plaques
circulaires qui, lors de l'appel, tombaient avec un léger
crash, affichant le numéro correspondant au dos. Dans
la partie inférieure et par rapport à chaque
plaque et ligne, il y avait autant de rangées de triple
crochets, à partir desquelles le câble ou le
cordon correspondant était accroché pour établir
la commutation désirée.
La photographie suivante montre l'aspect frontal de l'une
de ces peintures caractéristiques:

Le poste téléphonique muni de l'écouteur
correspondant était situé sur un côté
de la boîte afin que l'opérateur de service puisse
parler et écouter avec l'abonné qui appelait
et avec celui qui souhaitait faire une conférence.
Les crochets latéraux précis étaient
également à proximité pour communiquer
si la communication à établir l'exigeait.
sommaire
Le personnel du Central de Valladolid était composé
du Directeur du réseau, de son épouse, du représentant
de l'entreprise, M. Tomás Manrique, d'un contremaître,
de deux techniciens en charge du service des lignes et de
5 jeunes opérateurs téléphoniques responsables
des 5 tables Sieur.
Le personnel détait divisé en équipes
pour assurer le service: 3 de 8 heures du matin à 2
heures de l'après-midi, 2 autres jusqu'à 9 heures
du soir et une seule jusqu'à 8 heures du matin. Les
heures les plus chargées étaient concentrées
entre 9 heures du matin et 1 heure de l'après-midi,
diminuées significativement entre 2 et 4 heures de
l'après-midi, et s'arrêtaient presque complètement
à l'aube. Chaque opérateur rédige un
rapport quotidien qui reprend les incidents dd service: nombre
d'abonnés, nombre de communications établies
et raisons pour lesquelles aucune n'a été possible
(sans réponse ou panne de ligne). Le nombre de communications
desservies variait de 250 à 600 s'il n'y avait pas
d'événements extraordinaires, les lundis étaient
les jours les plus chargés8.
Le réseau urbain de Valladolid atteignait 260
abonnés en juillet 1904.
Plusieurs lignes étaient concentrés en dehors
du centre-ville sur les berges, les usines et les villes voisines.
comme Renedo, Simancas, Arroyo, Zaratán, etc.
Le permis de concession n'avait plus que 3 ans pour expirer
en 1904, après quoi le réseau deviendrait la
propriété de l'État si ce dernier n'accordait
aucune prolongation de renouvellement.La situation laisse
penser que les concessions reviennent à l'Etat, mais
un nouveau changement de cap dans la législation téléphonique
en 1907 oblige à nouveau la vente aux enchères
des concessions du réseau urbain, dont celle concédée
à Valladolid en 1887. A cette occasion, M. Juan Rodríguez
Martínez a pris en charge le réseau de Valladolid
le 22 novembre 1907.
Le nombre d'abonnés du réseau urbain
de Valladolid s'élevait à cette date
à 300 et les tarifs avaient été
ramenés à 107,40 pesetas dans les maisons voisines,
161,12. pesetas dans les casinos, les cercles de loisirs,
etc. et 53,72 pesetas dans les stations de presse.
Valladolid est à la pointe des capitales
qui disposent des deux moyens de communications modernes: le
télégraphe et le téléphone.
Par ces mots, «un reporter» d'El Norte de
Castilla évoque l'installation, en 1913, de la
téléphonie interurbaine dans la ville, luxe révolutionnaire
pour cette société au début du XXe siècle.
La vérité est que notre pays avait rejoint tardivement
cette avancée des communications, et qu'en 1877, juste
un an après que Graham Bell a inventé le téléphone,
l'école d'ingénieurs de Barcelone l'avait déjà
acquis. Les principaux spécialistes influencent la position
modeste de l'Espagne dans la téléphonie mondiale;
Si les 1 000 appareils existants en 1886 étaient déjà
de 35 000 en 1913, le chiffre était loin d'être
le niveau atteint dans l'environnement européen le plus
avancé.
L'intense croissance de la téléphonie espagnole
n'est pas uniforme, les grandes capitales devançant largement
les petits centres urbains.
Le plus urgent consistait à introduire la téléphonie
interurbaine; l'Administration a décidé de
le promouvoir à partir des années 1890, en comptant
sur l'initiative privée.
A cet effet, il a divisé le territoire espagnol en quatre
districts radiaux (nord-ouest, nord-est, sud et sud-est) et
a attribué une bonne partie des lignes à la puissante
compagnie téléphonique péninsulaire, créée
en 1894 à Barcelone, qui finirait par contrôler
le réseau interurbain général du pays.
Outre les hauts et les bas juridiques, résultat, en partie,
de changements successifs de gouvernement, les principales difficultés
de mise en uvre réussie du téléphone
sont venues de ses coûts élevés, mais aussi
du développement important du télégraphe
électrique.
Le premier réseau interurbain mis en place dans notre
pays a été celui du Nord-Est (Madrid, Bilbao,
Saint-Sébastien, Vitoria, Pampelune, Saragosse, Barcelone,
Tarragone, Castellón de la Plana et Valence), suivi du
réseau Sud (Madrid , Ciudad Real, Cáceres, Badajoz,
Cordoue, Séville, Huelva, Cadix, Málaga, Grenade,
Jaén, Almería, Murcie et Alicante).
Le système Van
Rysselberghe a marqué le point de départ
du développement de la téléphonie longue
distance en Espagne.
Le Telegraph Corps a effectué les premiers tests entre
Madrid et le Real Sitio de San Ildefonso en 1885 et dans les
années suivantes a effectué d'autres tests entre
Madrid et ses environs avec des résultats favorables.
La ligne Madrid-Saint-Sébastien, composée d'un
circuit bifilaire de 2 mm, a fonctionné pour le service
officiel dans la dernière décennie du 19e siècle
et est devenue la plus longue sous cette modalité.
Les résultats ont été positifs jusqu'à
un certain point, car les inductions présentes ont provoqué
des perturbations dans la communication. L'introduction de microphones
plus puissants, diverses mesures appliquées pour limiter
les effets inductifs et une meilleure répartition des
fils de ligne suivant les schémas du système de
transposition ont largement résolu les problèmes.
qui a surgi en 1886.
Des liaisons similaires ont été établies
à partir de Madrid en profitant des lignes télégraphiques
existantes.
Cependant, la construction des premières lignes téléphoniques
interurbaines à la fin du XIXe siècle et leurs
bonnes performances en fonctionnement pourvues de vannes électroniques
depuis le début du XXe siècle ont conditionné
l'abandon progressif du système Van Rysselberghe.
Les premières nouvelles concernant un réseau
téléphonique interurbain incluant Valladolid
ont été trouvées dans la presse locale
au début du XXe siècle. Le nord de Castille a
recueilli une note importante pour les intérêts
du commerce et de l'industrie de Valladolida à la fin
d'août 1901. L'information portait sur la concession probable
du gouvernement au comte de Rodas pour l'établissement
et l'exploitation d'un réseau qui serait a mis Madrid
en communication avec Valladolid et a été étendu
à Palencia, León et Santander.
La nouvelle a été donnée comme officielle
bien qu'elle contredit ce qui a été exprimé
dans le R.D. du 13 novembre 1890, dans lequel il était
expressément interdit aux particuliers d'exploiter des
lignes téléphoniques interurbaines.
Le Nord de Castille rapporta à la fin de 1903 l'installation
de deux conducteurs de téléphone entre Madrid-Valladolid-La
Corogne, selon la ligne interurbaine de la région Nord-Est
définie dans le R.D. du 18 mars 1891.
Les travaux débuteront en janvier 1904 et entraîneront
une amélioration importante des communications de Valladolid
avec l'extérieur.
Cependant, la ligne ne commence pas à être construite
à cette date car plusieurs raisons s'y opposent: 1- Les
ressources économiques limitées de l'État
. 2 - La priorité achever les lignes interurbaines du
réseau Nord-Est de plus grande importance industrielle.
3 - Les conditions techniques des lignes interurbaines. 4 -
L'absence d'une compagnie de téléphone cohérente
qui pourrait entreprendre un projet de cette envergure.
Il a donc fallu attendre la 2e décennie du XXe siècle
pour que cette ligne soit mise en uvre, grâce à
une concession accordée par le gouvernement à
la Compagnie de téléphone péninsulaire.
L'installation du service téléphonique longue
distance à Valladolid a nécessité de résoudre
les problèmes d'induction dans les lignes longue distance
et que l'Etat investisse dans des installations aussi complexes
et coûteuses. Les effets inductifs entre les fils conducteurs
voisins ont été momentanément résolus
en supprimant la boucle de masse. Au lieu de cela, deux fils
physiques ont été utilisés pour établir
chaque liaison téléphonique: un aller et un retour,
ce qui a fermé le circuit téléphonique
entièrement métallique.
En 1912, le gouvernement de la nation a commencé
à travailler sur la refonte du réseau du Nord-Ouest,
dans lequel Valladolid était inclus, selon une concession
que par décret royal du 17 avril 1908 avait faite à
la Peninsular Telephone Company.
La refonte a commencé à être effectuée
au mois de juin; Madrid-Miranda de Ebro a été
le premier, et en terminant le circuit dans les villes d'Ávila,
Medina del Campo, Palencia, Burgos et Valladolid.
Il va sans dire que l'influence de Santiago Alba, alors ministre
de l'Intérieur, a été décisive pour
que la ville de Pisuerga dispose de sa propre station téléphonique
interurbaine.
L'installation de la ligne interurbaine
qui comprenait Valladolid a commencé en juin 1912, la
première route étant Madrid-Miranda de Ebro et
fermant le circuit à travers les villes d'Ávila,
Medina del Campo, Palencia, Burgos et Valladolid. et l'installation
de la deuxième route du réseau du Nord-Ouest a
débuté en 1913. Cela comprenait à Medina
del Campo une fourche de câbles à Zamora et Salamanque,
une autre route de Palencia à León, et une série
de stations en Asturies et Galice Le Nord-Ouest s'est développé
progressivement, jusqu'à atteindre diverses localités
intégrées dans cette région. La
construction de la ligne pour Valladolid, sous la direction
de M. Ruiz Medina, fut achevée en avril 1913.
Dans Le Nord de la Castille, le 29 avril
1913, un article complet est consacré aux téléphones
interurbains en général et au Central Interurbain
de Valladolid, qui dans peu de temps allait commencer à
fonctionner.
sommaire
Le centre téléphonique interurbain,
dirigé par Santos Velasco, a suscité les éloges
de toutes les personnes présentes, en particulier des
journalistes madrilènes chargés de couvrir l'événement
historique. «La façade extérieure de
la gare est analogue à celle de Madrid, mais la surpasse
en art et en élégance», a souligné
l'envoyé de «La Correspondencia de España»,
tout en soulignant la modernité de «l'appareil»
de Valladolid.
L'inauguration du Centre Téléphonique
Interurbain de la Compagnie de Téléphonie Péninsulaire
de Valladolid a eu lieu le 5 mai 1913,
en présence de l'Inspecteur Général des
Téléphones, M. Estelat y Torres, l'Inspecteur
de Ligne, M. Ruiz Medina, d'autres techniciens de la Société
et le chef du bureau de Valladolid, M. Santos Velasco, le gouverneur
civil, M. Díaz, plusieurs représentants du Ministre
de l'intérieur, M. Alba et une série d'autorité
de sociétés et de représentants de Valladolid.
M. Santiago Alba avait précédemment adressé
un télégramme à MM. Díaz, Estelat
et Torres et au maire de Valladolid, M. Emilio Gómez
Díez, pour exprimer sa satisfaction concernant le nouveau
service et justifier son absence en raison d'engagements de
sa fonction. ...

Le Central Interurban de Valladolid récemment inauguré
était situé C / Constitución, nº 9
(ancien siège de la Centrale )
La nouvelle centrale avait de vastes installations intégrées
dans le même bâtiment (salles des équipements,
salle des informations et des réclamations, ...). Le
local technique se trouvait dans une pièce très
lumineuse située au fond de la salle. Les fils de bronze
de la ligne interurbaine entre dans le panneau central (meuble)
via le parafoudre système-Mix.
Le système manuel central a été construit
dans les ateliers de la Compagnie Peninsular de téléphone
à Barcelone. Le panneau central précité
se composait des indicateurs de prises d'écoute correspondants,
des fiches et cordons pour effectuer les différentes
commutations manuelles de la centrale, sept horloges (sablières)
pour quantifier le temps passé en ommuniccation, un microphone
puissant modèle Paris-Rome (SIT), et aussi une sonnette
électrique pour avertir des éventuels appels.
Une dérivation pratiquée dans le panneau central
permettait aux employés de mettre la ligne principale
en communication avec une des cabines, à partir desquelles
les communications téléphoniques étaient
transmises et reçues. Ces cabines avaient un poste Ericsson
muni d'un microphone puissant Berliner.

Le service téléphonique
très demandé à l'époque se composait
uniquement de télégrammes qui étaient transmis
par téléphone, au lieu de les encoder et de les
envoyer par le télégraphe.
Le service téléphonique nouvellement installé
a permis d'établir des communications avec Madrid, Ávila,
Medina del Campo, Palencia, Burgos, Santander, Miranda de Ebro
et Bilbao. Le mécanisme était simple: premièrement,
un avis était adressé à la personne avec
qui on voulait parler, le convoquant à l'heure souhaitée,
un avis dont le prix était de 0,25 pesetas pour Medina
del Campo, et de 0,50 pour le reste; À partir de là,
la conférence en question pourrait commencer, qui devrait
durer au moins trois minutes, avec un coût allant de 0,50
pesetas pour Medina del Campo et Palencia; 1,25, pour Burgos
et Ávila, et 1,75 pesetas, pour Madrid.
Les propriétaires de téléphones urbains
avaient la possibilité d'établir des conférences
interurbaines, à condition de déposer au préalable
50 pesetas comme montant minimum. L'Etat, à son tour,
avait un bureau adjacent au centre de clôture et de comptabilité
et dans les centres d'appels pour les conférences publiques,
et il avait le pouvoir d'écouter et de couper la communication
«quand cela était commode ou nécessaire
selon le règlement».
Quelques jours avant l'inauguration officielle, El Norte de
Castilla avait déjà acquis et installé
une cabine téléphonique pour établir la
communication avec ses correspondants.

Un télégraphiste de l'Etat était chargé
de superviser le bon fonctionnement du service interurbain.
Le bureau du commissaire était situé à
côté du bureau de la comptabilité et du
recouvrement des centres publics téléphoniques
et était équipé d'un boîtier pour
15 lignes. Le bureau du chef du centre interurbain de Valladolid,
M. Santos Velasco, était proche de celui du contrôleur.
Une petite unité attachée à la salle d'équipement
de la centrale était située à une courte
distance du bureau du contrôleur. Un cadre dirigeait personnellement
le personnel féminin engagé dans le service interurbain
à partir de là et supervisait leurs tâches
à la demande du contrôleur. À côté
d'elle se trouvait une autre employée qui fournissait
différents types d'informations au public, s'occupait
des réclamations et des plaintes pertinentes.
Les vertus du service urbain et interurbain
récemment installé dans la capitale de Valladolid
en avril 1913, incitent les maires de différentes communes
de la province à engager les démarches pertinentes
pour doter leur région du nouveau service de communication.
Logiquement, le téléphone a commencé à
atteindre les villes les plus peuplées et les plus importantes,
parmi lesquelles se distinguaient les suivantes: - Medina del
Campo en raison de sa situation géographique et de sa
position stratégique en tant que centre de communication.
- Medina de Rioseco en raison de son importance commerciale
autour du canal de Castilla. Les lignes téléphoniques
installées à l'extérieur du centre urbain
de Valladolid répondaient aux conditions techniques assignées
aux lignes télégraphiques.
- Les supports étaient des poteaux de dimensions spécifiques
avec une séparation entre travées de 100 m par
règle générale.
- Les fils étaient en fer galvanisé d'un diamètre
de 3 mm.
- Les isolateurs étaient en porcelaine en forme de double
cloche.
Le téléphone n'a été établi
à Medina del Campo qu'avant la création du CTNE
en 1924, comme le confirment différentes informations
parues dans le nord de la Castille. Par conséquent, le
service s'est à peine développé dans toute
la province de Valladolid au cours du premier quart du 20e siècle.
Cependant, à partir des politiques d'expansion promues
par le CTNE depuis 1924, le téléphone a commencé
à atteindre le reste des communes et des zones rurales
de la province de Valladolid successivement, quoique lentement,
tout au long du XXe siècle.
La demande de téléphonie vers
le réseau de Valladolid a augmenté progressivement
tout au long du premier quart du 20e siècle et pour étendre
la capacité du centre, davantage de meubles de type Sieur
de capacité 100 abonnés, ont été
installés.
La photographie suivante représente la salle d'équipement
avec les tables de l'ancien Valladolid Central vers la fin de
1926.
À cette époque, il y avait 13 tables qui servaient
1 288 abonnés.

La photographie suivante révèle l'aspect postérieur
d'un tableau de Sieur. Vous pouvez y voir les plaques indicatrices
circulaires, les crochets à triple interrupteur et les
câbles ou cordons de connexions avec les lignes d'abonnés.
Le service de commutation manuelle interurbaine fourni par le
Valladolid Central au cours des années précédant
l'introduction de l'automatique avait les caractéristiques
suivantes:
- Le standard interurbain de 1926 avait 4 positions pour les
circuits interurbains, dont 2 étaient utilisées
pour les téléphones.
- Un couple de positions de test ajoutés en 1927 et 6
répéteurs de ligne installés plus tradivement.
Proposition d'installer une usine à
Valladolid
Le Nord de Castillade le 28 août 1925 a recueilli une
curieuse revendication de Valladolid signée par Gregorio
Fernández Díez.
Dans ce document, il a déclaré que le CTNE venait
d'annoncer son intention de construire de nouvelles usines de
matériel téléphonique dans divers endroits
en dehors de Madrid et de Barcelone et a profité de l'occasion
pour déclarer que son implantation devrait être
orientée en faveur des villes de l'intérieur des
terres moins favorisés au niveau du travail. C'était
le cas particulier de Valladolid, qui n'avait pas encore atteint
son plein développement industriel et dont la situation
géographique stratégique en faisait un candidat
de choix pour créer une de ces usines et évoluer
vers le type de ville industrielle. Fernández Díez
a fait observer que Valladolid devrait s'adresser au gouvernement
pour revendiquer ses droits, d'être désigné
comme l'emplacement de l'une de ces industries. Il a également
rappelé que les pouvoirs publics devraient promouvoir
les activités industrielles qui dépendent directement
ou indirectement de l'Etat vers les villes de l'intérieur
du pays.
La préférence du CTNE d'implanter ces usines dans
des villes comme Barcelone et Madrid et les contraintes budgétaires
pour les étendre à d'autres villes ont empêché
Valladolid de devenir une ville pour fabriquer des équipements
et du matériel téléphonique.
sommaire
Le Central Interurbain de Medina del Campo
de la Compañía Peninsular de Telefonos, a été
inauguré le 15 mars 1913.
Le local technique disposait d'un Standard (à une batterie
locale), qui desservait jusqu'à 100 abonnés.
L'événement a été suivi par l'inspecteur
général des téléphones, diverses
autorités civiles, militaires et ecclésiastiques,
le chef des constructions de lignes M. José Ruiz Medina,
le mécanicien de la société M. Francisco
Aguilar, des industriels et commerçants de la région,
des correspondants de la Presse madrilène et Valladolid
et autres commissions.
La société locataire du réseau a informé
que toute personne souhaitant utiliser les téléphones
avec la nouvelle ligne interurbaine, devrait payer à
l'avance le montant de la caution établie pour répondre
au service.
Le ministre de l'Intérieur, M. Alba, a adressé
au maire de Medina del Campo un télégramme en
juillet 1913, l'informant que la pose du réseau téléphonique
urbain entre Medina del Campo a été mis aux enchères.
Il fut décerné à la Compania Peninsular
de Telefonos en septembre 1913.
Les travaux de pose d'une ligne téléphonique interurbaine
reliant Medina del Campo à Salamanque et à Zamora
ont débuté en août 1913.
La pose du nouveau fil de 5 mm pour la ligne interurbaine du
réseau Nord-Ouest Madrid-La Corogne qui passait par Medina
del Campo a commencé au début de 1914. Les travaux
des installations ont été réalisés
par son concessionnaire, la Compagnie de Téléphonie
péninsulaire.
Les techniciens du CTNE ont dessiné une carte du réseau
national avec ses lignes interurbaines dès la fin de
1924.
Valladolid a joué un rôle important en termes de
communications interurbaines au sein de cette structure qui
a comme centre Madrid. Valladolid est devenu un point clé
pour les communications entre Madrid et le nord de la péninsule
dans la ligne nord-ouest Madrid-La Coruñay, et dans une
possibilité claire de diriger le trafic de la capitale
vers le nord-ouest et une partie de Le nord-est. La carte suivante
relative aux lignes interurbaines et aux échanges automatiques
en Espagne reflète l'importance que Valladolid a acquise
dès le début dans les plans de la société
Telefónica.

L'enclave géographique de Valladolid au sein du territoire
national et son importance démographique et économique
relative au début du 2e quart du XXe siècle étaient
des raisons suffisantes pour que la CTNE l'inclue dans le groupe
de villes sélectionnées, pour lesquelles elle
allait établir le service automatique pour es villes
et passer son réseau urbain en canalisation souterraine.
La transformation progressive de son réseau urbaina érien
en réseau souterrain et le passage du système
manuel primitif au système automatique ont marqué
le début de ses communications pour Valladolid dans le
2ème quart du 20ème siècle.
sommaire
La prochaine avancée de la téléphonie
espagnole aura lieu en 1926, avec le remplacement progressif
des centraux desservis par les opérateurs par
des centraux automatiques.
L'annexe numéro 4 du rapport CTNE de
1926 comprenait un tableau avec cette série de villes
privilégiées et bien sûr Valladolid était
inclu.
La CTNE a donc acquis un site à Valladolid au 12 rue
Duque de la Victoria, et a chargé l'architecte M.
José María de la Vega de réaliser le projet
puis a confié l'exécution des travaux à
l'entrepreneur général de l'immeuble M. Francisco
Eguinoa, pour une ouverture vers la mi-1929
L'ancienne centrale manuelle urbaine et interurbaine de Valladolid
continua de fonctionner, tandis que le nouveau bâtiment
central était en construction et que le centre automatique
est installé.
Valladolid comptait 1 300 abonnés à
la fin de 1928.
L'annexe numéro 2 du rapport CTNE de 1928 comprenait
un tableau sur les caractéristiques du service interurbain
en Espagne
Une première étape d'expansion
du service téléphonique à la province de
Valladolid comprend le démarrage de service urbain et
interurbain de Medina del Campo avec le Central ouvert
en 1913 et la décision visant à mettre en uvre
prochainement le service urbain à Medina de Rioseco
en 1919.
Une deuxième étape d'expansion a atteint plus
de municipalités d'importance relative dans la province,
elle a eu lieu entre la fin des années 1920 et le début
des années 1930. Dans une certaine mesure, cette étape
était inclue dans les actions nationales pour étendre
le service aux villes les plus importantes des provinces espagnoles,
promues par Telefónica.
La Direction générale des communications a informé
la mairie de Medina de Rioseco qu'elle avait obtenu l'autorisation
de créer un centre téléphonique urbain
dans l'État le 2 septembre 1916. Le supérieur
hiérarchique, Emilio Novoa, s'est rendu dans ladite ville
le 1er avril 1919 pour mener à bien le projet d'installation
du réseau téléphonique. Les travaux d'implantation
ont été réalisés entre 1919-1927
et à la mi-avril 1927, ils ont finalement été
achevés.
Le service téléphonique public urbain et
interurbain de Medina de Riosecode a été inauguré
le 4 décembre 1927.
L'événement a été suivi par le PDG
du CTNE, M. Gumersindo Rico, le chef régional du CTNE,
M. Rafael Abreu, d'autres hauts fonctionnaires de la société,
les gouverneurs civils et militaires et des autorités
notables de Valladolid.
Le nombre d'abonnés au service Medina
de Rioseco s'élevait à plus de 60 au début
de 1928.
Le nouveau centre téléphonique de Medina de Rioseo,
a été accueilli avec une émotion inhabituelle
par la population de La Rioja, car ils étaient conscients
que cela profiterait notamment aux intérêts de
la municipalité.
Quelques maires de communes voisines ont assisté à
la cérémonie d'ouverture et ont profité
de l'occasion pour remettre au Chef du CTNE de ce quartier,
M. Rafael Abreu, les demandes pertinentes pour l'installation
du service téléphonique dans leurs communes respectives
.
La CTNE a officiellement inauguré différents centraux
téléphoniques à batterie locale dans certaines
communes de la province de Valladolid entre 1928-1933 :
- Rueda 5 juin 1928
- La Seca 5 juin 1928
- Tordesillas 30 novembre 1928
- Boecillo 3 juin 1930
- Tudela de Duero 20 novembre 1930
- La Cistérniga 20 novembre 1930
- Alaejos 4 juin 1931
- scar 23 juillet 1933
- Peñafiel 23 juillet 1933
Le Président de la Commission du Conseil provincial de
Valladolid, M. Gil Baños, a adressé une circulaire
aux municipalités de la province qui ne disposaient toujours
pas de services télégraphiques ou téléphoniques
en 1932, pour procéder à la réorganisation
imminente de ces services de télécommunication.
Les dispositions publiées dans La Gaceta de Madrid
du 30 avril 1932 détaillaient tous les accords
et engagements qui incombaient aux communes. La circulaire indiquait
quun petit nombre de municipalités avaient envoyé
la documentation requise et il était instamment demandé
aux autres de lenvoyer le plus rapidement possible. Le
Conseil provincial a souhaité traiter les informations
de chaque commune dans les plus brefs délais pour se
conformer à l'accord approprié dans chaque cas,
conformément à l'arrêté du ministère
de l'Intérieur.
Cependant, les contraintes budgétaires et la difficulté
supplémentaire à apporter le service dans certaines
régions de la province ont entraîné une
expansion lente et inégale du téléphone.
Actions promues par le Chef des Téléphones de
Valladolid La situation n'a guère changé vers
1936 sans progrès significatif à revoir. Face
à un tel scénario, le chef du centre téléphonique
de Valladolid a suggéré qu'une commission soit
nommée pour étudier comment fournir des téléphones
aux 211 villes de la province dépourvues de service.
Et qu'il avait été convenu de nommer MM. Valencia
et Martín afin que, au nom du Conseil provincial, ils
pourraient gérer avec ladite représentation comment
exécuter le plan. Cependant, d'autres conditions de toutes
sortes ont retardé l'arrivée du téléphone
dans les communes de moyenne ou petite importance intégrées
dans la province de Valladolid, jusqu'au début des années
50.
sommaire
Revenons à Valladolid
Le secrétaire général du CTNE, M. Gumersindo
Rico González, a demandé à la mairie de
Valladolid le 6 février 1928 de demander une licence
pour l'exécution des travaux conduisant au "projet
de construction d'un bâtiment pour bureaux et central
téléphonique" en C / Duque de la Victoria,
nº 12, au centre de la capitale, joignant à l'instance
le rapport, les plans et l'a envoyé à la directiondu
projet.
Rico González a également demandé l'exonération
fiscale comme cela se faisait suivant les conventions en vigueur.
Le maire, à la demande de l'architecte municipal du conseil
municipal, a accepté ce qui était prévu
et a accordé l'autorisation demandée 4 jours plus
tard, à condition que les conditions générales
suivantes soient respectées:
- La propriété n'était en aucun cas destinée
au logement tel que décrit dans le projet, car les petites
dimensions de la cour arrière manqueraient des conditions
d'hygiène nécessaires.
- Les travaux devaient être exécutés conformément
aux prescriptions des ordonnances municipales sous l'inspection
de la section des routes et travaux municipaux, conformément
aux règlements sur la construction des égouts
et des conduits pluviaux et au R.O. du 6 novembre 1902 sur les
échafaudages et les clôtures.
- La soi-disant «lucarne praticable» au sous-sol
avec accès au trottoir devrait être supprimée,
car l'article 433 des ordonnances municipales interdisait l'éclairage
des sous-sols par les lanterneaux situés sur le trottoir
de la voie publique.
Le projet indiquait également que l'équipement
automatique de la centrale et les appareils étaient en
phase d'installation.
 
Les demandes actuelles du service téléphonique
ont entériné la réalisation d'un changement
profond du système de distribution actuel au moyen de
fils et de câbles aériens posés sur les
toits, situation totalement inadaptée en ces temps nouveaux.
En effet, le poids des câbles principaux donnerait une
surcharge excessive que les toits devraient supporter, pour
cette raison, l'installation souterraine des câbles principaux
était totalement nécessaire.
La CTNE a jugé opportun que l'affaire Valladolid ait
11 000 m. de conduits souterrains, 5 600 m. de câbles
aériens et 220 pôles. Selon ses premières
estimations, l'installation complète serait achevée
vers la fin de 1928. Le projet présenté par Rico
continuait à affirmer que le réseau était
soumis à un processus d'expansion et de changements continus,
en fonction du développement des bâtiments et de
la demande du service.
Les canalisations souterraines seraient étendues aux
quartiers périphériques de la zone urbaine au
fur et à mesure de la construction des sites et des extensions
de nouveaux bâtiments et remplaceraient les postes précédemment
installés.
Une fois le réseau construit, il serait possible d'effectuer
autant de réparations, d'extensions et de travaux que
nécessaire sur ses câbles, sans avoir à
toucher à nouveau les trottoir et les rues pendant toute
la période prévue pour son développement,
ce qui dans ce cas équivaudrait à 20 ans minimum.
L'espace occupé par les tuyaux et les chambres d'enregistrement
serait réduit au minimum indispensable.
El Norte de Castilla, le 20 décembre
1927, se référait pour la première
fois au téléphone automatique de Valladolid. Ce
journal rapportait que les travaux de pose de la nouvelle ligne
téléphonique dans la ville avaient commencé
la veille, pour établir le service automatique à
fin 1928.
L'installation avait commencé en 3 points différents
de la zone urbaine: Plaza del Corrillo, Campillo de San Andrés
et C / Duque de la Victoria, et on estimait qu'elle durerait
plusieurs mois.
Sur la photo, vous pouvez voir l'état des travaux de
démolition de la maison existante à C / Duque
de la Victoria, n ° 12, effectués en 1928. Plus précisément,
à cet endroit, la nouvelle allait être construite
dans un avenir immédiat Bâtiment CTNE pour l'usine
automatique de Valladolid.
Au bas de l'image, vous pouvez voir le temple de l'ancien centre
urbain et interurbain de Valladolid établi à C
/ Constitución, nº 9.
Le nord de Castilla a annoncé que le nouveau
centre de téléphonie automatique occuperait la
maison acquise par le CTNE au C / Duque de la Victoria, n °
12, à côté de la banque Castellano et il
était prévu qu'il commencerait à fonctionner
à la mi-1929.
La construction du nouveau siège central à Valladolid
s'inscrit dans la politique nationale de modernisation du service
téléphonique menée par la CTNE depuis la
fin de 1924. La 15e base du contrat conclu entre l'Etat et le
CTNE le 25 août 1924 engageait la Société
à mettre en place des systèmes automatiques dans
les principales villes d'Espagne (y compris Valladolid), tout
au long de la seconde moitié des années 1920.
La CTNE avait besoin d'acquérir des biens immobiliers
à des emplacements stratégiques dans les capitales
pour la construction de nouveaux bâtiments adaptés
aux exigences exigées par l'équipement de ces
installations et aux conditions générales requises
par l'emplacement des bureaux généraux et publics
de la Société.
Dans l'annexe numéro 3 du rapport CTNE de 1927 concernant
les nouvelles parcelles acquises et les bâtiments prévus
pour l'installation du système automatique, sur Valladolid,
les données spécifiques suivantes ont été
retrouvées :
Le bâtiment abriterait 3 étages pour de multiples
fonctions et occuperait une superficie totale de 469,55 m2.
Bien que ces travaux auraient dû être achevés
en février 1928, certaines informations sur la question
recueillies dans les archives municipales confirment que la
mairie de Valladolid a donné le permis de construire
officiel le 10 février 1928. Entre la fin de 1928 et
les premiers mois de 1929, Valladolid aménageait une
série de fossés dans lesquels les câbles
ont été progressivement introduits.
L'annexe numéro 3 de la mémoire CTNE de 1928 signalait
que l'inauguration du service automatique de Valladolid aurait
lieu à la fin d'avril 1929 et aurait une capacité
initiale de 2000 lignes.
sommaire
Le nord de Castille le 26 avril 1929 a précisé
que l'inauguration du nouveau bâtiment aurait lieu le
samedi suivant à 6h30 de l'après-midi.
Il a également indiqué que l'événement
serait fait en présence d'une série d'autorités,
de personnalités éminentes de Valladolid et du
reste du pays et une grande représentation de la compagnie
de téléphone.
Les représentants des journaux locaux et les correspondants
de la presse madrilène ont été invités
à voir les installations de la nouvelle centrale construite
à Valladolid le 26 précédant l'inauguration
à 12h30, comme le rapporte un journaliste du nord de
Castilla
Tous ont été suivis par le directeur du 4e district,
M. Rafael Abreu et d'autres fonctionnaires du CTNE. Abreu a
réaffirmé le pas franchi par Valladolid dans l'automatisation
et a ajouté que le service téléphonique
atteindrait bientôt une série de villes de la province
de Valladolid.
Le système automatique était plus rapide que le
système manuel et permettait d'obtenir une confidentialité
pour la conversation qui n'était auparavant que supposée,
il permettait en plus d'augmenter considérablement la
capacité du centre et à offrir un service pour
les nouvelles demandes d'abonnement.
Le nouveau Central automatique
Rotary 7A-2 de Valladolid à
batterie centrale a démarré le 27 avril 1929
à 19h00.
A partir de ce moment précis, les communications téléphoniques
de Valladolid étaient obtenues par les abonnées
eux mêmes grâce au cadran installé sur leur
nouvel appareil; la commutation et la mise en relation était
faite automatiquement par le central, les anciens postes de
téléphones avec une batterie locales ont été
définitivement abandonnés.
Le système automatique Rotary 7A-2 installé au
premier étage a continué à tourner sans
interruption pendant plusieurs décennies.
Parchemin d'ouverture du service automatique de Valladolid
L'installation de la technologie automatique
était plus coûteuse que la technologie manuelle,
mais en échange elle était moins chère
à utiliser.
Le coût d'un standard téléphonique manuel
avec une batterie centrale par abonné était de
175 pesetas, contre 325 pesetas pour un standard automatique
par abonné. Cependant, le coût du personnel d'un
centre manuel était beaucoup plus élevé
que celui des électro-mécaniciens d'un central
automatique.
sommaire
La CTNE a modernisé le service téléphonique
espagnol dans un premier temps entre 1924 et le déclenchement
de la guerre civile en 1936.
Ces données reflètent la situation des installations
à la fin de 1935.
- Le nombre de téléphones installé s'élève
à 329 130, 66,76% étant automatique
et ayant une moyenne de 1,40 pour 100 habitants.
- Le nombre de centres opérationnels a atteint 3 110
et le service international communique avec 68 pays.
- Le réseau interurbain comptait 336 991 km répartis
en différents types de circuits,
Le service téléphonique de Valladolid s'est légèrement
développé au cours de la première moitié
des années 1930.
La capitale comptait 2 308 téléphones automatiques
à la fin de 1935 et figurait parmi les 15 premières
villes du pays.
D'autre part, les principales municipalités de la province
avaient un service urbain et Medina del Campo également
un service interurbain.
Les lignes interurbaines utilisaient des circuits avec pôles,
fils et câbles et les communications se faisaient avec
des circuits fantômes et en haute fréquence.
Valladolid a toujours appartenu au parti nationaleet le CTNE
y a établi sa direction générale pendant
le conflit.
Son centre a connu un trafic interurbain élevé
en raison de sa position clé pour les communications
et du rôle administratif important joué pendant
la guerre. La guerre a eu une influence négative sur
le réseau national et le téléphone en général,
et son nombre moyen pour 100 habitants est tombé à
1,19 en 1938, contre 1,40 en 1935. Pendant cette période,
de nombreux équipements ont été détruits,
de nombreuses lignes téléphoniques ont été
coupées.
Valladolid n'a pas été trop affecté par
la perte de téléphones et l'isolement des lignes
en raison de sa position définie pendant la guerre.
Le nombre total d'abonnés augmenta même quelque
peu, dépassant la barre des 2 500 à la fin de
1939 contre 2 308 à la fin de 1935.
La guerre influença grandement le service interurbain
de Valladolid et le volume du trafic qui croît à
partir de 1936
La moyenne mensuelle des communications tenues en Espagne diminue
de 52% au 2ème semestre 1936 par rapport au 1er, car
le réseau en général est démantelé.
Cependant, la moyenne mensuelle des conférences téléphoniques
a été plus du triple dans la zone nationale (5,59)
par rapport à la zone républicaine (1,74) au cours
du second semestre de 1936.
Valladolid a été un élément important
de la tendance car il y aavit environ 10 000 communications
mensuelles en moyenne et avait un taux moyen de 4.20 communications
téléphoniques mensuelles. Un taux aussi bas dans
la zone républicaine est dû à l'effondrement
de la vie civique, aux restrictions de service public, au démantèlement
du réseau par les fronts de bataille nationaux et à
la mauvaise qualité des médias complémentaires
utilisés. De telles circonstances ne se sont pas manifestées
à un tel point dans la zone nationale, car elles ont
été résolues à la volée dans
la mesure du possible. Le système radio avec le centre
du réseau téléphonique à Madrid
a été progressivement démantelé
une fois que la vraie guerre a commencé dans les derniers
mois de 1936, laissant sa flexibilité et son efficacité
considérablement réduites pour les deux parties.
Par conséquent, il n'y avait pas d'autre choix que d'établir
d'autres voies de communication. Dans la zone nationale, un
long itinéraire longitudinal a été établi
qui reliait Ceuta, Séville, Cáceres, Salamanque,
Valladolid, Burgos et Vitoria, vers lesquels convergeaient les
groupes locaux qui assuraient le service et lié d'autres
régions . Valladolid était un point essentiel
de l'axe principal des communications nationales en raison de
sa position stratégique privilégiée et
il permettait de diriger le trafic du sud-ouest vers une partie
du nord-ouest et du nord-est.
Le système longitudinal a été formé
à partir des lignes existantes le long du tracé,
sur lesquelles des travaux de conditionnement et d'agrandissement
indispensables ont été effectués. Des équipements
modernes à haute fréquence pour les communications
longue distance ont été utilisés au maximum
de leurs capacités pour établir 3 communications
simultanées sur une seule paire de fils. La carte suivante
représente les lignes longue distance en fonction de
la situation des fronts au début janvier 1938. Sa position
approximative est délimitée par un trait plein
avec de petites traces transversales :

La zone la plus encombrée était la section Palencia-Burgos
d'environ 70 km, car elle était la plus appropriée
pour unir le sud-ouest de la zone nationale avec le nord-est
et l'est de celle-ci. La route de Burgos est devenue une autre
possibilité claire de diriger le trafic une fois que
les villes du nord ont été libérées,
mais elle a excessivement allongé les communications
et a également nécessité un bon nombre
d'amplificateurs pour fonctionner correctement.
Valladolid et Palencia ont regroupé le trafic venant
du Sud-Ouest, du Nord-Ouest et du Nord-Est en possession de
la face nationale. Zamora était reliée à
León par une ligne provisoire de poteaux aériens
pour décongestionner la route Salamanque-Valladolid-Palencia
et transmettre le trafic vers le nord-ouest d'une manière
alternative. La partie nationale a gagné plus de territoire
en 1937, ses conférences interurbaines ont augmenté
et ses services ont été organisés en fonction
des circonstances du moment, fonctionnant bien. La carte suivante
représente les lignes interurbaines par rapport à
la situation des fronts au début de janvier 1938. Leur
position approximative est délimitée par un trait
plein avec de petites traces transversales.
La position des différents fronts est marquée
par une ligne continue avec de petites traces transversales
et aussi les limites de la zone nationale occidentale avec des
cercles et la zone nationale orientale avec E sont marquées.
L'axe de base longitudinal de la zone nationale est délimité
par une ligne continue épaisse pour souligner son importance.
Le centre de Valladolid a connu un trafic interurbain élevé
pendant la guerre civile situé dans l'axe longitudinal
de la partie nationale.
L'activité se concentrait davantage dans des villes clés
telles que Salamanque, Valladolid Burgos et atteignait des pourcentages
qui produisaient de graves embouteillages qui devaient être
traités à la volée.
Valladolid disposait de 2400 téléphones automatiques
en 1936, les lignes pour communiquer étaient saturées
et de la durée des conversations étaient élevée.Cette
situation entraînait de fréquents retards. Malheureusement,
une extension des lignes dans le central de Valladolid n'a pu
être réalisée que quelques années
plus tard. Les abonnés ont souffert cette situation pendant
un certain temps, surtout pendant cette période de guerre
et de forte congestion. Alors pour augmenter la capacité
des lignes disponibles, des systèmes de courant porteur
haute fréquence ont été utilisés,
ce qui a permis d'établir diverses liaisons ou canaux
de transmission. grâce à un seul circuit physique
Ces équipements ont permis d'établir 3 communications
simultanées sur une seule paire de fils sans se mélanger
et d'améliorer le niveau d'audition en éliminant
tout bruit de fond provenant des phénomènes d'induction.
Le Standard Automatique de Santander d'une capacité de
100 lignes a été installé à Valladolid
à l'automne 1938, pour le service interne des bureaux
de l'entreprise. Cette installation est restée en service
quelques mois après la fin de la guerre.
La longue période d'après-guerre
des années 1940 et le déclenchement de la Seconde
Guerre mondiale n'ont pas aidé au développement
et à la croissance du téléphone dans tout
le pays.
L'activité industrielle de Valladolid et de l'Espagne
en général a beaucoup souffert, notamment du fait
d'un ensemble de conditions de toutes natures ( pénurie
de matériaux d'équipements et leur coût
élevé, infrastructures routières réduites,
retards dans le transport des matières premières
et autres produits, ressources économiques limitées,
impossibilité d'importer des technologies très
appropriées pour améliorer le service en raison
du blocus externe).
Les budgets publics, étatiques et municipaux étaient
justes et les capitaux privés se sont retrouvés
en baisse et en diminution.
La CTNE a ressenti la pénurie générale
car comme toutes les entreprises de l'époque, il avait
un quota de matières premières.
Cependant, une fois la guerre civile terminée à
Valladolid et en Espagne, une progression très lente
mais progressive des installations téléphoniques
a commencé à se produire. Au début, elle
ne couvrait que le centre-ville, puis ensuite les quartiers
les plus importants, les extensions.
Un déploiement de travaux, de fouilles et de construction
de conduits souterrains ont été entrepris pour
installer des lignes et réparer celles qui étaient
en service. Ces travaux s'inscrivent dans les politiques nationales
menées par le CTNE sur le renouvellement des infrastructures
téléphoniques, une fois surmontées les
vicissitudes de la guerre.
sommaire
LE CENTRE TÉLÉPHONIQUE SEMIAUTOMATIQUE
DE MEDINA DEL CAMPO
La centrale automatique de la capitale était déjà
en service depuis plus d'une décennie au début
des années 40 et les immenses avantages du système
automatique avaient été amplement démontrés.
Medina del Campo a été la première municipalité
de la province où la nouvelle technologie automatique
a été mise en place, comme ce fut le cas avec
le service manuel.
Le service semi-automatique a été inauguré
dans cette ville le 5 juin 1941.
L'événement a réuni un groupe d'autorités,
des directeurs et hauts fonctionnaires du CTNE, ainsi que de
nombreux invités. Un hommage a également été
rendu au directeur général de la société,
M. Mestre.
L'agent technique, M. Menéndez Álvarez, a instruit
les abonnés sur l'utilisation du nouveau service: il
leur a d'abord enseigné puis donné des notions
simples sur l'installation.
Sur la base annonée de la réforme, l'alimentation
électrique du circuit était fournie par une batterie
centrale. L'abonné n'avait pas besoin de bouton d'appel
ou de magnéto, simplement en décrochant son combiné,
l'opérateur pouvait atteindre le numéro de l'abonné
destinataire.
Cette amélioration introduite supposait un confort et
une rapidité remarquables pour l'utilisateur.
Le nombre d'abonnés au service semi-automatique a augmenté
au cours des années 40 et 50.
Le maire de cette ville a entamé les démarches
pertinentes à la fin de 1958 pour installer plus de téléphones
automatiques au début des années 60.
sommaire
ÉVOLUTION DES ABONNÉS AU
DÉBUT DE 40 ANS.
La longue période d'après-guerre a fortement freiné
le développement et l'expansion du service téléphonique
au niveau national, en raison de toutes les conditions auxquelles
le CTNE doit faire face.
Cependant, les données statistiques sur Valladolid reflétées
dans les rapports du CTNE pour ces années indiquent que
le nombre d'abonnés à son réseau a augmenté
et ne s'est pas complètement arrêté, le
nombre d'abonnés au service de Valladolid est passé
à 3445 à la fin de 1945, contre 2541 au début
de 1940.
L'International Telephone and Telegraph Company (ITT), en tant
qu'actionnaire majoritaire de la CTNE, a perdu tout intérêt
à renouveler le capital de cette société
après le contrat de 20 ans signé entre les deux
le 25 août 1924, pour les raisons suivantes, entre autres
- Le gel des tarifs.
- L'augmentation des frais de personnel due aux augmentations
de salaire entre 1941 et 1945.
- Difficultés d'approvisionnement en matériaux
pour l'entretien, la rénovation et l'extension du réseau.
Ces trois facteurs étaient l'effet combiné de
l'altération des marchés internationaux par la
Seconde Guerre mondiale, de la politique d'autosuffisance mise
en uvre et de la situation d'isolement politique et de
l'embargo économique auquel la dictature de Franco a
été soumise après la fin de la guerre mondiale.
La politique autarcique ainsi que le nationalisme économique
fort de la dictature de Franco poussèrent dans une certaine
mesure vers le sauvetage de la participation nord-américaine
au capital de la Compagnie.
Le processus de négociation pour acheter les actions
détenues par ITT par le gouvernement espagnol a commencé
en 1944 et un accord a été conclu pour une valeur
de 56,8 millions de dollars le 8 mai 1945, soit 2000 pesetas
par action sous l'équivalence de 11,22 pesetas par dollar.
.
Les 318 641 actions ordinaires acquises représentaient
79,6% du capital social et cette opération impliquait
la nationalisation complète du CTNE. L'ITT a perdu son
influence financière au sein du CTNE, mais y est resté
lié en matière de conseil technique et de fourniture
d'équipements et matériels téléphoniques
via sa filiale Standard Eléctrica.
L'Etat espagnol et le CTNE ont signé un deuxième
contrat le 31 octobre 1946 pour une durée de 30 ans avec
le même caractère de monopole et des conditions
similaires en faveur du CTNE que le contrat du 25 août
1924.
Ce deuxième contrat a assuré une nouvelle étape
de modernisation et d'expansion du service téléphonique
dans la seconde moitié du XXe siècle, tant au
niveau national qu'international.
La nationalisation du CTNE signifiait un investissement plus
important pour le développement et l'expansion du service
au niveau national.
La société a acquis les matériaux nécessaires
pour les installations normalement après la fin de la
Seconde Guerre mondiale et s'est concentrée sur la construction
des centraux téléphoniques, l'expansion des lignes
et l'application de nouvelles technologies.
De même, un autre système de compensation a été
mis en place pour le personnel et les tarifs téléphoniques
ont été relevés pour s'adapter aux nouveaux
besoins.
Les travaux de modernisation des infrastructures téléphoniques
de Valladolid sont devenus plus évidents tout au long
des années 1950 et les principaux efforts ont porté
sur l'extension et l'extension du réseau téléphonique.
Valladolid a assisté à une série de demandes
diverses pour la construction de canalisations souterraines,
placement des chambres de câbles et le placement de poteaux
dans des parties spécifiques de la ville: centre-ville,
Paseo Zorrilla, Paseo Arco Ladrillo, quartier de San Martín,
à proximité de Plazas Cruz Verde, circulaire,
San Juan et Vadillos, la Plaza Poniente voisine, la Plaza del
Carmen voisine, l'Avenida Segovia, la route Puente Duero, etc.
Dans la grande majorité des cas, ils ont été
formulés par le CTNE pour offrir un service public dans
différentes parties de la ville et, dans certains cas
particuliers, pour fournir un service aux nouveaux logements.
Les Archives municipales contiennent diverses demandes visant
à améliorer considérablement le service
téléphonique de Valladolid dans les années
1950. Parmi les actions les plus significatives engagées,
celles menées par le Délégué du
Gouvernement du CTNED, Felipe Acedo Colunga et le délégué
de la direction générale de la société
à Valladolid M. Manuel García Cortés.
Années 1950. Les premières ouvertures officielles
ont été: Pedrajas de San Esteban le 6 juin 1950,
Montemayor de Pililla le 6 décembre 1951, Cigales le
12 juin 1954
Les premières démarches pour communiquer entre
Zaratán et Valladolid ont commencé en janvier
1956 et à la fin de novembre de cette année-là,
les 170 kilos de cuivre nécessaires à la réalisation
de l'installation ont été payés. Le
Nord de Castille a annoncé à la fin du
mois de mai 1957 son démarrage définitif pour
la mi-juin et le service téléphonique de Zaratán
a été inauguré le 11 juin 1957, l'événement
a réuni diverses autorités, des représentants
du CTNE et une grande partie des habitants de la ville.
La Centrale a été installée dans la Mairie
de la municipalité avec un modèle Standard de
10 lignes (expanssible) pour 8 abonnés mis en service.
Le service a été inauguré dans la ville
de Quintanilla de Onésimo un jour avant
le démarrage de la nouvelle centrale à Zaratán.
El Norte de Castilla a publié en 1956 qu'un
groupe de villes de la région de Valladolid s'était
intégré dans la communauté en installant
le service téléphonique à Villagarcía
de Campos, Urueña, Villardefrades, Tordehumos et Villabrágima
.Après diverses procédures, le service est arrivé
dans ces villes le 20 juin 1958, prolongeant la ligne
téléphonique de Medina de Rioseco.
En 1958, la CTNE a également
inauguré les centraux téléphoniques suivantes
:
Campaspero 10 avril 1958
Sardón de Duero 16 mai 1951
Le 15 août 1958 a mentionné l'octroi de subventions
pour l'installation de téléphones dans 24 communes
par une partie du Conseil provincial de Valladolid. Le montant
fixé s'élevait à 2 302 383,25 pesetas et
les bénéficiaires étaient les villes de
la vallée de l'Esgueva et d'autres régions.
Entre autres, Fombellida, Esguevillas de Esgueva, Piña
de Esgueva, Bercero, Pedrosa del Rey, Villalar de las Comuneros
et Villanueva de los Infantes. Plusieurs travaux préparatoires
ont été réalisés par des brigades
de la CTNE en avril 1959, dans le but d'installer le téléphone
dans ces villes. Le journal Le nord de Castille
a annoncé à la mi-avril 1959 l'inauguration conjointe
pour le 18 juillet prochain .
Le gouverneur civil de la province de Valladolid, M. Antonio
Ruiz-Ocaña, a inauguré le service téléphonique
dans différentes villes situées sur les rives
de la rivière Esgueva le 18 juillet 1959.
Les villes les plus notables étaient Piña de Esgueva,
Castronuevo de Esgueva , Renedo de Esgueva, etc.
Le service téléphonique de la vallée sinueuse
qui commence à Renedo et se termine à Encinas
a été établi dans chaque commune, après
un premier appel passé par M. Ruiz-Ocaña. D'autres
Centres ont également été inaugurés
le service téléphonique à Villalar de los
Comuneros, Pedrosa del Rey, Mota del Marqués, Casasola
de Arion, Bercero et Vega de Valdetronco a été
ouvert le 20 juillet 1959.
La CTNE a également inauguré les centres suivants
en 1959:
Villanueva de Duero 1er janvier 1959
Santavenia de Pisuerga 31 janvier 1959
sommaire
Conclusion
Les années 50 ont été une période
prospère en termes d'ouverture de nouveaux centres téléphoniques
dans différentes villes de la province de Valladolid.
Le service a été établi dans d'innombrables
villes en 1959, produisant de nombreuses inaugurations dans
presque toutes les régions de la province. Le nombre
d'abonnés abonnés raccordés à des
centres téléphoniques antérieurement a
augmenté au cours des années 1960 et en même
temps, le service atteignait les petites villes de la province.
La technologie automatique a été implantée
dans les municipalités les plus importantes de la province
tout au long des années 70, pour atteindre progressivement
le reste.

Standard manuel interurbain
Modèle CI 2003 de Standard Eléctrica.
Date approximative de fabrication: 1950, fabriqué en
Espagne, dans l'usine de Madrid à c / Ramírez
de Prado de l'ancienne SESA (Standard Eléctrica Sociedad
Anónima, filiale d'ITT).
Il peut sembler étrange que des panneaux manuels aient
été fabriqués en 1950 lorsque des centraux
automatiques ont été installés depuis les
années 1920, mais il faut se rappeler que l'automatisation
n'était alors que pour les appels locaux, plus tard entre
centraux dans la même ville et jusqu'aux années
1960.
Diverses initiatives autour de l'expansion du
central téléphonique de Valladolid ont vu le jour
dans la seconde moitié des années 1940, en raison
de la croissance démographique considérable de
la population et de l'augmentation des demandes d'inscription
au service.
Le service a connu une croissance exponentielle au début
des années 50, dépassant les 5 000 abonnés
en 1950.
L'amélioration générale de l'économie
a conduit à une augmentation du pouvoir d'achat des travailleurs
et un plus grand nombre de citoyens ont pu assumer les coûts
d'installation et d'utilisation régulière d'un
téléphone.
La première proposition d'agrandissement a été
faite par le conseiller municipal de Valladolid, M. Luis Nuñez
Bachiiler, au début de 1946.
Par son initiative et compte tenu de la demande croissante de
nouveaux téléphones, la Mairie a formellement
demandé l'extension du Centre Téléphonique
de Valladolid à l'autorité compétente en
la matière.
La principale raison qui a motivé une telle action était
que cette centrale téléphonique avait été
conçue pour une ville de 64 000 habitants et qu'en 1946,
le chiffre de 120 000 a été dépassé.
De même, il a demandé que non seulement les multiples
demandes d'installation de téléphones encore en
suspens soient satisfaites, mais aussi toutes celles qui n'avaient
pas été formulées, jusqu'à ce que
l'expansion si nécessaire de la Centrale soit effectuée.
La proposition faite par la Mairie de Valladolid a été
approuvée le 13 février 1946 par la Commission
permanente, qui s'est réunie en session extraordinaire.
Le rapport a ensuite été transmis au CTNE et ce
dernier, au nom de son Secrétaire Général,
M. Eugenio Barroso, a répondu le 29 mars comme suit:
"La Mairie de Valladolid a reçu une communication
dans laquelle elle s'intéresse à cette Compagnie
Nationale de Téléphone d'Espagne, l'exécution
des études préliminaires nécessaires pour
mener à bien l'agrandissement du centre téléphonique
de cette capitale".
Cependant, et malgré tout notre plus grand intérêt,
en raison de la concordance de nombreuses circonstances défavorables
que nous subissons actuellement, il n'a pas été
possible d'atteindre cet objectif pour le moment, car nous traversons
des moments critiques en termes de disponibilité du matériel
et du téléphone. équipement. Cependant,
Barroso a déclaré qu'ils avaient cette idée
en tête et qu'ils lanceraient très prochainement
une étude commerciale sur le développement futur
des services, sur la base de procéder à l'extension
du réseau et des équipements nécessaires
à Valladolid et servent ainsi avec toute l'ampleur les
demandes de la population de Valladolid.
Environ 4 ans après la première proposition du
conseiller, D.Luis Nuñez Bachiiler, El Norte de Castilla
le 25 février 1950 a annoncé qu'à partir
du 1er mars, les travaux d'agrandissement du réseau téléphonique
de Valladolid commenceraient et seraient achevés vers
le 6 septembre.
Les raisons invoquées par la direction
et les cadres supérieurs de Telefónica pour justifier
les retards survenus étaient principalement dues au manque
de matériel pour l'équipement Rotary 7A2 du Duque
de la Victoria Central, qui avait une capacité initiale
à pleine charge à un peu plus de 2 000 téléphones
et il na pas été possible daugmenter
ce nombre. Pour résoudre ce problème, des racks,
des connecteurs, etc. étaient nécessaires de toute
urgence. et bien que l'étude concernant l'expansion ait
été faite, le matériel provenant de l'étranger
n'a pas pu être obtenu.
La guerre civile, l'après-guerre et la guerre mondiale
ont entraîné de graves effondrements dans la volonté
de renouveau de la Compagnie.
Cela ne s'est pas produit uniquement à Valladolid, mais
aussi dans les grandes villes espagnoles, mais cette situation
a été progressivement surmontée. L'amélioration
des relations diplomatiques avec la communauté internationale
a permis d'amorcer une phase de reprise économique qui
a favorisé la CTNE et a finalement pu acheter les matières
premières nécessaires à la construction
de nouvelles installations.
La CTNE a fait passer le réseau de Valladolid de 2 000
à 4 000 lignes en 1950 et cette demande a été
conclue en septembre.
Les travaux d'agrandissement ont nécessité la
prise de nouvelles lignes en raison du manque de paires et l'ouverture
de quelques tranchées dans les secteurs extra-muros où
il n'y avait pas de chambres. Finalement, il était nécessaire
d'étendre le réseau de câbles souterrains
et de façade.
Cette action a couvert toutes les demandes sur la liste d'attente
jusqu'au 31 décembre 1949 et même une partie des
suivantes.
La barre des 4 000 abonnés à Valladolid
a été dépassée au milieu des années
50, ce n'était plus un obstacle sérieux pour les
techniciens du CTNE une fois que les problèmes de pénurie
avaient été surmontés.
Les conditions du service téléphonique de Valladolid
ont subi d'importantes modifications à la fin des années
50.
Mise en place de téléphones à 5 chiffres
: La CTNE a informé les abonnés de Valladolid
Central au milieu de 1959 que les numéros de téléphone
passeraient à 5 chiffres. Le changement a consisté
à mettre un 2 avant les numéros de téléphone
en service
En revanche, les abonnés ont été informés
qu'à compter du 1er octobre 1959, que chaque ligne d'abonné
sera reliée à un compteur installé dans
le centre qui enregistre tous les appels effectués à
partir de ladite ligne avec une unité de comptage, quelle
que soit la durée, par la suite, elle était facturée
par périodes de 3 minutes en fonction de la distance.
les frais d'abonnement urbains actuels n'ont pas été
modifiés et ont donné le droit de faire un nombre
d'appels mensuel équivalent à 100, en facturant
25 cents pour chaque appels. La lecture des compteurs se ferait
au moyen de photographies, pour relever les numéros de
téléphone des abonnés et le nombre d'appels
effectués.
Compte tenu de l'augmentation incessante du
nombre de demandes d'enregistrement reçues au cours des
années 1950, la CTNE a envisagé d'entreprendre
la construction de nouveaux centraux à Valladolid, pour
mieux répartir le trafic téléphonique par
secteurs de la ville et décongestionner le maire central
de Duque de la Victoria.
Le Paseo Zorrilla d'une capacité initiale de 4 000 lignes
a été ouvert en 1962 et le Central de Gondomar
d'une capacité initiale de 3 000 lignes a fait de même
en 1966.
Valladolid a atteint 20 000 abonnés en 1967 et
à la fin de cette décennie, il a dépassé
35 000.
Le service automatique Valladolid-Madrid a commencé à
fonctionner à la mi-1968 dans le réseau automatique
de Valladolid, en composant un numéro à clé
plus celui de l'abonné destinataire.
De même au centre du Prado en 1970 afin d'établir
un trafic bidirectionnel avec Salamanque, Palencia, Madrid,
Barcelone, Santander, Valence ... et le reste des villes qui
entraient progressivement dans le service.
|
sommaire
Valence
Ce n'est qu'en 1883, que Juan Solís
lui-même a établi la première ligne longue
distance à Valence, dans laquelle il a relié
l'usine Mosaicos Nolla (entre les villes d'Almàssera et
Meliana) en communication avec les bureaux qu'il avait à
Valence, sur Rue Colón.
En 1883, Juan Solís avait ses deux premiers abonnés
à Valence: M. Ayora, d'Almacenes Ayora, et M. Devesa.
Le premier d'entre eux, un marchand de la ville, qui l'utilisait
pour parler avec ses magasins situés sur la route d'El
Grao; le second était un banquier qui utilisait l'ingénieux
appareil pour se connecter depuis son bureau, situé dans
la ville de Valence, avec une ferme qu'il possédait dans
la commune de Bétera.
Cette même année, davantage de liasons téléphoniques
ont été établies entre des individus de la
zone urbaine de Valence et de la région d'El Grao, en charge
de la Société hispano-américaine, dirigée
par Lino Roldán, responsable des télégraphes,
et avec un certain nombre abonnés près d'une centaine.
Le téléphone a commencé à se développer
dans la ville de Valence et son essor a commencé. |
sommaire
Grenade, Motril ... Vallée de Lecrín
Padul, Dúrcal, Lanjarón, Talará
|
Le décret de 1891 divise la péninsule
en quatre zones téléphoniques, aux fins de la
concession et de la vente aux enchères des réseaux
interurbains, délimités par des lignes imaginaires
avec comme centre Madrid.
Dans la capitale de Grenade, nous avons
des données selon lesquelles une entreprise de téléphonie
était installée depuis 1897.
A l'apogée en 1920, le réseau
téléphonique urbain était divisé
entre des concessionnaires qui exploitaient 93 réseaux.
Sur ce nombre, 42 correspondaient à des
capitales provinciales gérées par des entreprises
privées, à l'exception de quatre aux mains des
conseils municipaux. L'État disposait de 110 réseaux
urbains, dont onze correspondent aux capitales provinciales.
Quatre ans plus tard, lorsque Primo de Rivera
imposa l'unification du service téléphonique en
1924, le contrôle des réseaux avait considérablement
changé :
- 28 % correspondait à l'Etat à
travers la Direction générale des postes et télégraphes,
qui contrôlait 147 réseaux urbains. Les plus importants
étaient ceux de Las Palmas, Castellón, Séville,
Burgos, Cuenca, Ciudad Real, Guadalajara, León, Logroño,
Lugo, Soria, Segovia et Teruel. Elle avait également
sous son contrôle deux réseaux provinciaux, Vizcaya
et Ciudad Real, et des circuits interurbains dans plusieurs
provinces, le plus important étant Saragosse-Ariza et
le réseau Guadarrama à Madrid. Il a également
exploité le réseau international avec la France.
- 9 % correspondaient aux conseils provinciaux et aux
communes comme le réseau urbain de Saint-Sébastien
et celui de Guipúzcoa, en plus du réseau du Commonwealth
catalan, qui a installé la première centrale automatique
en 1921.
- 33 % appartenaient à deux sociétés.
La plus importante était encore la compagnie de téléphone
péninsulaire, qui possède le réseau interurbain
et les réseaux urbains des capitales ou des villes importantes
de Valladolid, Vitoria, Tarragone, Huesca, Vigo et Cadix.
De son côté, la General Telephone Company exploitait
les réseaux urbains de Murcie, Tolède, Alicante,
Albacete, Tenerife.
- Les 30 % restants correspondaient aux petits concessionnaires.
Le service téléphonique en 1924 représentait
:
- 80 000 téléphones manuels;
- 0,36 téléphone pour 100 habitants;
- 40 000 kilomètres de circuits interurbains;
- 627 emplacements reliés par téléphone,
- et 8 000 employés.
Entre septembre et décembre 1924, la
CTNE a repris, en payant
la compensation correspondante, les concessions des réseaux
de Saragosse, Malaga, Almería, Cordoue, Santander et
Grenade
( Le processus s'est poursuivi dans les années ultérieures
de sorte qu'en 1930 il n'y avait que six concessions louées
en dehors du périmètre CTNE, correspondant aux
municipalités de Berga, Castro-Urdiales, Guardiola, Jaén,
Melilla et San Sebastián avec un total de 6376 abonnés,
dont 4764 appartenaient au réseau municipal de Saint-Sébastien,
en plus du réseau provincial de Guipúzcoa).
La vallée de Lecrin : cette région
est une zone intermédiaire entre les deux zones principales
de la province de Grenade: La Vega et la Côte.
Il a toujours joué un rôle crucial dans la communication
à la fois avant tout moyen de communication qui se présentait.
Avec cette page, nous voulons aider à savoir comment
ce réseau de lignes, de routes et de constructions a
été réalisé tout au long de ces
années.
Dans cette région rurale,
le téléphone s'est répandu très
tardivement dans la plupart des villes de la Vallée .
La vallée de Lecrín a toujours été
une voie de communication entre la Vega et la côte, il
y avait deux routes principales : celle qui reliait Grenade
à Motril par Padul, Pinos del Valle et la Torre de la
Cebada, et une autre qui reliait Grenade
avec les Alpujarras via Dúrcal, Tablate, Lanjarón
et Órgiva. Entre 1839 et 1860,
la nouvelle route entre Grenade et Motril a été
construite. Cela se fait à travers Padul, Dúrcal,
Tablate et Ízbor, donc un nouvel itinéraire est
créé, différent de l'ancien passant à
Camino Real. Cette route n'était pas goudronnée
jusqu'à ce qu'elle soit goudronnée vers 1930.
1878-1920 Dans la capitale de Grenade
et Motril, les plus grandes villes de la province, le
déploiement du téléphone avait commencé
timidement et il faudra attendre la création de Telefónica
en 1924, pour que, sous la protection de l'Etat, le réseau
puisse être étendu à toute la province.
La province de Grenade ne comptait que 734 téléphones
en 1920.

sommaire
En 1927-1928, le téléphone
s'installe dans la vallée de Lecrín.
Dans ces premières années, la numérotation
ne comprenait que le bureau central et quelques numéros
dans chacune des trois villes, comme le montre le premier annuaire
téléphonique provincial de 1929. (À Dúrcal
il y avait 3 téléphones, à Padul 7 et à
Lanjarón 16 un peu plus grâce à la demande
des hôtels).
Vers 1957, d'autres usines de Talará et de Béznar
furent installées: à Ízbor il y a un téléphone,
à Murchas, Chite, Mondújar et Acequias, il n'y
avait pas de téléphone. Pinos, Restábal,
Saleres, Melegís, Albuñuelas, Cónchar,
Cozvíjar et Nigüelas (chacun a un standard manuel)
Le standard téléphonique faisait partie
de la vie quotidienne de ces générations
qui, pour communiquer avec un membre de la famille, le faisaient
par le biais de la conférence téléphonique
classique du standard susmentionné.
Entre 1971 et 1972, le centre manuel est passé
en semi-automatique Rotary. A cette date, le téléphone
atteint alors toutes les villes sauf Tablate. Acequias il n'y
avait qu'un seul téléphone public.
Entre 1979 et 1980, les standards semi-automatiques ont
disparu dans toute la zone et les téléphones sont
devenus entièrement automatiques.
En zone rurale, il n'y avait pas beaucoup d'abonnés,
les centres téléphoniques étaient au nombre
de trois et étaient situées à :
- Padul sur Calle Real avec 8 téléphones,
- Dúrcal à Banco Bajo (Peut-être
Barrio Bajo) avec 4 téléphones
- Lanjarón sur la Calle Real avec 17 téléphones,
Ces données nous ont été fournies par Carmina
Ruiz Cobo, l'un des opérateurs téléphoniques
de Talará qui, avec sa sur María Matilde
et sa mère, a dirigé le bureau central de cette
ville depuis sa création jusqu'à sa fermeture.
Selon Carmina, jusqu'en 1957, il n'y avait que des téléphones
dans les trois villes mentionnées ci-dessus.
Rappelez-vous comment les gens devaient se rendre en particulier
à Dúrcal pour pouvoir les utiliser.
Les centraux téléphoniques de ces villes étaient
manuels et ont donc il fallait utiliser la fameuse manivelle
(magnéto) pour lancer l'appel.
Vers 1970, ceux-ci sont passés en semi-automatique où
la manivelle a disparu et dans le centre manuel des lumières
s'allumaient pour avertir que la ligne qui était connectée.
Les concessions pour les nouveaux centres ont été
faites avec des contrats dits familiaux. Cela impliquait que
toute la famille garantissait d'une manière ou d'une
autre que le service était couvert 24 heures sur 24.
L'entreprise les payait mais ils bénéficiaient
d'une sécurité sociale pour les indépendants.
Ils cherchaient une femme mariée, c'est pourquoi le numéro
de téléphone de Talará était au
nom de sa mère. Les standards étaient installés
dans la maison privée appartenant à la famille,
par la société du matériel téléphonique.
Dúrcal
Lanjarón 
4 octobre 1927. Inauguration du téléphone de Dúrcal
et Padul. 1 juin 1928. inauguration de Lanjarón
Talará En
1957 Plus précisément, le centre téléphonique
de Talará était encore manuel .
Le standard de Talará était situé dans
une maison en face de la mairie actuelle, bien sûr, il
appartenait à une famille chargé d'assurer le
service.
Le standard téléphonique avait 28 abonnés
et chaque ligne avait une entrée et une prise de sortie
(verte et rouge) pour établir les connections, donc il
n'y avait pas de confusion.
Il y avait, 1 ligne d'entrée et de sortie qui allait
à Béznar et Ízbor (À Béznar,
il y avait un standard qui dépendait de Talará.
À Ízbor seulement un téléphone public
situé dans une maison).
Les lieux dit de de Murchas, Chite, Mondújar et Acequias
n'avaient pas de téléphone.
Quand quelqu'un voulait parler à un voisin qui n'avait
pas de téléphone, il fallait faire un avis. Cet
avis était facturé séparément.
C'était une obligation de notifier uniquement les voisins
situés à Talará.
Quand cela se produisait dans une ville voisine, une personne
était sollicité pour se rendre dans la ville demandé
pour avertir.
Meuble
Centre téléphonique 1924
sommaire
Entre 1971 et 1972, le centre Talará est
passé en semi-automatique, c'est à dire relié
à un centre semi automatique.
A cette date le téléphone atteint alors toutes
les villes sauf Tablate
Sur le meuble, la manivelle a été retiré,et
une lumière indiquait la ligne qui était en cours
d'utilisation.
Le standard de Talará est déménagé
pour passer de la famille précédente à
une autre de la même famille située sur la route
de Mondújar un peu au-dessus de l'actuel Bar Garví
Ce standard comptait alors 129 abonnés.
Les numéros de téléphone sont donnés
à tous les lieux dit de la commune qui n'en avaient pas
auparavant (Murchas, Chite, Mondújar et Acequias, dans
ce dernier il n'y avait qu'un seul téléphone public)
Les abonnés de Lecrín n'étaient pas facturés
pour les appels entre eux (ce que l'on entend aujourd'hui comme
des appels locaux)
Ce changement et ce transfert ont coïncidé avec
la création de l'actuelle municipalité de Lecrín
Au moment de la fusion, la rivière Torrente a été
canalisée, ces travaux ont incité à regrouper
les populations.
Carmina nous raconte une anecdote, avec un ingénieur
de la construction :
"De Madrid, l'ingénieur a tenté d'appeler
la population de Lecrín. Lorsqu'il appelait au téléphone,
et chaque fois qu'il contactait le standard, il entendait toujours
la voix d'une jeune femme, pour l'ingénieur, un farceur,
qui disait qu'il allait couper, couper ! Le technicien, pensant
qu'on se moquait de lui, a raccroché et a demandé
de nouveau à être remis en conversation, appelant
ainsi plusieurs fois. Bien sûr, la jeune femme attentive,
voyant que le client raccrochait et pensant que la communication
allait couper, avec plus d'insistance elle chantait hacher,
hacher, hacher!. Au bout d'un moment, l'ingénieur, assez
en colère, a exigé de contacter le chef des services
municipaux pour lui dire que, pourquoi se fait-il que lorsqu'il
demandait à contacter Lecrín, une jeune femme
sortait toujours en se moquant de lui."
Entre 1979 et 1980, les standards semi-automatiques ont disparu
dans toute la zone et les téléphones sont devenus
entièrement automatiques.
Ces standards ont été fermés et les employés
ont reçu une certaine compensation.
Padul avait un standard relié
directement à Grenade.
Il était manuel jusqu'en 1971-72, en semi-automatique
et a disparu en 1979-80
Dúrcal était un noeud, cela signifie que
la centrale téléphonique pour cette population
a desservit différentes lignes de la région.
- Une ligne téléphonique venait d'Ízbor
(un salon dans une maison), elle passait par Béznar (standard
téléphonique manuel) et Talará (centre
manuel de 1957 à 1971 et semi-automatique de 1971 à
1980)
- Une autre ligne pour Pinos (petit standard manuel), Restábal
(petit standard manuel), Saleres (petit standard manuel) et
Melegís (petit standard manuel)
- Une autre pour Albuñuelas (petit standard manuel),
Cónchar (petitstandard manuel) et Cozvíjar (petit
standard manuel)
- Une autre pour Nigüelas (petit standard manuel)
Dúrcal avait jusqu'à trois meubles de connexion,
chacun avec plus de 100 téléphones, ce qui faisait
300 à 400 entrées.
Talará, qui était également un centre
de collecte (noeud) pour le Recto del Valle, quand en 1971 il
est devenu semi-automatique, il avait
- 2 lignes avec Grenade
- 3 lignes avec Dúrcal
- 1 ligne partagée entre Melegís, Restábal
et Pinos
- 1 partagé entre Ízbor et Béznar
- et une avec Albuñuelas
Lanjarón avait un standard téléphonique
autonome. Ce n'était pas un noeus pour d'autres villes,
mais tout le trafic téléphonique vers l'Alpujarra
passait par la.
Les centres de collecte (noeud) devaient tenir la comptabilité
de tous les appels, une fois examinés, ils facturaient
eux-mêmes les abonnés.
Puis lorsque l'argent etait collecté, il est envoyé
au central téléphonique de la capitale espagnole.
Pour faire un appel : Deux prises étaient toujours nécessaires,
une pour l'entrée et l'autre pour la sortie.
Puis vinrent les interconnexions. Par exemple: si unabonné
de Béznar voulait appeler Orihuela, il devait décrocher
son téléphone, une lumière s'allumait dans
le standard de Talará et après avoir communiqué
son intention à l'opérateur, l'appel devait aller
au-delà des nuds suivants : l'opérateur
de Dúrcal, Grenade, Alicante et Orihuela. Au final, une
communication était établie entre Béznar
et Orihuela, parfois entendue et parfois perdue.
Mais il y avait un autre problème. Tout était
lié au nombre de possibilité de chaque endroit.
Il se peut qu'à l'un de ces points, toutes les broches
aient été occupées, la demande était
mise sur une liste d'attente, où l'opérateur de
cet endroit devait calculer le temps nécessaire en fonction
des appels en attente sur sa liste.
Les tableaux téléphoniques étaient tous
manuels jusqu'à leur fermeture en 1980.
Les centres de collecte (Talará et Dúrcal) étaient
manuels jusqu'en 1971 puis ils sont devenus semi-automatiques
entre 1971-1980 où tous les standards et collecteurs
ont disparu.
Les centres de collecte devaient passer les factures à
leurs utilisateurs, tenir des statistiques sur le nombre d'appels,
le début et la fin de ceux-ci et les temps d'attente.
Telefoniste
de Dúrcal des années 70
|
sommaire
Pays Basque : Bilbao, Pamplune, Balaguer , Saint-Sébastien
|
A la fin du XIXe siècle, le téléphone
commence à être installé dans certaines
villes basques.
1882 C'est précisément
cette année-là que le gouvernement du pays Basque
a promulgué la première disposition régissant
la téléphonie.
Il s'agissait d'un arrêté royal du 16 août
qui fixait les règles d'octroi de licences privées
pour l'établissement et l'exploitation de réseaux
téléphoniques urbains de service public, dans
un rayon de dix kilomètres du centre des villes.
Ceux situés sur les rives de la Ría
del Ibaizabal ont été les premiers à recevoir
les nouveaux moyens de communication qui commençaient
lentement à faire leur chemin. À Vitoria,
un jeune Heraclio Fournier installa la première
ligne téléphonique de la ville en 1882.
C'est ainsi que cela s'est poursuivi jusqu'en
1920.
Côté Français, la
première installation du téléphone automatique
a eu lieu à Biarritz. Ses habitants et institutions
ont vite apprécié le téléphone automatique,
à partir de la fin du XIXe siècle. Au début
du XXe siècle, lorsque l'État français
a commencé à s'intéresser au développement
du téléphone, après des années de
négligence et de désintérêt pour
les nouveaux moyens de communication, l'installation de lignes
téléphoniques a eu lieu. C'était
un processus totalement différent de ce côté
de la frontière.
Au 31 décembre 1900, le réseau du Sud-Ouest
fonctionnait normalement, avec différentes stations et
sous-stations installées dans toutes les localités
du territoire (Arcachon, Marmande, Pau, Mont-de-Marsans ...).
L'actuelle sous-préfecture du département, Baiona,
située à 8,5 kilomètres de Biarritz, possédait
l'une de ces usines.
Lorsque l'Etat français a décidé d'entreprendre
l'automatisation des réseaux téléphoniques
du pays, Biarritz figurait parmi les localités choisies.
Sans une guerre sanglante sur le territoire, les installations
seraient restées au service de tous les abonnés,
absorbant les différentes innovations technologiques
qui émergeaient. Biarritz est une ville touristique depuis
le milieu du XIXe siècle qui accueillait chaque été
des touristes à fort pouvoir d'achat et même des
membres de la royauté, et pour cette raison elle disposait
d'un téléphone automatique depuis avant 1914.
Une véritable percée sur la côte du Pays
Basque continental.
De l'autre côté de la
frontière dans les années 20, le téléphone
automatique est arrivé au cours de la troisième
décennie du 20e siècle.
La première capitale dans laquelle les abonnés
ont pu commencer à utiliser cette nouveauté a
été le quartier Donostia (Saint-Sébastien).
Après un concours organisé par la mairie de Saint-Sébastien,
la compagnie de téléphone Ericsson,
établie depuis 1922 à Getafe (Madrid), sorte de
filiale de la gigantesque entreprise suédoise, a remporté
et réalisé l'automatisation de toutes les lignes
de la ville et de la Province en système Ericson
AGF 500, qui sera le seul système AGF Ericson
installé en Espagne. Le 12 juin 1926, les premiers
téléphones automatiques ont commencé à
fonctionner.
Lire cet évenement dans la revue The
L.M.Ericisson Review de May-June 1926 et la description
dans la revue
de Juillet-Aout 1926
Cela a fait de Donostia et Gipuzkoa la seule capitale et province
basque pendant de nombreuses années avec des lignes entièrement
automatisées.
Le processus a été accueilli par
certains secteurs de la ville avec une gêne puisque les
opératrices téléphoniques qui depuis l'inauguration
des réseaux téléphoniques avaient contribuées
au fonctionnement du téléphone se sont retrouvées
sans travail, signifiant qu'au début de la guerre civile
en 1936, elles ont toutes dû abandonner non seulement
leur travail mais aussi leurs résidences et s'exiler
dans le sud de la France. La plupart étaient déjà
mariées et étaient mères de famille.
A 82 kilomètres de Donostia se trouve
Pampelune.
À Pampelune, le réseau interurbain du nord-est
de l'Espagne avait sa station et son centre d'appels à
l'époque (première décennie du siècle)
au n ° 21 de la Plaza de la Constitución, aujourd'hui
Plaza del Castillo.
En 1913, il y avait 360 abonnés au service téléphonique
dans la ville de Pampelune.
Pamplona Centre manuel
sommaire
|
Le 15 décembre 1923 Il faut
mentionner que Balaguer, chef-lieu de la région
de La Noguera à Lleida, a été
la première et la seule localité de l'État
à disposer d'un standard téléphonique
automatique en Espagne. Marín Bonell (1892-1973),
physicien l'un des premiers ingénieurs en télécommunications
d'Espagne lui-même, nous dira que la mise en service
officielle eut lieu le 3 février de l'année
suivante, en 1924.
|
Les compagnies de téléphone
en Espagne avaient peu d'entité et pour cette
raison la question de l'automatisation ne s'est
posée qu'au début du 2e quart du 20e
siècle.
L'une des grandes améliorations qui honorent
la ville moderne de Balaguer est son central
téléphonique automatique, d'autant
plus que cette ville a été la première
en Espagne à avoir une telle invention. Il
a été établi ici par le Commonwealth
de Catalogne.
Inauguration du tout premier
central téléphonique automatique
En août 1923, le central
téléphonique automatique était
mis en place à Balaguer, sous la direction
de M. Marín, ingénieur du Commonwealth,
et de M. Riechle, ingénieur de la maison
Siemens à Berlin, qui était l'entreprise
de construction du Balaguer Power Plant et celui
qui avait déjà construit les centrales
électriques automatiques dans de nombreuses
grandes villes d'Europe. Et Balaguer, je le répète,
peut se vanter d'avoir été la première
ville d'Espagne à disposer d'un tel appareil.
A la mi-septembre, les premiers tests
de fonctionnement de l'usine automatique ont été
réalisés avec les plus Alagueños
(sic) et des résultats satisfaisants. La
centrale fonctionnait déjà parfaitement.
Les tests et essais ont été réalisés
en présence de M. Justino Guitart, évêque
d'Urgel, accompagné de son membre de la famille
M. Piquer, et d'autres personnalités et autorités
locales.
M. les ingénieurs M. Marín
et Rietchle ont donné une explication parfaite
de la constitution, du mécanisme et du fonctionnement
du central téléphonique, puis les
tests qui n'auraient pas pu être plus satisfaisants
ont commencé. Le 15 décembre, il a
été inauguré.
|
Le centre téléphonique de
Balaguer était un automatique Siemens type Strowger
22 (22 comme 1922), complet avec 200 abonnés
extensible jusqu'à 1000, fourni par la maison allemande
Siemmens & Halske. fabriqué en Allemagne
par Siemens & Halske AG et Autofabag.
Schéma central Strowger Siemens &
Halske pour 10 000 abonnés. «Téléphonie»
M. Marín Salvat 1939
Nous apportons ici un document intéressant
de ce système Stowger (en espagnol) intitulé
Exploitation
et conservation des centrales électriques automatiques,
signé par Manuel Marín Bonell.

Ce sera le seul système Strowger installé
en Espagne.
|
sommaire
Le 17 décembre 1927, le service
téléphonique automatique de Pampelune a
été inauguré, c'est la quatrième
région espagnole dans laquelle la Compagnie nationale
de téléphone a installé l'automatique.
La Compañía Telefónica
Nacional de España, récemment créée
en avril 1924, était chargée d'effectuer les travaux
d'automatisation sur les lignes téléphoniques
existantes. (Il est vrai que pendant la guerre civile, les installations
ont été détruites et il a fallu attendre
le milieu des années 50 du 20e siècle pour rouvrir
le service téléphonique automatique).
Le centre automatique a été installée au
siège du CTNE sur la Calle Cortes de Navarra, construite
tout au long de 1926.
Au début de 1928, le nombre d'abonnés au
téléphone à Pampelune s'élevait
à 1 100.
(noter que jusqu'en 1920, la numérotation de la ville
n'avait pas plus de trois chiffres. En 1966, se sera à
6 chiffres).
Centre manuel de Bilbao, avant 1928
Le 1er décembre 1928, le service
téléphonique automatique de Bilbao commença
à fonctionner.
Inauguration par le Maire de Pamplune du centre automatique
Rotary 7A de Bilbao le 1er décembre
1928 , En photo, la table de Position «Semi-B»
liaison entre Bilbao et Las Arenas.
Dans la capitale de la Biscaye, le téléphone
automatique ne fonctionnait que de manière sectorielle.
L'usine a été installée au siège
de l'entreprise situé rue Buenos Aires à Bilbao.
De là, les lignes ont été reliées
à une autre petite centrale électrique construite
sur la rue Barria de Las Arenas. Ce petit hameau était
dans la région jusqu'à la fin des années
60 en qui a été démoli.
Le site a été acquis par le groupe Anasagasti.
Comme dans le cas de Pampelune après la guerre, les travaux
d'automatisation ont été réactivés.
Le processus était lent, car toutes les lignes téléphoniques
de la province n'étaient automatisées qu'au milieu
des années 1980.
Dans les années où des gens d'autres régions
venaient dans la province pour travailler dans de grandes usines,
le service téléphonique continuait d'être
manuel. De nombreux habitants de Bilbao d'un certain âge
se souviennent encore des cabines téléphoniques
situées dans des quartiers de la ville, comme celle de
l'actuelle Gran Vía de Bilbao.
Début 1963, les premières cabines téléphoniques
sont installées dans la ville. Pendant sept ans, ils
n'autorisaient les appels qu'aux abonnés situés
dans la ville. À la fin des années 1970, les cabines
permettant les appels interurbains ont été installées.
Heureusement, le service téléphonique dans les
cabines était automatique, une exception dans ce Bilbao.
1930 À Vitoria-Gasteiz, le téléphone
automatique a commencé à fonctionner au milieu
des années 1930.
Celui qui en était chargé était également
la Compagnie nationale de téléphonie d'Espagne.
Dans la capitale, au cours des mois précédents,
toutes les lignes du réseau téléphonique
urbain ont été retirées et les lignes automatiques
installées.
Le standard automatique a été installé
au siège de la société situé dans
la Calle General Álava.
Le processus a été reçu par le Conseil
municipal et le Conseil provincial d'Álava avec plaisir
et satisfaction après avoir subi divers problèmes
et déceptions avec l'installation du téléphone.
Il ne faut pas oublier que le premier président de la
société Telefónica depuis le moment de
sa création était la laudiotarra Estanislao Urquijo
y Ussía, III Marqués de Urquijo, né des
circonstances personnelles de sa famille à Madrid.
Dans le reste de la province, le téléphone automatique
a mis de nombreuses années à arriver.
Ce n'est que dans les années 1960 que l'installation
totale du téléphone dans la province a été
achevée.
Il convient de souligner dans cet article le rôle formidable
joué par le Conseil provincial d'Álava, qui, dès
le premier instant, a tenté d'installer le téléphone
dans la province. Lorsque l'opportunité s'est présentée
de procéder à l'automatisation, ils n'ont pas
hésité un instant à apporter à Vitoria-Gasteiz
et son arrière-pays l'avancée maximale de la téléphonie
jusqu'à ce moment-là.
Bref, le téléphone automatique, quelque chose
que nous avons tous connu et utilisé dans nos maisons,
nos lieux de travail ?
il a connu un développement inégal dans les capitales
basques des deux côtés.
Donostia a été la première capitale basque
à avoir cette avance dans tout l'État.
Il faut cependant mentionner que Balaguer, chef-lieu de la région
de La Noguera à Lleida, a été la première
et la seule localité de l'État à disposer
d'un standard téléphonique automatique depuis
1923.
Il est vrai que l'installation ne peut être comparée
en raison de sa modestie les installations vastes et complètes
qui ont été placées dans les capitales
basques et dans d'autres villes, mais même ainsi les données
doivent toujours être citées.
|
sommaire
Séville Andalousie
|
Le 14 décembre 1880, José
Galante, inspecteur à Séville, écrivit
au Directeur général pour l'informer que Bonnet
avait "construit un téléphone avec un émetteur
microphonique" et avait demandé l'autorisation de
le tester sur les lignes télégraphiques entre
Cadix et Séville (125 km), autorisation
qu'il reçu immédiatement. Le téléphone,
contrairement au télégraphe, ne nécessitait
aucune préparation pour sa manipulation, il a donc été
rapidement utilisé pour les communications privées,
créant une demande qui a sûrement motivé
Bonnet comme ses contemporains Ader, Gower .. pour se lancer
dans la fabrication.
La facilité de manipulation de ses stations a conduit
à leur utilisation pour les communications privées
à Cadix, Séville, Malaga, Carthagène,
Valence et Barcelone.
En 1887, il y a moins de 40 ans qu'à Séville
avait été installé un réseau téléphonique
urbain, avec un meuble manuel SIEUR situé dans
la rue de Albareda. Ce meuble (centre téléphonique)
avait des modules de 50 lignes à deux positions de 25
lignes chacun.
Bien que le téléphone soit arrivé très
tôt à Séville, en fait une des premières
conversations téléphoniques interurbaines péninsulaires,
a été effectuée avec Fregenal de la
Sierra (Badajoz) en 1880, par le pionnier Rodrigo
Sánchez Arjona; cependant, le service téléphonique
public en tant que tel (s'il y avait une autre ligne privée),
n'a démarré que quelques années plus tard.
La concession du service (basée sur l'arrêté
royal du 13 juin 1886) était datée du 30 octobre
1886 au nom d'un certain Emilio Fernández Gamboa (dont
nous n'avons trouvé aucune référence si
ce n'est qu'il était également propriétaire
du concession de l'urbain de Valladolid), et la mise en service
le 1er mai 1887 avec 94 abonnés (1 dans
le central et 93 d'abonnés).
À la fin de 1888, il y avait 165 abonnés, 213
à la fin de 1889 et seulement 298 appareils en 1900.
Puis la concession de service urbain a été remise
aux enchères en novembre 1907, après qu'un premier
appel a été abandonné, comme on peut le
voir dans la Gazette de Madrid. Il convient de noter qu'à
cette époque, le service fourni consistait uniquement
en des appels urbains, opérateur traversant, entre les
lignes des abonnés de la capitale sévillane elle-même,
il n'y avait pas de type d'appel interurbain, car ce service
n'était pas disponible.
C'est dans la période de 1907 qu'ils entreprendront de
manière plus décisive, grâce aux décrets
qui la facilitent, la construction de lignes interurbaines en
raison des concessions qui ont été proposées
à cette époque . À titre d'exemple, nous
pouvons voir les services de télécommunications
qui ont été offerts à Séville en
1918 aux membres du Congrès participant au IIe Congrès
d'irrigation tenu cette année-là.

Les concessions sont devenues dépendantes
de l'administration jusqu'en 1924, date à laquelle il
a été saisi par le monopole de la CTNE
conformément au contrat avec l'État.
Jusque-là, ce service reposait sur le déploiement
d'un réseau aérien qui, à partir des fameux
«templets», était soutenu par des poteaux
hauts et des appuis sur les toits .
Séville comptait 1240 abonnés en 1921
pour une population de 207000 habitants
Puis c'est en 1929, année de la tenue de l'Exposition
ibéro-américaine, qu'a été mis en
service deux centres téléphoniques automatique
Rotary 7A1.
Le principal et emblématique San Fernando sur
la Plaza Nueva, et la sous-centrale de Séville / Exposition
dans le pavillon du parc María Luisa, (qui est resté
en service jusqu'en 1989) pour remplacer le vieux système
manuel Sieur.
Plaza Nueva
Exposition
Bâtiment de la Plaza Nueva. Centre de Séville /
San Fernando en 1928. Bâtiment CTNE à l'Exposition
ibéro-américaine de 1929
Et c'est que la ville de Séville a toujours profité
des grands événements pour progresser et se mettre
à la pointe des avancées du moment.
|
sommaire
Huelva Andalousie
|
La première référence au
téléphone dans la ville de Huelva est datée
du 28 mars 1889, lorsque le journal La Provincia
annonça une conférence à l'Athénée
«Ce soir à huit heures et demie l'ingénieur
industriel M. Bofia donnera, un conférence sur l'application
téléphone et microphone...
La première ligne téléphonique,
à la demande du commandant de la marine, reliait la Barra
del Puerto à la population, au commandement de la marine
et au conseil municipal. Dans le procès-verbal de la
Commission des travaux portuaires du 27 mars 1891, le projet
de la ligne téléphonique susmentionnée
a été envoyé à l'ingénieur
en chef des travaux publics de la province.
Le budget a été approuvé par le Conseil
le 5 juin de la même année et s'élevait
à 5 352 pesetas.
A la mi-mai 1891 , le journal El Obrero communiqua
l'intention d'un groupe de financiers de former une société
pour l'installation d'un téléphone au service
du public.
Le 21 novembre 1889, le directeur de la société
Riotinto s'adressa à l'ingénieur du JOP de Huelva,
accordant l'autorisation de placer les poteaux pour la ligne
téléphonique du bar à ce port le long du
chemin de fer de cette société, et demandant qu'une
ligne téléphonique soit placée sur les
postes susmentionnés depuis le quai de la société
répétée ".
Petit à petit, le téléphone s'imposait.
Ainsi, en mai 1892, la Commission des travaux portuaires
a autorisé Fermín de la Sierra à installer
une ligne téléphonique reliant sa maison à
la gare centrale de la barra.
En mai 1896, le conseil municipal voulant établir un
réseau téléphonique qui relierait la mairie
au magasin de poissons et au nouvel abattoir de l'époque,
demanda au conseil l'autorisation d'installer la partie de la
ligne qu'il avait établie dans le bar. de son port.
Lors d'une séance tenue le 3 juin 1896, le conseil
municipal accepte la concession du conseil pour installer une
ligne téléphonique reliant la mairie au marché
aux poissons de la Dique et au bâtiment Matadero sur les
postes que ce conseil a établis sur sa ligne descendante.
Dans le journal La Provincia du 28 juin 1896,
on lit: "L'installation du réseau téléphonique
de la Mairie à la Poissonnerie et à l'Abattoir
a été achevée avec succès. L'installation
de tronçons et de lignes a été mise en
place par MM. Padilla et López Parejo ".
En février 1897, il fut convenu d'établir
une communication téléphonique entre le Navy Command
et les différentes agences.
En mai 1901, le conseil municipal procède à
la modification du tracé de la ligne téléphonique
du poissonnier et de l'abattoir et au remplacement des poteaux
et du conducteur handicapé.
En juin 1902, il fut convenu d'établir un service
téléphonique public dans les bureaux de la jetée
de fer et des hangars et, un mois plus tard, le téléphone
public fut installé dans les bureaux du quai du port.

Lors de la séance municipale du 22 octobre 1901, il
fut convenu de demander un standard téléphonique
au directeur général de la Poste et des Télégraphes,
«cette demande reposant sur l'importance et la diversité
des services confiés à l'administration municipale
...».
Centre pour 30 équipements au départ, trois employées
...
Un bâtiment a été érigé sur
la rue Carmen expressément pour le centre téléphonique.
Treize jours plus tard, la Province faisait des éloges
sur le Central : "Hier, nous avons visité le Centre
téléphonique, agréablement surpris par
le luxe et le bon goût qui ont régné dans
l'installation de ce centre. La salle pour les communications
est convenablement décorée, ... ". Un petit
appartement indépendant est alloué aux les dames
qui fournissent le service de communication : Mlle Ramona Aragón
y Pérez responsable du centre ; Isabel Pérez,
en tant qu'employée du centre, et Asunción ".
Lors de la session municipale du 9 En mars 1904, il est
demandé d'augmenter le personnel de la station télégraphique
et d'autoriser le service téléphonique interurbain.
Peu de temps après, un téléphone a été
installé au tribunal de Huelva.
Le 24 janvier 1905, Guillermo Duclós est autorisé
à placer des supports en fer dans l'entrepôt municipal
pour y installer un téléphone.
Suite aux efforts de Luis Romero et Guillermo Duclós
au nom, respectivement, des sociétés minières
Cueva de la Mora et San Miguel, le 22 février 1907, l'installation
d'une ligne téléphonique entre la capitale et
les mines susmentionnées a été favorablement
accordée.
En 1911 mise
en place de la ligne interurbaine Huelva-Séville
, par la Compagnie de Téléphonie
péninsulaire, au moment même où son
Central interurbain a été inauguré au 7
rue Vázquez López le
26 mai 1911,
Hulva en 1928 
Le lendemain, la province signalait l'événement
: «Inauguration du centre téléphonique.
Depuis hier, Huelva a eu cette importante communication, très
utile partout et dont le besoin se fait sentir parmi nous depuis
longtemps.
À cinq heures de l'après-midi hier, la cérémonie
d'inauguration du service a eu lieu, et sincèrement invité
comme nous l'avons déjà dit par le chef éclairé
des constructions de la Compagnie péninsulaire M. Reverte
nous y avons assisté, admirant les excellentes conditions
dans lesquelles le téléphone pourra fonctionner
dans notre ville .
Ce centre téléphonique nous permettra une communication
directe avec 66 villes du reste de l'Espagne dans un temps relativement
court et pour l'instant avec les 12 que nous indiquerons ci-dessous.
La Station a été luxueusement installée
au rez-de-chaussée de la maison numéro 7 de
la rue Vázquez López, au coin de la rue Azcárraga.
La distribution des locaux a été faite avec un
succès singulier, et pour le public qui utilise le service
téléphonique, cela ne saurait être plus
confortable.
Ils ont des cabines téléphoniques à double
porte et des persiennes en verre épais, qui empêchent
la voix de sortir.
Le microphone du tableau est de type Paris-Rome, une
section très raffinée utilisée par la Société
industrielle de téléphonie de Paris.
En prévision de l'événement d'un excès
de service, une cabine spéciale a été montée,
pour une double réception, des plus perfectionnées
connues.
Les appareils de cette cabine et ceux des bureaux de conférence
sont équipés de microphones Berliner puissants
et de récepteurs Ader N°4.
Jusqu'à présent, plusieurs tests avaient été
effectués avec Madrid, Barcelone et d'autres points,
avec des résultats admirables.
Pour ceux de Barcelone, un microphone Edisón haute
puissance a été utilisé. Les batteries
utilisées dans l'installation sont sèches, de
type Hellesens.
La distribution et l'installation de la nouvelle Centrale ont
été effectuées sous la direction du Chef
éclairé des Constructions de la Compagnie Péninsulaire,
notre ami Don Antonio Reverte, et celle des appareils a été
réalisée par l'intelligence qui l'a montée,
Don Francisco Aguirre.
Nous donnons ci-dessous le nom de ces 12 stations et
le tarif qui par conférence de trois minutes régira
avec elles depuis notre centrale:
Madrid, 4,25 pesetas; Séville, 1,25; Cadix, 1,75; Cordoue,
1,75; Malaga, 1,75, Grenade, 2,75; Jaén, 2,25; Linares,
2,75; Motril, 3,25; Guadix, 3,25; Ciudad Real, 3,25 et Cabeza
del Buey, 3,25. Ce tarif n'inclut pas l'avis de conférence,
qui coûtera 0,50 pesetas pour tous.
Pour la cérémonie d'ouverture, M. Reverte avait
invité autant de personnes importantes à Huelva,
en plus des autorités de tous ordres.
Nous rappelons aux personnes présentes le gouverneur
civil, M. Del Campo; gouverneur militaire, M. Peñuelas,
procureur de S. M. M. León Escobar (don Manuel); Commandant
de la marine, M. León Escobar (Don Luis)
".
sommaire
Dans les premières décennies, le téléphone
pendant les tempêtes ne fonctionnait généralement
pas . Pour cette raison, M. Guimerá, directeur du centre
téléphonique interurbain de Huelva, a été
félicité dans la province le 28 février
1912.
À de nombreuses reprises, les pannes des lignes téléphoniques
ont empêché les nouvelles d'atteindre les télégraphes
ou les téléphones. Tels étaient les cas
de 1915 les 3 juin, 18 juin et 14 juillet.
Le lundi 4 septembre 1916, la Province annonce : «
Toutes les villes à la tête du Parti judiciaire
seront munies de communications parfaites et indépendantes
avec la capitale grâce à des lignes en cuivre de
grande capacité. Elles seront également reliées
par téléphone au moyen de circuits en fer hautement
conducteurs, toutes les villes de chaque arrondissement ...
complétant ainsi la téléphonie de toute
la province avec la capitale et les uns avec les autres
".
Ce projet de réseau téléphonique provincial
s'élevait à 1 064 147 64 pesetas et pour présenter
l'avant-projet du Réseau, les officiers du Corps, MM.
Cabrera et Valdés, sont intervenus dans notre capitale.
Lors de la séance municipale du 10 août 1923, "Il
fut convenu, sur proposition du président, d'autoriser
l'installation du service téléphonique dans les
garages de service avec déviation vers la maison du chauffeur
et au cimetière ...".
Dès 1923, on apprend les intentions de
l'ITT, à travers sa participation à la Peninsular
Company, de promouvoir le monopole national de la téléphonie,
comme cela s'est produit après la création du
CTNE l'année suivante.
Mais à Huelva, les améliorations et les nouveautés
du service viennent lentement.
Il faudra attendre le dernier jour de
1930, lorsque ce fut le tour de l'automatisation de la capitale
de la province.
Le fait nous est également raconté dans le Spanish
Telephone Magazine, dans son édition du
premier trimestre de 1931 sur "Automatic
in Huelva"
Par curiosité, nous soulignons l'introduction pompeuse
et exagérée de l'article, dans lequel nous voulons
mettre en évidence les caractéristiques et le
potentiel de la province de Huelva et de son industrie, «qui,
bien qu'occupant géographiquement une extrémité
de l'Espagne, devrait à elle seule occuper un lieu très
privilégié »
Compte tenu de sa richesse
inégalée et des ressources qu'il possède.
Et donc quand on parle de la richesse minière et principalement
des pyrites de cuivre qui sont «suffisantes pour fournir
du cuivre et du soufre à toute l'Europe pendant deux
mille ans».
31 décembre 1930 inauguration du central téléphonique
automatique à Huelva en Rotary
7A
Photos du bâtiment, du répartiteur
et de la salle de l'automatique
Le lendemain, la Province a donné des informations
précises :
"Hier à six heures de l'après-midi, le service
téléphonique automatique a été inauguré.
Le nouveau bureau central a accueilli, invité par la
Compagnie nationale de téléphonie d'Espagne, le
gouverneur civil, M. Serrano Navarro, maire, M. Quintero Báez
, président du Conseil provincial, M. Vázquez
de la Corte, président de la Chambre de commerce, M.
Juan Mascarós Villalonga, président du Comité
des travaux portuaires, M. Domínguez Ortiz, président
de l'audience, M. Mesa, délégué aux finances
, M. Salcedo, lieutenant-colonel de la Garde civile, M. Delgado
García, ingénieur directeur de la compagnie d'électricité
sévillane, M. Muñoz de Vargas, président
de la Chambre de la propriété urbaine, M. Terrades,
président de la Chambre des mines, M. Duclós,
directeur de la société Zafra, M. Brown, représentant
officiel de la société Tharsis, M. Cano Rincón
et de nombreuses autres personnalités et représentants
de la presse.
Au rez-de-chaussée et devant un autel à l'image
de l'Enfant Jésus, le curé de la paroisse M. Guzmán
López a agi, qui a béni le bâtiment et ses
installations.
Puis le directeur du cinquième district, M. Gil Merino,
a prononcé un discours éloquent dont les paragraphes
suivants sont:
"Je dois être celui qui représente la Compagnie
Nationale de Téléphone d'Espagne dans cet acte,
en raison des impératifs du poste. Et bien que cela constitue
pour moi un honneur et une satisfaction très intime,
je le regrette vraiment, et dans la mesure où, malgré
du fait que j'essaye et que j'y mets mon souhait, je ne pourrai
pas exprimer, je ne pourrai pas dire ce que je veux, ni être
au niveau que les circonstances exigent. Par contre, je je suis
extrêmement heureux et très satisfait, car cela
me permet ....
M. Gil Merino a été très applaudi. M. Quintero
Báez a répondu, recevant le service au nom de
la ville, et ajoutant qu'avec une telle amélioration
très importante, Huelva obtiendrait les avantages optimaux
fournis par la communication téléphonique dans
son avance maximale, ce qui représente la multiplication
des gains de temps, coefficient de les activités à
l'uvre sont la base fondamentale du développement
de la vie commerciale et industrielle des peuples.
Il a consacré des éloges effusifs à la
Compagnie nationale de téléphone d'Espagne et
a terminé en la remerciant pour le service perfectionné
qu'elle fournit à Huelva à partir d'aujourd'hui.
De longs applaudissements.
Immédiatement après, le maire, à l'aide
du levier prévu à cet effet, a mis en mouvement
la nouvelle centrale.
Dans un parchemin artistique, M. Quintero Báez a signé
le texte suivant: C'est une grande satisfaction pour moi d'inaugurer
aujourd'hui le service téléphonique automatique
à Huelva, un facteur très important pour la prospérité
de cette belle et historique ville de Huelva. 31 décembre
1930
Après avoir visité les différentes parties
du bâtiment, les invités se sont rendus au rez-de-chaussée
où ils ont reçu un déjeuner splendide,
très bien servi par l'hôtel Colón.
|
sommaire
Aragon, Saragosse, Huesca, Teruel
|
Mars1878, deux ans seulement après
le brevet Bell du téléphone, des tests ont
été effectués à Saragosse.
Une tentative est faite pour communiquer avec Barcelone
via un câble télégraphique de 336 km.
Les tests ont été un échec car la communication
ne fonctionnait que dans un sens.
Deux mois plus tard, d'autres essais se font à Teruel,
où il était possible de transmettre et de comprendre
un «jota» à une distance de 7 km.
En 1878, les premiers postes téléphoniques
ont été mis en vente à Saragosse, et annoncés
dans les journaux :
Source: Diario
de Avisos de Zaragoza, 15 mars 1878, p.11
Le nombre de ventes était très modéré,
tout le monde ne pouvait pas se permettre d'avoir une ligne
privée.
L'une des premieres lignes, enregistrée
dans les registres municipaux de Saragosse en 1885 ,
était pour les industriels Villarroya et Castellano
pour relier leurs bureaux de Saragosse avec leur moulin à
farine, sur les rives de la rivière Gállego.
Meuble
à batterie centrale de 200 abonnés L.M.Ericsson
(1884).
En 1885, un réseau fut installé
dans la capitale Madrid, sous la surveillance de l'Inspecteur
général des télégraphes en Espagne,
mais le prix élevé de l'abonnement, ainsi que
les conditions trop sévères imposées par
l'administration, empêchèrent le téléphone
de prendre de l'extension dans cette ville.
Néanmoins, au commencement de l'année, plusieurs
bureaux téléphoniques furent ouverts à
Madrid dans les rues de San Ricardo, Paseo, de Recoletos,
Don Pedro et Alocha. Ces bureaux furent mis à la disposition
du public
Des réseaux téléphoniques furent également
établis cette même année, à Barcelone
et à Valence, à l'instar de celui de Madrid,
mais ils se développaient avec une extrême lenteur.
L'exploitation, par le gouvernement, des réseaux téléphoniques
en Espagne par le Telegraph Corps, était un obstacle
à leur développement et celui-ci y renonça.
Le service public de téléphonie
urbaine a été définitivement privatisé,
dans le cadre de concessions concédées aux enchères,
par arrêté royal du 13 juin 1886,
L'exposé des motifs qui accompagne ce décret,
se termine ainsi : "L'Etat ayant entre les mains le
service téléphonique, sera un obstacle perpétuel
à son développement, et celui-ci ne pourra jamais
atteindre les proportions exigées par les nécessités
de la vie moderne".
Ce n'est qu'en 1886, que la Direction
générale des télégraphes projeta
à Saragosse, un réseau téléphonique.
Son exploitation est mise aux enchères le 9 septembre
1886, la concession est obtenue par José Gallardo.
La société a été rebaptisé
Urban Telephone Company.
En 1887, l'année suivante, le central téléphonique
de Saragosse est inauguré au deuxième étage
de la rue Canfranc n ° 7. Il comporte deux meubles
manuels de type Sieur d'une capacité de 50 abonnés
chacun. Au démarrage il n'y avait que 15 abonnés.
Le 20 avril 1895, le service interurbain de Saragosse
est inauguré.
Le centre téléphonique interurbain était
situé sur la Calle Cerdán n ° 1, dirigée
par Julio Catalán, du Telegraph Corps.
Particularité : Le service interurbain n'avait
aucun lien avec le réseau urbain, avec son téléphone,
il n'était pas possible d'établir de communication
avec d'autres villes qu'à partir du centre interurbain.
Nous pouvions parler à Madrid mais pas à partir
de notre téléphone personnel, nous devions nous
rendre au centre interurbain pour passer l'appel.
Le téléphone urbain n'était possible
que pour communiquer localement, il n'y avait pas encore de
circuits vers le centre interurbain.
Le service interurbain a commencé à fonctionner
avec Madrid, Barcelone, Pampelune et Vinaroz . Les tarifs dépendaient
de la distance et de la durée. Une conférence
de trois minutes avec Madrid ou Barcelone coûtait environ
2,25 pesetas (le salaire journalier moyen à l'époque
était d'environ 2,50 pesetas).
Nous ne savons pas si l'emplacement de ces centres était
dû à des raisons stratégiques ou si c'était
le hasard et la disponibilité des locaux, mais si nous
regardons ce plan de 1899, nous pouvons voir que le centre urbaine
de la rue Canfranc est situé en pensant à
la la croissance future de la ville, de manière décentralisée.
Cependant, le centre interurbain de la Calle Cerdán
(disparu en 1977) était beaucoup plus central, cherchant
à faire converger les communications avec l'extérieur
vers le centre de la ville. De plus, en le mettant au centre,
l'accès aux installations pour les citoyens était
plus facile.
Agrandir
plan de Saragosse de 1899
sommaire
Seuls les habitants de Saragosse ont pu profiter
du téléphone urbain et interurbain à la
fin du XIXe et au début du XXe siècle, le reste
de l'Aragon ne bénéficiait toujours pas de ce
type de service.
Des lignes secondaires, reliant certains bâtiments au
réseau télégraphique, assuraient le service
téléphonique grâce au prêt de lignes
télégraphiques.
Les statistiques de 1900 nous disent qu'à
Saragosse, la capitale, il y avait huit lignes privées,
une à Tauste (Saragosse) , trois à Calatayud (Saragosse)
, deux à Alcañiz (Teruel) , deux à Huesca
ou Jaca (Huesca).
Des sociétés ont été créées
(enchères) pour accéder à la concession
et l'exploitation du service urbain en Aragon, l'interurbain
a été concédé à la compagnie
de téléphone péninsulaire. Elle s'est également
vue attribuer la construction de lignes internationales.
La Compagnie de Téléphonie
péninsulaire, fondée en 1894 à
Barcelone, a été créée dans
un but très précis, pour obtenir le plus de réseaux
possible. Elle prend le contrôle du réseau interurbain
du Nord-Est, en l'acquérant auprès de la Commercial
Credit Company.
- Période de la dictature de Primo
de Rivera (1923-1930).
Début du système automatique à Saragosse
Pendant le gouvernement militaire de Miguel Primo de Rivera,
une réorganisation radicale du téléphone
a été décidée en Espagne.
À cette fin, le 19 avril 1924 est créée
la CTNE, filiale de la société nord-américaine
International Telegraph and Telephone (ITT), avec laquelle le
gouvernement signe un contrat de monopole de vingt ans.
Août 1924, la CTNE acquiert l'interurbain et les réseaux
urbains de Saragosse, qui appartenaient à différentes
sociétés, et le 5 juin 1926, débuta la
construction, dans le Paseo de la Independencia n ° 35,
du nouveau bâtiment Telefónica
pour abriter lesdits réseaux.
L'Aragon était divisé en deux
zones: les provinces de Saragosse et Huesca
appartenaient au deuxième arrondissement et Teruel
au troisième.
Quelques jours après la création de la Compagnie
Nationale de Téléphone d'Espagne, la nouvelle
entité concessionnaire du service acquiert le 29 août
1924, les réseaux urbains et interurbains de Saragosse.
Il y avait alors 2000 abonnés dans la capitale.
À la fin de 1924, les centres
urbains d'Alcañiz, Albarracín, Alhama
de Aragón, Ariza, Ateca, Barbastro,
Cariñena, Daroca, Jaca, Sariñena,
Teruel et Tarazona ont été intégrés
à Telefónica.
Le 18 novembre, la vente du réseau urbain de Saragosse
au CTNE pour 700 000 pesetas a été enregistrée,
l'usine se poursuivant sur la rue Méndez Núñez
et techniquement au bord de la saturation. Il n'y avait plus
d'extensions.
Les premières actions prévues pour les lignes
téléphoniques en Aragon ont été,
en plus des centres urbains des capitales, l'amélioration
et l'extension des lignes interurbaines. De nouvelles lignes
ont commencé à être construites sur les
routes Lérida - Fraga, Sagunto - Albarracín, Teruel
- Albarracín ou Tudela - Tarazona. Des extensions des
circuits Madrid - Barcelone ont également été
réalisées.
L'arrivée du service téléphonique dans
toutes les villes de la région aragonaise a été
la bienvenue .
À titre d'exemple, il est cité dans la Revista
Telefónica Española 1925, p. 38-39 que, lorsque
le 17 octobre 1925, les habitants de Fraga trouvèrent
les brigades de travailleurs de la CTNE dans leurs rues, ils
improvisèrent tout un programme d'événements
festifs: fanfare municipale, photographies, apéritif
et bénédiction du curé. Quelque chose de
similaire se rapporte à Tarazona cette même année.
En 1926, il y eut une vague d'ouvertures de centraux
téléphoniques manuels ; Zaidin, Osso,
Belver, Albalate de Cinca, Binaced, Selgua.
Aussi des rénovations telles que Caspe, Alcañiz,
Teruel, Cariñena, Barbastro, Ariza ..., pour entreprendre
ces travaux et les suivants, un agrandissement et une modernisation
des réseaux interprovinciaux ont été effectués.
Nombreuses sont les localités qui ont inauguré
le service téléphonique interurbain. Le service
était fourni à partir des centres d'appels que,
normalement, le CTNE installait dans une maison privée
(après un processus de sélection rigoureux) et
étaient gérés par la famille qui l'occupait.
Plusieurs enclaves ont particulièrement profité
de leur situation géographique, comme la Sierra de
Albarracín, Jaca, mais celle qui a eu le plus d'importance
et de croissance était Saragosse, en raison de
son équidistance entre Madrid et Barcelone. Il figurait
dans la liste des villes dans lesquelles le CTNE installerait
un téléphone automatique et réaliserait
les canalisations souterraines de son réseau urbain.
Dans cette province, la morosité démographique
est surtout due à la persistance de forts soldes migratoires
négatifs, qui ont considérablement réduit
la croissance naturelle et ont contribué au vieillissement
de la population qui, à son tour, a fait baisser la natalité.
Tout ce mouvement de personnes a eu sa répercussion dans
l'installation des lignes téléphoniques. Alors
que la demande augmente dans les villes, l'installation dans
les zones rurales est lente. Ainsi, en 1932, deux postes téléphoniques
étaient installés dans les zones rurales, alors
que la capitale de Saragosse comptait en fin d'année
5 242 abonnés. À Huesca et Teruel, il y avait
moins de 200 abonnés. Gardez à l'esprit que le
téléphone n'était pas un bien accessible
à tout le monde, mais plutôt un article de luxe,
de sorte que la plupart des abonnés appartenaient à
des entreprises et à des personnes à fort pouvoir
d'achat. Dans les zones rurales, la chose normale était
d'aller parler à la maison où le centre d'appels
était installé.
Pendant la période 1931-1936, jusqu'au début du
soulèvement qui a conduit à la guerre civile le
18 juillet 1936, la demande de service téléphonique
n'a fait qu'augmenter, mais comme toujours, de manière
irrégulière.
Pendant cette période, cinq stations rurales ont été
inaugurées à Huesca, dans la capitale elles ne
dépassaient pas 400 abonnés. À Teruel,
qui était encore la plus discriminée, aucune installation
n'a été réalisée. Dans la capitale,
les installations ont suivi le rythme que à Huesca et
n'a pas atteint les 300 abonnés. Compte tenu du fait
que de nombreuses lignes sont allées à des entreprises,
le grand bénéficiaire était la capitale
de Saragosse et ses environs. 8 centres supplémentaires
ont été ouverts dans la province et la capitale
de Saragosse a atteint plus de 6 000 abonnés.
La géographie aragonaise était parsemée
de kilomètres de fils nus et de poteaux de toutes tailles,
qui guidaient et soutenaient les fils de cuivre.
sommaire

A droite, carte postale avec photo de la centrale téléphonique
de Villafranca.
La date du 20 août 1920 apparaît au revers, il ne
fait donc aucun doute qu'elle est antérieure à
la création du CTNE.
Selon les archives de la CTNE (1924-1973),
la chronologie de l'arrivée du téléphone
aux villages et villes de la province était la suivante
Province de Saragosse :
1924 Saragosse (septembre) C / Méndez Núñez,
Daroca (septembre) Calatayud (novembre) Alhama de Aragón
(novembre) Ateca (novembre) Cariñena (novembre) Tarazona
(novembre)
1925 Torralba de Ribota (avril) Aniñón
(avril)
1926 La Almunia de Doña Godina (mars) Fuentes
de Jiloca (mai) Caspe (novembre) Alagón (novembre)
1927 Transfert à Saragosse au Central de
Aragón, Paseo de la Independencia (octobre). Inauguration
à Saragosse du service automatique de 3 500 lignes.
Bubierca (août) Terrer (août) El Frasno (août)
Bujaraloz (septembre) Alfajarín (octobre) Casetas (octobre)
Osera de Ebro (octobre) Movera (octobre) Pina de Ebro (octobre)
Gallur (octobre) La Puebla de Alfinden (octobre) Velilla de
Jiloca (octobre) San Juan de Monzarrifar (octobre) Frescano
(décembre) Morata de Jalón (décembre) Mallén
(décembre) Sabiñán (décembre) Borja
(décembre) Épila (décembre) Calatorao (décembre)
Borja (décembre)
1928 Salillas del Jalón (janvier) Villamayor (avril)
Peñaflor (mai) Juslibol (août) Luceni (septembre)
La Almolda (décembre)
1929 Rueda de Jalón (janvier) Murillo de Gállego
(avril) Purroy (juin) Grisel (novembre) Zuera (novembre) Villanueva
de Gállego (novembre)
1930 Pedrola (septembre) Brea de Aragón (octobre)
Ejea de los Caballeros (novembre)
1931 Sos del Rey Católico (mai) Villafranca de
Ebro (décembre)
1932 Malón (juillet) Cetina (décembre)
1934 Monzalbarba (juillet) Embiz de la Ribera (décembre)
1935 Pinseque (janvier) Lumpiaque (janvier) San Mateo
de Gallego (janvier) Magallón (avril) Agón (mai)
Morata de Jiloca (décembre)
1936 Illueca (janvier) Leciñena (janvier) Garrapinillos
(janvier) Perdiguera (janvier) Alcala de Ebro (mars) Remolinos
(juin)
1940 Lucena de Jalón (juin) Sanctuaire de Misecordía
(août) Belchite (septembre) Monreal de Ariza (novembre)
Aguarón (novembre) Almonacid de la Sierra (décembre)
1941 Cosuenda (juin)
1942 Figueruelas (mars)
1943 Jaraba (septembre) El Burgo de Ebro (octobre) Cinquième
(octobre) Fuentes de Ebro (octobre)
1945 Fuendejalón (juillet) Sádaba (août)
1948 Ainzón (janvier) Torrellas (février)
Escatrón (juillet)
1949 Torres de Berrellen (août) Novallas (octobre)
1950 Utebo (décembre)
1951 Paniza (mai) Paracuellos de la Ribera (mai) Villarroya
de la Sierra (octobre) Boquiñeni (octobre) Génisses
(décembre)
...
Province de Huesca :
L'orographie particulière (géographie physique
concernant la description des montagnes) de cette province ainsi
que le grand nombre de villes ont rendu le travail d'installation
des premiers téléphones particulièrement
compliqué.
La concession du service téléphonique dans la
capitale de Huesca était entre les mains de la Peninsular
Company jusqu'en 1924, ou la CTNE prend le relais avec 309 abonnés.
1924 Barbastro (novembre) Huesca (septembre) Jaca (septembre)
1925 Albalate de Cinca (juin) Alcolea de Cinca (juin)
Zaidín (juin) Osso de Cinca (novembre)
1926 Escalona (novembre) Fraga (décembre) Monzón
(décembre)
1927 Candasnos (avril) Castejón del Puente (mai)
1928 La Almunia de San Juan (février) Binefar
(mars) Montesa (mai) Canfranc (juillet) Villanúa (juillet)
Tardienta (septembre) Castejón de Monegros (décembre)
1929 Almudévar (février) Quinzano (avril)
Anzánigo (avril) Plasencia del Monte (avril) Bernués
(avril) Castiello de Jaca (avril) Esquedas (avril) Sariñena
(août) Alcubierre (août) Robres (août) Senés
de Alcubierre ( Août) Sad (août) Hier (décembre)
1930 Tamarite de Litera (décembre)
1935 Alfántega (janvier) Pueyo de Santa Cruz (janvier)
Grañen (janvier) Graus (septembre) Sabiñanigo
(novembre)
1936 Benabarre (août)
1937 Torres del Obispo (janvier) La Puebla de Castro
(janvier) Esplús (juillet)
1940 San Esteban de la Litera (octobre)
1947 Torrente de Cinca (janvier)
1948 Albelda (juillet) Bolea (décembre)
1950 Loarre (septembre) Azanuy (novembre) Peralta de
la Sal (novembre)
1951 Lanaja (mars)
... Huesca encore entièrement en service manuel
...
Province de Teruel
Comme à Huesca, les particularités et les dommages
produits pendant la guerre civile dans cette province ont été
déterminants pour le développement du service
téléphonique. La concession de Teruel capital
en 1924, fut partagée entre l'Etat et le CTNE avec 119
abonnés.
1924Teruel (novembre) Albarracín (novembre) Alcañiz
(novembre)
1925 Castellnou (novembre)
1926 Gea de Albarracín (décembre)
1927 Bezas (mars) Torres de Albarracín (mars)
Bronchales (mai) Monterde de Albarracín (mai) Grecs (mai)
Frías de Albarracín (novembre)
1947 Puebla de Hijar (janvier) Monreal del Campo (août)
Calamocha (août)
1948 Aguaviva (mai) Alcorisa (mai) Alfambra (mai) Aliaga
(mai) Andorre (mai) Báguena (mai) Beceite (mai) Calaceite
(mai) Caminreal (mai) Castellote (mai) Cella (mai) Fuentes Claras
(mai) )) Manzanera (mai) Mas de las Matas (mai) Montalbán
(mai) Mora de Rubielos (mai) La Puebla de Valverde (mai) Rubielos
de Mora (mai) Santa Eulalia (mai) Sarrión (mai) Valbona
(mai) Valdealgorfa (Mai) Valderrobles (mai) Villarquemado (mai)
Utrillas (mai)
1950 Torrijo del Campo (juillet) Écouter (octobre)
1954 Castelserás (octobre)
1955 Albalate del Arzobispo (novembre) Hijar (novembre)
Samper de Calanda (novembre) Urrea de Gaén (novembre)
1956 Burbáguena (juin) Torrecilla de Alcañiz
(juin) San Matín del Río (juillet) Alloza (décembre)
Valjunquera (décembre)
... Teruel encore entièrement en service manuel
Dans la capitale de Huesca, l'automatisation a eu lieu dans
le centre d'Alcoraz en 1956 avec un peu moins de 1000 abonnés
avec un système rotay. Le reste de la province a dû
attendre près de vingt ans, jusqu'à ce que l'automatisation
des années 1970 commence, donc en 1970 c'était
Barbastro, en 1974 Almudevar, Altorricón, Biescas, Binefar,
Campo, Esplús, Panticosa, Tamarite de Litera ont été
inaugurés et Villanúa .
sommaire
L'AUTOMATION EN ARAGON
L'automatisation du téléphone en Aragon ne s'est
pas produite de la même manière que pour les trois
provinces, Saragosse a été automatisé
plus rapidement qu'à Huesca et Teruel.
Cette circonstance était due au fait que la priorité
était donnée à la mise en uvre du
service téléphonique dans les localités
qui ne l'avaient pas, certaines d'entre elles situées
à quelques kilomètres de Saragosse sur des voies
de communication importantes et avec un grand nombre d'habitants.
L'activité de la compagnie de téléphone
était principalement centrée sur eux, comptant
dans ce cas avec la collaboration des conseils provinciaux et
des municipalités bénéficiaires elles-mêmes,
qui fournissaient normalement les locaux où était
installé le standard ou la cabine téléphonique.
En 1927, à Saragosse, le premier central automatique
d'Aragon est inauguré dans le bâtiment de la
Poste, du Téléphone et du Télégraphe.
La partie centrale du bâtiment était destinée
à abriter les équipements de l'entreprise CNTE
et s'appelait Central de Aragón
Pour localiser l'équipement automatique, la mairie a
accordé le site du Paseo de la Independencia
nº 35, terrain qui abritait auparavant le théâtre
Pignatelli. Les travaux ont commencé le 5 juin 1926.
Son emplacement était juste à côté
du bâtiment récemment inauguré du Post and
Telegraph, mais son design moderniste était complètement
différent de celui-ci, il a été le premier
bâtiment de Saragosse à adopter le style d'avant-garde
européenne inspiré par le travail du Bauhaus et
de Le Corbusier.
Le 11 octobre 1927, le centre téléphonique
en Rotary 7 a été
inauguré. Il ne sera arrêté qu'en 1992.
 
Bureau de poste, bâtiment du téléphone
et du télégraphe, env. 1930
A 19 heures, le bâtiment
CTNE à quatre étages et de 935,49 m2, a été
inauguré. Mais malgré les efforts de la société
pour changer les 2248 téléphones existants
en téléphones avec cadran, la commande de matériel
n'est pas arrivée à temps et seules les cabines
téléphoniques et quelques téléphones
furent mis en service ce jour,
Le 30 décembre 1927, le
service automatique de la «Maison téléphonique
de Saragosse», actuellement le centre téléphonique
d'Aragon, a été inauguré. pour 3 500 lignes.
Toutes les autorités de la ville étaient présentes,
des représentants de banques, d'entreprises, ... La bénédiction
de l'équipement automatique (Rotary) a été
donnée par l'évêque de Huesca.
Le gouverneur civil a appuyé sur le bouton qui a démarré
le Système Rotary 7A.
Le système de commutation automatique
était le Système Rotary
7A1, comme resque partout en Espagne.
Il s'agissait d'un système rotatif électromécanique
conçu en 1915 par Western Electric, En raison de leur
grande taille, ces équipements avaient besoin de grandes
salles. Le nouveau bâtiment répondait pleinement
aux exigences et disposait de suffisamment d'espace pour de
futures extensions.

Lorsque l'appel téléphonique était destiné
à un abonné extérieur de la ville il fallait
encore l'intervention d'une opératrice du service interurbain
contrairement aux communiations locales ou tout était
automatique.
Les opératrices du service interurbain étaient
en priorité celles de l'ancien service urbain qui était
maintenat automatique. En revanche, une nouvelle figure ouvrière
est apparue au sein du CTNE qui s'est occupée de la maintenance
des nouveaux automatismes: l'élecro-mécanicien.
Le nouveau système a enthousiasmé les habitants
de Saragosse. C'était plus rapide et plus intime que
auparavant n'était.
Héraut d'Aragon, 30 décembre
sommaire
En 1929, Saragosse comptait déjà
3 600 lignes, la CTNE a commencé à construire
des infrastructures pour développer le réseau
téléphonique: 44 km de conduits, 48 chambres d'enregistrement
et 9,1 km de câbles...
Des réseaux interurbains ont également été
développés qui ont augmenté la capacité
des lignes (nouvelles ou ajoutées aux lignes existantes):
4 circuits Saragosse - Tudela (378 km)
1 circuit Saragosse - Villanueva de Gállego (7
km)
6 circuits Saragosse - Valls ( Cette augmentation des
lignes interurbaines s'est traduite par une augmentation des
postes d'opérateur de services interurbains, notamment
8 nouveaux postes Les téléphones utilisés
à l'époque étaient à batterie locale
ou à batterie centrale
Les téléphones à batterie locale,
appareils classiques et à manivelle, utilisaient encore
des batteries pour l'alimentation du microphone à l'aide
de piles au domicile de l'abonné.
Les téléphones à batterie centrale
fonctionnaient avec le courant fourni par le bureau central
de Telefónica lui-même, ne nécessitant pas
de piles locales ni de manivelle pour faire l'appel, il suffisait
de décrocher l'appareil pour ensuite numéroter.
Ces téléphones utilisés avec le système
automatique.
Les communications entre abonnés de Saragosse étaient
établies sans intervention humaine intermédiaire.
Centre interurbain, 1 rue Cerdan
Le réseau téléphonique aragonais prendra
son envol dans les années 1930.
Le renouvellement des lignes, la modernisation des centrales
ont contribué de manière décisive à
la croissance de l'économie et à son développement.
- Période de la 2ème république
(1931-1936)
Du début du XXe siècle au début des années
1930, jamais Saragosse n'avait connu une telle croissance démographique.
L'intensité du changement économique et social
des premières décennies du XXe siècle,
et tout particulièrement tout au long des années
1920, ainsi que la forte croissance démographique, ont
nécessairement transformé le tissu urbain et l'apparence
des principales villes espagnoles, avec Barcelone, Madrid, Bilbao
et Saragosse en avant-garde, qui avait doublé sa population
entre 1900 à 1930
Le nombre de lignes installées donnait une indication
de la croissance de la ville et de son niveau de vie. Saragosse
en 1932 avec 5 242 abonnés était la
sixième ville en nombre derrière Madrid 51 616
, Barcelone 45 200, Valence 10 664, Bilbao 9 499 et Séville
8 425). Cependant, pour sa population, c'était la cinquième
ville d'Espagne.
La variété de modèles de
téléphones étant très limitée,
ils ont principalement été achetés à
l'étranger ou importés par des marchands.
En raison de sa proximité avec la France, il était
facile de s'aprovisioner auprès de revendeurs.
En 1932, plusieurs services spéciaux
fonctionnaient à Saragosse. En composant deux chiffres
02 - Réclamations
03 - Service d'information
04 - Bureaux CTNE
05 - Service téléphonique
06 - Service interurbain
Tableau
de distribution à batterie centrale Mod.5512 fabriqué
par Standard Eléctrica S.A. (1935)
- Période de la guerre civile (1936-1939)
La guerre civile espagnole (1936-1939) a signifié
un arrêt complet dans de nombreux domaines et même
un revers dans la croissance du téléphone. Pendant
les années de guerre, plus de 80 000 lignes de téléphones
et abonnés ont été perdus en Espagne. la
CTNE a établi des délégations dans les
zones républicaine et nationale. Saragosse est ainsi
devenue un bastion de l'Espagne franquiste contre le républicanisme
du Levant et du centre de la péninsule, et dans l'une
des rares villes industrialisées qui a initialement rejoint
le soulèvement.
L'Aragon, comme de nombreuses régions d'Espagne, a subi
de nombreux fronts de guerre, avec la perte d'infrastructures
(ainsi que de personnes) et son effet négatif sur la
croissance de la téléphonie. L'exception était
la capitale de Saragosse, qui n'était pas l'une des plus
touchées. À la fin de 1939, elle comptait plus
de 6 900 téléphones en service, un chiffre nettement
supérieur à celui existant en 1936, au début
de la guerre. La longue période d'après-guerre,
associée au déclenchement de la Seconde Guerre
mondiale, n'a pas non plus été propice à
la croissance et au développement du service téléphonique.
Des difficultés matérielles et économiques
de toutes sortes ont empêché la fabrication ou
l'importation de matériaux, équipements et appareils.
L'économie de Saragosse a commencé
à profiter des besoins de la guerre. Les industries agroalimentaires,
celles qui ont la plus grande tradition de la ville - farine,
sucre, etc. ont été encouragées pour approvisionner
une grande partie du territoire. De même, des secteurs
tels que le métal, le textile et la chaussure se sont
militarisés et ont atteint une force qu'ils n'avaient
jamais eue jusque-là. A la fin de la guerre, il y avait
218 ateliers de transformation métallurgique à
Saragosse qui employaient 5.850 ouvriers et 560 employés,
ce qui signifiait une légère diminution du personnel
par rapport à la période intensive de guerre,
et pourtant, une augmentation de 2.100 ouvriers par rapport
à ceux qui étaient employés en 1936.
C'était l'époque où les quelques abonnés
qui accédaient au service, après de longues années
d'attente, ne pouvaient choisir qu'entre un téléphone
mural ou de bureau, de couleur noire.
- Période de l'autarcie (1939-1960)
La longue période d'après-guerre, associée
au déclenchement de la Seconde Guerre mondiale, n'a pas
favorisé la croissance et le développement du
téléphone.
L'activité industrielle de Saragosse a souffert du manque
de matières premières et d'énergie et des
multiples problèmes de transport.
Les budgets publics, étatiques et municipaux étaient
sordides et les capitaux privés ont été
retirés et diminués.
La CTNE a également ressenti la pénurie, car,
comme pour toutes les entreprises de l'époque, elle disposait
d'un quota de matières premières.
La tâche de reconstruction des lignes touchées
a commencé en 1940.
À Saragosse, les communications avec la Catalogne et
Valence ont été affectées en raison des
fronts de guerre qu'elles ont endurés (Huesca, Ebro et
Teruel). Ce n'est qu'en 1944 que les travaux de reconstruction
des circuits téléphoniques Saragosse-Valence ont
commencé.
Dans la période 1940-1945, 14 nouvelles stations ont
été inaugurées dans la province de Saragosse,
qui, dans de nombreux cas, ne disposaient que de la cabine téléphonique.
Dans d'autres, l'enregistrement du téléphone était
déjà accompagné de la demande d'un particulier
ou d'une entreprise de services téléphoniques.
Ainsi, à Belchite (1940), après la restauration
du service téléphonique (il a été
détruit pendant la guerre civile, comme toute la ville)
en plus du salon, il y avait un autre téléphone
privé. Et à Figueruelas (1942) il avait, en plus
de la cabine téléphonique, trois autres téléphones
en service.
1939-1945 ces années ont aussi été difficiles
pour les provinces de Huesca et Teruel, pour Telefónica.
Un seul poste téléphonique a été
installé à San Esteban de la Litera (1940), à
Huesca. Malgré cela, le nombre d'abonnés dans
les capitales a continué de croître à un
bon rythme et les abonnés dans les capitales respectives
approchaient les 500 .
La faim, les pannes de courant, les cartes de rationnement et
la rareté des infrastructures routières et de
services résumaient la vie quotidienne d'une grande partie
de la population. Cela n'a pas aidé au développement
du service téléphonique, qui continue d'être
un bien coûteux pour la population.
Il faudra attendre 1945 pour que Saragosse atteigne 10 000 abonnés.
En décembre 1944, alors qu'Estanislao de Urquijo y Ussía
était président du CTNE (1924-1945), des négociations
ont commencé entre le gouvernement et la société
nord-américaine ITT (actionnaire majoritaire du CTNE)
pour la acquisition de ses 318 641 actions.
Ainsi, le 14 mai 1945, le gouvernement nationalisa le CTNE en
achetant les actions ITT. À la suite de cet achat, la
présidence du CTNE a été remplacée
et José Navarro-Reverter y Gomis (1945-1965) est devenu
le nouveau président.
Le 21 décembre 1946, le contrat de concession
a été signé par l'État espagnol
à la Compagnie nationale de téléphone d'Espagne.
Ce fut, sans aucun doute, le coup de pouce définitif
pour le développement des télécommunications
en Espagne, car il impliquait davantage d'investissements dans
la rénovation des infrastructures existantes, dans la
construction de nouveaux bâtiments, l'extension des lignes,
la recherche de nouvelles technologies et dans un engagement
ferme à la communication téléphonique sur
tout le territoire national.
Bien que Saragosse ait été exclue du programme
de reconstruction, puisqu'elle n'était pas particulièrement
punie, elle se développait grâce à des projets
qui étaient en suspens avant le début de la guerre
civile, comme celui de Ciudad Jardín, et à l'initiative
de la mairie de Saragosse qui a réalisé la construction
de maisons dans les quartiers de Miralbueno et Montemolín
(qui ont été remises au personnel administratif)
et plus loin dans les quartiers de Picarral et Las Fuen-tes.
sommaire
C'est à partir des années 50,
lorsque Saragosse a connu un boom de la croissance démographique
et industrielle, lorsque l'utilisation du téléphone
a commencé à se généraliser dans
tous les domaines de la vie de Saragosse.
À Saragosse, entre la ville historique et les quartiers
populaires, il y avait une quantité importante de terrains
non aménagés qui allaient être urbanisés
à l'avenir. Des tranchées ont été
creusées et des câbles ont été installés
pour répondre à la demande croissante.
En 1951 et 1952, le nombre d'équipements automatiques
ont augmentés.
Le réseau interurbain Tudela-Saragosse a été
construit et une liaison haute fréquence a été
établie entre Bilbao et Saragosse.
En 1953, le câble coaxial a commencé à être
posé entre Madrid et Barcelone en passant par Saragosse.
Ce câble a permis la mise en place de 432 communications
simultanées et la disparition progressive de kilomètres
et de kilomètres de fil nu (câble aérien)
de cet itinéraire.
Cette année également, Valla-dolid-Soria-Zaragoza
a été racordé par une ligne avec des poteaux
en fil de fer nu.
Le rétablissement progressif des relations diplomatiques
avec certains pays a aidé le pays en général,
et le CTNE en particulier, à voir comment les restrictions
à l'achat de matières premières étaient
levées, contribuant ainsi à un chemin décisif
vers la reprise économique que connaissait l'Espagne.
Alors que la capitale de Saragosse était
automatisé epuis des années, les autorités
locales des municipalités de Teruel et Huesca, ont exigé
que la société mette à jour le service
téléphonique. La réponse de l'entreprise
a toujours été la même, et a en premier
automatisé les endroits les plus faciles à équiper.
Selon les données des rapports de l'exercice 1946-1950:
À Teruel, 30 postes téléphoniques
ont été installés dans toute la province
et dans la capitale, les abonnés ont atteint 700.
A Huesca, 5 postes téléphoniques ont été
inaugurés dans la province et dans la capitale il y avait
plus de 700 abonnés.
Dans la province de Saragosse, 7 postes téléphoniques
sont inaugurés et dans la capitale le nombre d'abonnés
a dépassé 14 000.
Depuis 1950, l'augmentation de la population
a été continue, mais lentement, étant donné
la structure économique d'une ville comme Saragosse,
qui favorise l'émigration vers les provinces les plus
développées d'Espagne. Ces mouvements massifs
de population de la campagne vers la ville réduiront
la taille de la famille espagnole et donc celle du taux de natalité.
En 1951, le service automatique n'atteignait toujours
pas les capitales provinciales, à savoir: Ávila,
Ciudad, Real, Cuenca, Huesca, Orense, Saint-Sébastien
(jusqu'en 1971, le réseau n'appartenait pas à
Telefónica), Soria et Teruel. Dans la province de Saragosse,
les années 50 ont été prolifiques en termes
de postes téléphoniques.
Dans la période 1951-1960, le service téléphonique
a été installé dans 89 villes et le service
automatique a été inauguré à Calatayud
en 1954.
En 1953 la capitale de Saragosse atteint, 20 000 lignes,
et la province de Huesca avec 83 nouvelles stations.
En 1954, la construction et l'inauguration de la base aérienne
américaine a été effectuée à
Saragosse et pour assurer le service de ses communications,
un équipement automatique Rotary
7D et deux postes d'opérateur manuels ont été
installés.
Des lignes téléphoniques ont été
installées et son entretien a été assuré
conjointement par le personnel militaire américain et
le personnel de Telefónica.
À partir du milieu des années 50, Saragosse a
connu une croissance démographique, économique
et industrielle plus intense.
En 1955, la ville comptait 247 200 habitants et 22
519 abonnés au téléphone.
Une ligne de poteaux de câbles aériens Saragosse-Bilbao
a été construite.
Un système à trois canaux a été
mis en service sur l'axe Madrid-Saragosse et le tronçon
Madrid-Saragosse a été complété
par 24 circuits coaxiaux sur l'axe Madrid-Saragosse-Barcelone.
En raison de l'augmentation de la population, pour le centre
Rotary de Aragón 3000 lignes ont été
ajoutées en 1956.
La ligne coaxiale Madrid-Saragosse-Barcelone avec 252 circuits
a été achevée.
En 1957, 4000 lignes ont été agrandies et le centre
d'Aragon a commencé à manquer d'espace pour accueillir
plus d'équipements et donc plus de lignes.
Cette concentration a dû être décentralisée
et pour cela il a fallu construire d'autres centres pour alléger
la situation.
D'autre part, et également cette année, Telefónica
a lancé le plan de construction de logements sur tout
le territoire national. Ils ont été offerts aux
employés de CTNE et l'entreprise leur a également
accordé un prêt pour leur achat.
En 1958, 108 circuits ont été ajoutés sur
le coaxial Madrid-Saragosse-Barce-Canvas. Le service téléphonique
taxé au temps de conversation a été mis
en place à Saragosse. Lorsque la communication était
interurbaine, le responsable du calcul du temps de parole devait
également connaître la distance (en ligne droite)
entre les centres où la communication était établie,
car le taux variait en fonction de la distance.
3000 lignes ont été ajoutés au centre d'Aragon.
144 circuits coaxiaux et haute fréquence Madrid-Saragosse-Barcelone
ont été installés sur les lignes Saragosse-Saint-Sébastien
(60 circuits), Saragosse-Irun (24 circuits) et Saragosse-Valence
(12 circuits).
- Les années de développement (1960-1975)
LA DÉCENTRALISATION DU RÉSEAU TÉLÉPHONIQUE.
Dans les années 60, l'Aragon reste une province d'émigrants,
Huesca et Teruel continuent de se dépeupler
et Saragosse, qui accueille une grande partie de ce mouvement
migratoire, s'agrandit de plus en plus.
Ainsi, ce déséquilibre est clairement observé
lorsque l'on compare trois périodes différentes
de la population aragonaise : la population de Saragosse représentait
19% de la population d'Aragon après la guerre civile,
puis 27% en 1960 pour passer à presque la moitié,
- 46% - en 1975.
De 1960 à 1970, la population urbaine de Saragosse
a connu la plus forte croissance absolue et en pourcentage de
toute son histoire, et également au cours de cette décennie,
l'économie aragonaise a connu le stade de la plus grande
expansion et des changements structurels tout au long de son
histoire, avec l'industrie agissant, en particulier le le secteur
de la métallurgie, moteur de cette croissance.
En 1960, Saragosse comptait 326 316 habitants et en raison de
la demande croissante, 600 lignes supplémentaires ont
été ajoutées au centre téléphonique
d'Aragon, la laissant à la limite de sa capacité
totale.
Un événement très important a été
l'inauguration de la liaison automatique Madrid-Saragosse-Barcelone,
ainsi, au début des années 60, les abonnés
de ces trois villes n'avaient plus besoin de l'intervention
d'un opérateur, l'appel était automatiquement
dirigé vers sa destination.
Au cours de ces années, l'impulsion économique
et industrielle s'est renforcée lorsque les pouvoirs
publics ont accordé à la ville le statut de pôle
de développement, qui prévoyait cinq points de
concentration industrielle: la zone de Cogullada; la Chartreuse
Route de Baja et Castellón; le quartier de la Chimie,
vers l'Almozara; la route de Logroño (Utebo et Casetas)
et la région de Valdespartera.
Si la réalité n'a pas tout à fait répondu
aux attentes initiales, la croissance du secteur industriel
de Saragosse a été supérieure à
la moyenne espagnole et a été soutenue par l'industrie
métallurgique, suivie de la construction, de la chimie,
du ciment, des arts graphiques, ... (Tudor, CAF, Balay, Giesa,
Taca, Tusa, Alumasa ...).
Les quartiers traditionnels se sont également développés
et étendus, tels que Delicias, Las Fuentes ou San José.
De nouveaux quartiers apparaissent, souvent constitués
de cabanes, comme La Paz ou La Bozada. Pendant ce temps, de
grands travaux ont été réalisés
tels que le pont de Santiago, la transformation du Paseo de
la Independencia, le Paseo de Pamplona, l'avenue Goya ou la
promenade Fernando el Catolico.
Le terrain constructible entre le centre traditionnel et les
quartiers a été un moteur de l'économie
de l'époque. Ses destinataires étaient les classes
moyennes de plus en plus nombreuses. Etroitement liée
à ces transformations, la société de consommation
a émergé et les journaux se sont remplis de publicités
pour les machines à laver, les voitures, les nouveaux
produits alimentaires, etc.
Dans les années 1960, l'expansion du nombre de centraux
téléphoniques à Saragosse était
déjà un événement incontournable.
En 1961, rue Tomás Bretón, l'installation de l'équipement
automatique Rotary de 4 000 lignes a commencé au siège
de Bretón et le 16 décembre, il a été
inauguré et mis en service, desservant Ciudad Jardín,
Romareda, Casablanca et une partie du secteur Fernando el Católico.
neas dans la centrale électrique d'Aragon, mais pour
améliorer la communication, car elle a raccourci la longueur
des câbles qui desservaient cette zone (la longueur de
ceux-ci affectait la qualité des communications).
La connexion automatique entre Saragosse et Lleida a été
établie. La ligne coaxiale Madrid-Saragosse-Barcelone
a été augmentée de 240 circuits et les
systèmes haute fréquence ont été
renforcés sur les liaisons Saragosse-Saint-Sébastien,
Saragosse-Bilbao et Saragosse-Logroño.
En 1962, les circuits coaxiaux Madrid-Saragosse-Barce-Canvas
ont de nouveau été étendus et les systèmes
haute fréquence des routes Saragosse-Alcoy, Saragosse-Saint-Sébastien,
Saragosse-Bilbao et Saragosse-Pampelune ont été
renforcés.
En 1963, 3 000 lignes sont agrandies à l'usine
bretonne. Une liaison radio a été mise en service
sur les liaisons Madrid-Saragosse et Saragosse-Barcelone. Des
systèmes haute fréquence ont été
installés sur les routes Saragosse-Bilbao, Saragosse-Vallado-lid,
Saragosse-Saint-Sébastien et Saragosse-Soria.
Cette même année, le 7 décembre, le centre
de Torrero de 3000 lignes a été ouvert rue Lapuyade
à Saragosse, avec un équipement rotary automatique
et desservant le quartier de Torrero et ses environs.
L'année suivante, le 5 décembre 1964, la centrale
de Paúl est inaugurée avec 4000 lignes, rue San
Vi-cente de Paúl, avec un équipement automatique
rotary, desservant une partie du centre historique et la rive
gauche de l'Èbre.
Cette année également, le réseau interurbain
automatique entre Saragosse et Calatayud a commencé à
fonctionner (qui avait été automatisé en
1954). En outre, trois groupes de 12 canaux ont été
installés sur la ligne coaxiale de la route Madrid-Saragosse
et quatre à Saragosse-Barcelone, et des systèmes
haute fréquence ont été installés
sur les lignes Saragosse-Bilbao, Saragosse-Huesca et Saragosse-Saint-Sébastien.
itinéraires.
Une autre nouvelle centrale a été inaugurée
à Saragosse pour offrir un meilleur service à
ses citoyens, ainsi le 29 octobre 1966, la centrale Delicias
a été inaugurée dans l'avenue de Madrid
desservant le quartier Deli-cias, le quartier Oliver et ses
environs.
C'est vingt-sept ans plus tard, en 1954, que
fut mise en service la station automatique de Calatayud (Rotary
puis P-1000), la première de la province et la seule
depuis de nombreuses années, à l'exception de
la capitale.
Près de vingt autres années s'écouleront
avant que les prochaines automatisations ne soient produites,
la priorité étant donnée à l'extension
du service aux villes qui ne l'ont pas.
En 1970 (Villamayor et Juslibol) et 1971 (Casetas), ont été
connectés aux centrales de la capitale, assurant ainsi
un service automatique.
C'était en 1972 et 1973, lorsque les nouvelles centrales
automatiques de Mallén (PC-32) (27/12/1972), Ejea de
los Caballeros (P-1000) (15/09/1973) et La Almunia de Doña
sont arrivées, mise en service Godina (PC-32) (18/12/1973).
En 1975, la centrale automatique (PC-32) de Sádaba a
été mise en service.
Pendant les années restantes, l'automatisation du reste
de la province a été réalisée jusqu'en
1988, la dernière (la dernière en Espagne) a été
réalisée à Jaulín (Saragosse), dirigée
pendant plus de 30 ans par Pilar Villuengas.
Dans ce cas, un nouvel équipement automatique Crossbar
appelé Pentaconta (spécifiquement
Pentaconta-1000) a été installé.
Ces équipements étaient des entres électromécanique
à barre croisées et offraient une plus grande
vitesse et élasticité dans l'acheminement des
appels. Ce système à été largement
utilisé pour moderniser toute l'Espagne.
En effet, une installation expérimentale a été
réalisée avec du Pentaconta-500 à
Barcelone pour relier Saragosse à Madrid au sein du 1er
réseau automatique interurbain espagnol .
Le système Rotary est, sans aucun doute,
le système d'exploitation que Telefónica ait eu
le plus longtemps en service.
Par exemple, le centre automatique d'Aragon a été
inaugurée le 11 octobre 1927 avec le système
Rotary 7 et a été démantelée
en 1992 et sera remplacée par du Pentaconta (déjà
équipé d'unités de contrôle semi-électroniques).
Puis, au fur et à mesure que les
villes grandissent, d'autres centrales ont été
créées:
Central de Aragón, Pº de la Independencia
(10/11/1927) Rotary System et en 1992 Pentaconta
Central de Bretón, C / Bretón (16/12/1961).
Système rotatif et à la fin des années
80 Pentaconta.
Central de Torrero, C / Génova (07/12/1963). Système
Rotary et Pentaconta dans les années 90.
Central de Paúl, C / San Vicente de Paúl
(12/05/1964). Système Rotary et Pentaconta dans les
années 90.
Central de Delicias, Avda. De Madrid (29/10/1966). Système
Pentaconta.
Central de Montemolín, C / Monasterio San Martín
de Cillas (12/02/1972). Système Pentaconta.
Central de Miralbueno, Parc industriel «El Águila»
(30/12/1976) Système Pentaconta.
La création de centraux sur la rive gauche de l'Èbre
a été excessivement retardée par rapport
aux besoins de la demande réelle du service, car les
plans d'urbanisme correspondants n'ont pas été
finalisés dans les années 1970, et l'acquisition
de parcelles avec un emplacement adéquat n'a pas été
possible.
sommaire
1970 Le SYSTEM PC · 32, Ce système
a été utilisé massivement, à partir
des années 70, dans les zones rurales où les lignes
installées ne nécessitaient pas un système
plus grand. C'était un équipement crossbar (comme
le Pentaconta), modifié par Standard Eléctrica
à Madrid.
Il était de moindre capacité, donc dans notre
communauté, il était utilisé dans la grande
majorité des villes de moins de 10 000 habitants.
Il a été démantelé à partir
du milieu des années 90 et remplacé par du matériel
numérique.
En 1967, les premières cabines téléphoniques
publiques ont commencé à être installées
à Saragosse. Au début, elles ne pouvaient être
utilisées que pour les appels urbains et fonctionnaient
au moyen de cartes spéciales. Très vite, en 1968,
les dispositifs à jetons ont été remplacés
par d'autres qui acceptaient les pièces.
En 1970, les villes de Villamayor et Juslibol ont été
reliées au centre de Saragosse. La connexion automatique
entre Saragosse-Soria et Saragosse-Castellón a été
établie. Une liaison radio entre Saragosse-Pampelune,
Saragosse-Lleida et Saragosse-Barcelone est devenue opérationnelle.
En 1971, les abonnés de Casetas ont été
connectés au réseau de Saragosse.
Le 18 juillet, les services spéciaux 095, RNE news et
097, information sportive, sont mis en place.
Comme dans les années 60, dans les années 70,
de nouvelles centrales faciliteront une meilleure communication
avec Saragosse.
Ainsi, le 2 décembre 1972, le centre de Montemolín
a été inaugurée avec le système
Pentaconta-1000, desservant les zones de San José, La
Paz et ses environs.
Cette même année également, le 29 juin,
le service spécial 094 d'information météorologique
a été mis en place et la liaison radio Saragosse-Alcañiz
avec 600 canaux a été installée.
Quant à la communauté aragonaise, en 1973, Teruel
fait partie du réseau automatique national auquel appartiennent
déjà Huesca (1972) et Saragosse (1960).
De même, en 1973, Aragón était semi-automatisé
avec Saragosse.
L'augmentation des postes téléphoniques due à
la commercialisation du - deuxième téléphone
à la maison - a entraîné l'ouverture d'un
atelier de fabrication et de réparation d'appareils dans
la zone industrielle de Malpica.
Les machines de Saragosse, Huesca, Teruel et Soria ont été
envoyées à cet atelier. Au cours de sa première
année, il a été fabriqué 100 000
unités.
Le 1er juillet 1975, le service spécial 092, Police municipale,
a été créé. L'économat des
salariés a été inauguré rue Doce
de Octubre.
Dans l'atelier de fabrication et de réparation de la
zone industrielle de Malpica, 200 000 unités ont été
réparées, 4 400 téléphones à
pièces (cabines) et 4 200 téléphones modèles
Estilo ont été installés.
Pour terminer ces trois premiers quarts du XXe siècle
avec la décentralisation téléphonique à
Saragosse, on peut mentionner qu'en décembre 1976 la
station Miralbueno a été inaugurée, avec
le système Pentaconta-1000, initialement appelé
Casetas-Utebo qui, situé dans la zone industrielle «El
Águila», desservait Casetas, Utebo et leurs environs.

L'une des actions d'urbanisme les plus importantes
a été la création du quartier Actur, sur
la rive gauche de l'Èbre.
Le Plan ACTUR (Actions URbanístic URgentes) était
une modalité d'urbanisme de l'État pour les actions
urgentes de l'INUR (Institut national d'urbanisation) , pour
procédure d'expropriation en points conflictuels, pour
corriger la forte augmentation démographique et le manque
de logements à partir des années soixante. La
zone d'action urgente de développement urbain "Pont
de Santiago" à Saragosse a été créée
par le ministère du Logement en juillet 1971. Elle est
entrée dans le quadrant nord-ouest de la ville, occupant
les vergers situés entre l'autoroute A-2, l'Èbre
rivière et les constructions du parc industriel de Cogullada
et El Arrabal. Enfin, la ville a réussi à intégrer
la rive gauche de l'Èbre dans son développement
résidentiel, un espace que deux mille ans d'histoire
n'avaient pas réussi à intégrer à
la ville traditionnelle, dont la croissance jusque-là
avait toujours été orientée vers le sud.
les centrales électriques de la rive gauche de l'Èbre
ont retardé excessivement les besoins de la demande réelle
du service, car les plans d'urbanisme correspondants n'ont pas
été finalisés dans les années 1970
et l'acquisition de terrains n'était pas possible. avec
un emplacement approprié.
Pour conclure cette étude sur le développement
du téléphone dans la capitale aragonaise, on peut
affirmer que Saragosse a bénéficié de sa
situation géographique stratégique et a été
à la pointe pour tirer parti des avancées technologiques
de la téléphonie.
La population et les entreprises ont été les grands
bénéficiaires et le téléphone a
contribué au développement et à la modernisation
de la ville.
De toutes les périodes indiquées, les quinze dernières
années de cette étude représentent une
telle augmentation du service téléphonique que
son nombre d'abonnés a presque quintuplé.
Concernant l'automatisation interurbaine, Saragosse
et sa province ont communiqué directement (abonné-abonné)
avec les 49 provinces restantes, depuis le 3 août 1974.
1975: Inauguration des centres automatiques à
Sádaba (Saragosse), Ansó (Huesca),
Ayerbe (Huesca), Fraga (Huesca), Graus
(Huesca), Grañen (Huesca), Hecho (Huesca),
Sallent de Gallego (Huesca), Sariñena (Huesca).
La population de Saragosse en 1975 était de près
de 550 000 habitants et elle disposait de 164 550 lignes téléphoniques.
Un ratio proche de 30 lignes pour 100 habitants.
L'Espagne, avec une population de 35.400.859 habitants et 7.835.900
lignes téléphoniques, avait un ratio d'un peu
plus de 22 lignes pour 100 habitants
|
sommaire
Les zones rurales représentaient un environnement
à faible rentabilité pour les systèmes de communication
automatique traditionnels, qui a été couvert par le
système pentaconta PC-32.
En 1953, F. Gohorel, de la Compagnie Générale de
Constructions Téléphoniques (un associé d'ITT
à Paris) a conçu le système Pentaconta qui dans
les années 1960 sera adopté par la Compagnie Nationale
de Téléphone d'Espagne pour de nouveaux échanges
et pour le remplacement du systèmes Rotary. Une installation
expérimentale a été réalisée à
Barcelone.
Le système Pentaconta a été fabriqué par
Standard Eléctrica à Madrid dans ses différentes
versions, dont une pour les réseaux ruraux appelée PC32.
Et il a été un élément clé de la
modernisation du réseau espagnol où il a été
largement appliqué.
Plus tard, à la fin des années 70,
les systèmes AR de LM Ericsson ont également été
introduits.
L'équipement Crossbar avait une autre utilisation pertinente
dans les centraux télex dédiés à la commutation
entre les lignes télégraphiques qui utilisaient des
télétypes comme équipement terminal. L'essor
de ce dernier a coïncidé avec la technologie Crossbar
et les équipements de commutation existants, en général
les systèmes Step by Step, ont été rapidement
remplacés.
PENTACONTA PC-32
|
Adaptation au réseau automatique
espagnol
En juillet 1967, la Compagnie nationale de téléphonie
espagnole (C.T.N.E.) a lancé un appel d'offres
public visant à automatiser le téléphone
dans les zones rurales espagnoles. peut être étendu
jusqu'à 3000 lignes en utilisant des échanges
multi-blocs.
Les bases techniques auxquelles les systèmes téléphoniques
proposés devaient se conformer étaient reflétées
dans un document de C.T.N.E. intitulé «Spécification
des centrales automatiques rurales».
- Le système PC-32, spécialement développé
par plusieurs entreprises ITT en collaboration, pour répondre
aux demandes posées par les zones rurales, était
dans d'excellentes conditions pour concurrencer avec succès
tout autre système rural, puisque SESA-Madrid, d'une
part, était l'un des entreprises ITT qui ont collaboré
à son développement et, d'autre part, il avait
une connaissance approfondie des problèmes du réseau
espagnol, basée sur l'expérience acquise par la
fabrication et l'installation des systèmes Rotary et
PC-1000 qui fonctionnent en Espagne.
- Le système PC-32 no ~ 610 pouvait être parfaitement
adapté au réseau espagnol, offrant l'une des meilleures
installations et le meilleur degré de service, mais aussi,
entre autres, les avantages suivants:
- Équipement d'installation rapide et facile car ses
unités sont totalement enfichables, petites et faciles
à utiliser.
- Faible coût d'installation.
- Temps de conservation minimum, il peut y avoir des panneaux
de contrôle sans surveillance avec les dispositifs nécessaires
pour transférer les alarmes vers des panneaux de contrôle
supérieurs surveillés.
Les versions précédentes couvraient de manière
satisfaisante les besoins normaux des zones rurales, en termes
de nombre de lignes (abonnés et liaisons) et de capacité
de trafic.
Cependant, étant donné la possibilité d'avoir
des centres à fort trafic et un nombre de liaisons supérieur
à la normale, SESA-Madrid a développé une
nouvelle unité de sélection qui utilise les mêmes
composants que les versions précédentes et dont
l'objectif est de permettre un trafic de sortie et connexion
d'un grand nombre de liens. En raison de sa configuration et
de son objectif, cette unité est appelée le bloc
de liaison.
Le Link Block a été conçu pour coexister
avec les blocs normaux, les déchargeant de tout le trafic
sortant 288 liaisons peuvent y être connectées,
réparties sur les 21 itinéraires possibles qu'elle
prévoit.
Planification du réseau téléphonique
de Navarre
La province de Navarre a été la première
en Espagne dans laquelle des centrales PC-32 ont été
installées pour automatiser le réseau provincial.
Auparavant, la configuration du réseau provincial de
Navarre était celle illustrée à la figure
1.
 
Le CAP (Central Automatic Provincial) était le centre
principal de la province, il appartenait au système PC-1000,
et sa fonction était d'acheminer le trafic provincial
en provenance des centres urbains de Pampelune (CU-1) vers d'autres
villes de la province, avec panneaux de commande automatiques
PC-1000 (CU-2) ou avec panneaux de commande manuels.
À la suite du concours, le système PC-32 a été
choisi, devenant l'initiateur de l'automatisation massive des
zones rurales en Espagne.
Fondamentalement, le système proposait deux versions.
a) Les commutateurs à un étage, conçus
pour fonctionner comme des commutateurs satellites d'un principal,
avec un maximum de 128 lignes.
b) centraux à deux étages, ou normaux, qui pourraient
être utilisés comme centraux principaux ou dépendant
d'un autre central principal, avec un maximum de 768 lignes
par bloc.
Entre les deux versions, il a été possible de
couvrir l'éventail des échanges urbains avec des
capacités comprises entre 32 et 768 lignes en central
monobloc.
Dans le processus d'automatisation de Navarra, le passage de
la configuration de la figure 1 à la figure 2 a été
effectué en couvrant certaines étapes intermédiaires.
Dans la première phase, des centrales PC-32 ont été
installées, qui deviendraient à l'avenir CS, étant
constituées en centres urbains, de la même manière
que le PC-1000 (CU-2) déjà existant.
Ces premiers centraux ont remplacé les CM-2 existants,
ne transportant pas de trafic automatique vers CT, et ont été
connectés au CAP.
Dans la deuxième phase, l'installation de TC pour remplacer
le CM-3 a commencé, commençant également
l'installation des organes nécessaires dans les usines
PC-32 déjà installées, de sorte qu'elles
sont devenues Sector Centrals (CS -3) avec la possibilité
de transporter le trafic des TC qui en dépendrait. Les
CS installés étaient de la version PC-32 à
deux étages et des TC à un ou deux étages,
selon le cas.
Dans la troisième phase, les CU-Centrals du système
PC-1000 sont devenus des Sector Centrals (CS-2) grâce
à l'installation des organes nécessaires pour
acheminer le trafic de transit en provenance des TC qui leur
sont connectés.
Dans la quatrième phase, le CAP est devenu un Centre
de Transit Sectoriel (CS-1) avec connexion aux TC près
de Pampelune, après avoir transféré ses
services au nouveau CAI.
Interconnexion entre les commutateurs de terminaux et de secteur
Normalement, les connexions entre CS et CT sont à 2 fils,
en raison de la proximité entre ces commutateurs. Dans
ces connexions, il y a de la place pour la signalisation de
ligne de courant continu afin de réduire la complexité
requise pour installer ces lignes. Dans les cas où ces
commutateurs sont situés à une plus grande distance
les uns des autres, des connexions à 4 fils ont été
utilisées avec des systèmes multicanaux, donnant
la préférence à la signalisation «hors
bande».
Quelle que soit la signalisation de ligne utilisée, l'interconnexion
entre les TC et les CS a été réalisée
par des liaisons bidirectionnelles, en raison de la fluctuation
du trafic entre ce type de centraux ruraux, permettant ainsi
une plus grande rentabilité des lignes.
La signalisation de ligne a également été
utilisée pour envoyer le message du CS au CT.
Le système de facturation utilisé est le système
Karlsson, les impulsions de comptage étant transmises,
au cours de la conversation, à intervalles réguliers,
au compteur d'abonné à l'origine de la communication
dans le TC. La durée des intervalles entre les impulsions
varie inversement avec la distance, à partir du décrochage
de l'abonné appelé. La conversation n'est pas
perturbée par l'envoi des impulsions de calcul grâce
aux filtres spéciaux qui sont équipés sur
les liens. Avec l'élimination des chargeurs dans les
TC (à l'exception du comptage local), non seulement une
économie d'équipement considérable est
réalisée, mais simplifie également les
analyses dans les traducteurs.
En ce qui concerne la signalisation pour le contrôle des
sélections, le système PC-32, à l'aide
des émetteurs et récepteurs appropriés,
peut échanger des informations avec n'importe quel autre
système, ce qui se traduit par une grande flexibilité.
En ce sens, la signalisation utilisée entre les TC d'une
capacité supérieure à 100 abonnés
et le CS a été celle du système Socotel
Multifrecuewia, qui est celui utilisé en Espagne, et
entre le reste du TC et le CS a été directe. impulsions,
à travers la signalisation de ligne.
Conservation
En raison de la constitution des secteurs (Fig.2) et de la grande
prolifération des CT, dont certains avec un nombre réduit
de lignes, la conservation de l'ensemble du secteur est centralisée
dans le CS, qui à ces fins est considéré
comme desservi central et des TC centraux sans surveillance.
Les solutions techniques utilisées dans le réseau
de Navarre pour rendre possible cette forme de conservation
reposent principalement sur les points suivants:
- Transfert des alarmes vers un panneau de commande à
distance. Dans les TC, le transfert des alarmes vers le CS a
été prévu, l'informant, non pas ~ 610 si
l'alarme est urgente ou non, mais aussi la cause qui l'a motivée.
- Test à distance. Les TC ont également été
préparés pour les tests à distance qui
peuvent être effectués à partir du CS.
Afin de ne pas utiliser de lignes exclusivement dédiées
à ces installations, utilisez, avec les précautions
nécessaires, des lignes déjà utilisées
pour la connexion entre les liaisons des deux centraux.
Le temps de conservation des Centrales du système PC-32
est estimé à 20 minutes par ligne et par an. Pour
vérifier l'exactitude de ce temps théorique, CTNE
et SESA ont mené conjointement des tests dans le secteur
Alsasua, constitués d'un CS (600 lignes) et de 4 TC (410
lignes).
Un programme de maintenance a été réalisé
pour évaluer le personnel requis. Le résultat
fin, obtenu présentait un écart inférieur
à 5%, ce qui peut être considéré
comme très satisfaisant.
Interconnexion du CS avec le CA1 6 CAP
L'interconnexion du CS, d'abord avec le CAP puis avec le CAI,
a été réalisée sur 4 fils, avec
signalisation ligne à 2500 Hz ou «Out of band»
selon les cas.
Les liaisons utilisées sont unidirectionnelles, car le
trafic entrant et sortant ne fluctue pas excessivement, car
tout le trafic du secteur est concentré. Les liaisons
sortantes sont prêtes à générer le
décompte de tous les appels provenant du secteur. Les
impulsions de comptage sont envoyées directement aux
compteurs d'abonnés, dans les appels d'origine au CS
lui-même, ou aux liaisons bidirectionnelles connectées
au TC, dans les appels en transit.
La signalisation utilisée pour contrôler les sélections
entre CS et CA1 ou CAP est SOCOTEL Multi-fréquence.
Adaptation aux nouveaux services introduits
dans le système
Le système PC-32 a réussi à résoudre
son adaptation aux exigences ou aux services demandés
par les administrations: introduction dans les réseaux
SXS avec numéros ouverts ou fermés, observation
des abonnés, blocage d'urgence, routes alternatives,
etc.
Parmi ceux demandés par le CINE, pour leur introduction
dans les réseaux automatiques ruraux en Espagne, les
suivants méritent d'être soulignés:
a) Rétention et supervision de l'abonné appelant
Dans les appels dirigés vers certains services spéciaux
locaux ou distants, le contrôle de la communication passe
de l'abonné appelant vers l'appelé, l'appel étant
maintenu à volonté de ce dernier et recevant,
le cas échéant, les indications correspondant
à l'état décroché ou raccroché
de l'abonné appelant.
b) Introduction de lignes partagées avec ou sans «télé-taxe»
Dans le processus d'automatisation, il reste quelques très
petits centres de population, pour lesquels la mise en place
d'une ligne par abonné avec le central automatique n'est
pas rentable. Ce problème est résolu en utilisant
des lignes partagées.Le système PC-32 permet l'utilisation
de la même ligne pour deux abonnés proches l'un
de l'autre, offrant la possibilité que chacun d'eux puisse
passer et recevoir des appels comme n'importe quel abonné
du central, même avec celui qui partage votre ligne.
Le débit des appels émis par chacun de ces abonnés
est enregistré dans des compteurs indépendants
et, au moyen d'adaptateurs de télécopie de 12
kHz, le calcul peut être enregistré dans le centre
d'origine de l'appel.
c) Intégration au réseau automatique international
Il est prévu dans un proche avenir d'intégrer
les réseaux ruraux au réseau automatique international.
Comme première solution, pour assister à ces services,
dans certains cas, des Centres de Transit Internationaux (CTI)
seront installés et dans d'autres, une chaîne spéciale
dans les CA1 existants. L'abonné qui, dans un PC-32 Sector
Central veut se connecter au réseau automatique international,
composera un préfixe pour sélectionner un lien
sortant spécial vers CA1 ou CTI. De là, un code
de signal MF sera envoyé que l'expéditeur CS interprétera
pour envoyer une nouvelle tonalité $ 00 Hz à l'abonné
appelant. Les chiffres composés par l'abonné passeront
sans mémorisation directement à l'émetteur
MF, qui se chargera de les envoyer avec la séquence de
l'abonné.
Lorsque l'abonné appelant correspond à un terminal
central PC-33, il composera également le préfixe
d'appel international, en sélectionnant une liaison sortante
normale avec le CS. Dans l'échange de signalisation MF
entre le TC et le CS, ce dernier recevra une indication d'appel
international, qui lui fera sélectionner une liaison
sortante spéciale vers le CT1 ou CAI, en continuant comme
dans le cas précédent.
Avec la procédure décrite, on évite d'étendre
les banques de relais de stockage de chiffres dans les registres
actuellement en service dans les centraux ruraux, de sorte que
la procédure est très économique.
Cependant, bien que le type d'interconnexion décrit soit
satisfaisant, d'autres procédures peuvent être
utilisées pour éviter la deuxième tonalité
à l'abonné et l'envoi séquentiel des chiffres,
en fonction de la vitesse de numérotation de l'abonné.
Pour cela, le système PC-32 n'offre pas d'autres problèmes
que ceux de la mémorisation du nombre de chiffres requis,
des analyses dans les traducteurs et de la préparation
des émetteurs et liaisons appropriés, car il a
la facilité d'identification du abonné appelant,
nécessaire pour l'enregistrement automatique des communications
(«péage»).
Conclusion
Le développement industriel et commercial des zones rurales
nécessite un développement parallèle des
moyens de communication.
En particulier dans le domaine de la téléphonie,
il est nécessaire non seulement de créer de nouveaux
centres automatiques, mais aussi le remplacement de centres
manuels afin que les abonnés des zones rurales puissent
disposer des mêmes installations que les abonnés
urbains.
Il est donc nécessaire de remplacer les installations
mal adaptés aux besoins de l'heure actuelle et à
mettre en uvre de nouveaux moyens de communication en
fonction du développement de ces régions.
Le système PC-32 est spécialement conçu
pour résoudre cette situation, en la montrant, près
de de 400 centre de ce type installées en Espagne entre
1969 et 1972.
|
En octobre 1973, Standard Eléctrica, S.A.,
a remis à l'administration espagnole (Compañía
Telefónica Nacional de España) le nouveau central
Pentaconta de Madrid-Jordán, avec un total de
40 000 lignes d'abonnés; 30 000 d'entre eux ont été
utilisés pour remplacer l'ancien centre, équipée
d'un système Rotary 7 A. Ce centre ne est situé dans
le centre de Madrid et a un régime de trafic élevé.
Il est équipé de 4365 liaisons sortantes et de 4626
liaisons entrantes, ce qui permet à ses abonnés urbains
d'établir une connexion avec les centraux Pentaconta @ et Rotary,
ainsi que des centraux tandem, des centres automatiques interurbains,
internationaux et interurbains.
En 1975, c'étaient Ansó, Ayerbe, Fraga, Grañen,
Graus, Sallent de Gállego et Sariñena. Tous avec
en systèmes Pentaconta
ou PC-32.
En 1959, le centre automatique Rotary de San Francisco est inauguré
à Teruel.
C'était la dernière capitale provinciale d'Espagne où
le changement a eu lieu. L'automatisation n'a commencé dans
le reste de la province de Teruel, avec les systèmes Pentaconta
ou PC-32, qu'en 1973 (Alcañiz). Le reste de la province à
partir de 1976.
Toutes les données et dates indiquées ont été
extraites des Rapports de l'exercice social du CTNE (1927-1976).
sommaire
LA COMMUTATION semi-électronique :
L'avancée imparable de l'informatique, aidée
par l'introduction de la microélectronique, a fourni un nouvel
élément pour changer les concepteurs: l'ordinateur.
La capacité de traitement de ces nouveaux appareils et le stockage
des programmes dans leur mémoire, ont permis d'avoir une grande
flexibilité pour le contrôle des réseaux internes
des systèmes et aussi des réseaux externes. L'ordinateur
est déjà devenu l'organe de base des organes de contrôle
et, bien entendu, au moins deux ordinateurs ont été
utilisés pour des raisons de sécurité.
Son fonctionnement a été principalement ajusté
à deux schémas: le partage de charge et la microsynchronisation.
- Dans le premier, les ordinateurs distribuaient
l'attention du trafic et en cas de panne, l'ordinateur «survivant»
prenait en charge le trafic total, recevant les informations en cours
dans l'ordinateur manquant.
-En microsynchronisation, les deux ordinateurs fonctionnaient absolument
en parallèle, il n'y avait donc aucune perte d'information
(due à la duplication) si l'un d'entre eux échouait.
Un autre aspect qui a été détecté était
la commodité de concevoir des ordinateurs spécialement
conçus pour le processus d'information en temps réel,
une exigence essentielle dans la commutation, tout comme les grandes
entreprises. Exemple: familles ITT 1600 et 3200.
Afin de profiter de tous les avantages des ordinateurs, il a fallu
trouver de nouveaux éléments (toujours électromécaniques
en raison de la disponibilité technologique) pour constituer
le réseau de connexion afin que leurs temps daction soient
en ligne avec ceux réglé par l'électronique.
Les premières solutions utilisaient des relais «reed»
scellés qui avaient des temps d'actionnement très courts
et maintenaient une qualité de transmission élevée
dans leurs contacts en raison de l'atmosphère inerte dans laquelle
ils travaillaient à l'intérieur de l'ampoule en verre.
Le maintien de l'actionnement des contacts était réalisé
par le flux constant de courant à travers la bobine ou par
l'action d'un circuit magnétique "bistable" régi
par des impulsions de sens différents.
Les relais Reed de ce dernier type ont été utilisés
par Western Electric dans ses systèmes 1/2/3 ESS depuis 1965
et plus tard en Allemagne où le système EWS a été
développé sous la direction du Bundespost et avec la
collaboration de Siemens, ITT Standard Elektrik, DTW et Telenorma.
Un système typique de «roseaux» tenus par le courant
était le Metaconta 10C conçu par Bell Telephone Mfg.
avec laquelle une première installation a été
réalisée en Belgique en 1967.
Le problème des matrices de connexion
avec relais «reed» était leur coût et leur
volume, ce qui a conduit à la recherche de solutions basées
sur la miniaturisation du multi-sélecteur crossbar.
En conséquence, ITT a conçu le «Miniswitch»
qui était monté sur une carte de circuit imprimé,
fonctionnait par impulsions, avait une rétention mécanique
et était utilisé dans les systèmes 11A / B /
C de la famille Metaconta, systèmes qui ont commencé
à être opérationnels en 1972.
En Espagne, un centre à technologie 11A a été
installée à Valence en 1979 pour gérer le trafic
international, conçue par Standard Eléctrica.
Un autre exemple de l'évolution du multi-sélecteur à
barres croisées est le «sélecteur de code»
utilisé par LM Ericsson système ARE.
Toujours en Allemagne, un ensemble de relais miniatures a été
utilisé pour créer des points de croisement, à
l'origine du système ESK de Siemens. Les commutateurs multi-sélecteurs
crossbar «classiques» allaient encore jouer un rôle
important dans ce monde semi-électronique.
L'utilisation de circuits "intermédiaires" pour le
stockage des informations "buffer" il a permis de concilier
les temps de fonctionnement relativement élevés du multi-sélecteur
avec la vitesse des calculateurs.
En appliquant cette technique, Standard Eléctrica a développé
le système Pentaconta 2000, dont la première
usine a été mise en service à Madrid en 1978.
De son côté, LM Ericsson avait utilisé les multi-sélecteurs
de la famille ARF / M pour créer le système ARE,
Un exemple à souligner est la zone de tarification où
le compteur d'impulsions classique a été remplacé
par des programmes qui produisaient des informations où le
détail pouvait être porté à n'importe quel
niveau souhaité. La disponibilité de ces services et
installations dans les nouveaux systèmes a dans de nombreux
cas forcé la mise à jour des barres transversales existantes
et même des centres rotatifs en remplaçant partiellement
ou totalement leurs organes de commande par des dispositifs électroniques.
Dans tous les systèmes semi-électroniques, il y a eu
une réduction très notable dans le volume total de leur
équipement, avec lequel les besoins de l'usine étaient
également moindres, une caractéristique particulièrement
appréciée par les compagnies de téléphone.
Commutation électronique spatiale
Parallèlement au développement de systèmes semi-électroniques,
une tentative a été faite pour résoudre le problème
de la création d'un réseau de connexion purement électronique.
Les premiers pas ont été réalisés à
l'aide de vannes électroniques à cathode froide (les
vannes chauffantes étaient inapplicables en raison de la dissipation)
pour constituer les points de passage et dans les années 60
il y avait déjà des installations d'essais en service
(Laboratoires ITT à Paris).
Les progrès des semi-conducteurs ont également permis
de réaliser d'autres conceptions comme les tableaux TSC5 d'ITT
Telecom aux États-Unis qui utilisaient des composants à
l'état solide dans les points de croisement des matrices de
connexion, mais cette technologie ne pouvait pas être appliquée
aux grands échanges dans un manière économique,
de sorte que leur utilisation a été limitée à
de petits échanges, principalement dans le domaine des communications
privées où il est encore utilisé.
Commutation électronique temporelle
Le grand bond en avant dans les techniques de commutation a été
conduit par l'introduction de la "commutation temporelle"
vers le milieu des années 70, du fait que les progrès
de l'informatique et de la microélectronique ont fourni les
nouveaux outils nécessaires.
La base était constituée par la numérisation
des signaux vocaux analogiques, conçue par A.H. Reeves en 1937
aux Laboratoires ITT de Paris pour résoudre le problème
de la qualité de transmission dans les liaisons radio à
cette époque. Ainsi est née la modulation codée
par impulsions, MIC (PCM). Selon les théories de C.E. Shannon
de Bell Labs peut échantillonner un signal analogique à
une certaine cadence et être capable de reconstruire ce même
signal à partir des échantillons sans perte de qualité
appréciable. L'idée de Reeves était de coder
le niveau des échantillons avec un code binaire afin que ce
qui était transmis soit une série de 0 et de 1 qui,
comme les impulsions qui les représentaient étaient
régénérables, étaient très résistantes
aux perturbations radioélectriques. Cette conversion de signaux
analogiques en "données" constitue une "numérisation",
si largement utilisée aujourd'hui dans les domaines du son
et de l'image.
L'échantillonnage et la numérisation
sont effectués dans les circuits.En ce qui concerne la signalisation
entre centraux, il était logique d'utiliser des canaux séparés
pour l'envoi.Il est évident que tout cela n'était pas
possible jusqu'à la disponibilité des techniques d'intégration
élevées typiques de l'entrée du panneau de contrôle
à un niveau typique. taux de 8 000 échantillons par
seconde, utilisant 8 bits pour coder le niveau détecté,
soit un total de 64 Kbits par canal. Lorsqu'un abonné effectue
une communication, ces «données» sont stockées
dans des «mémoires» pour être «lues»
ultérieurement dans un ordre différent, déterminé
par les instructions de sélection qui ont été
générées dans les calculateurs à partir
de la numérotation marquée par l'abonné. Cette
«séquence de sortie» différente des signaux
est la manifestation d'une transposition dans le temps donnant lieu
à une «commutation temporelle».
Le réseau de connexion est désormais constitué
d'une série de multi-sélecteurs temporaires. En réalité,
pour le panneau de contrôle, les échantillons de parole
sont simplement des nombres binaires qui peuvent être stockés
et traités comme toutes les autres données que les ordinateurs
manipulent normalement. Il est à noter que dans un central
électronique temporaire les lignes d'abonnés ne sont
pas connectées en permanence comme dans les centraux précédents,
avec des réseaux de connexion «physiques» (et spatiaux),
mais toutes les opérations sont effectuées à
un débit tel qu'il n'y a pas de effet par les abonnés
à l'information, un nouveau code, n ° 7, ayant été
défini par le CCITT, qui utilise des techniques de transmission
de données adaptées aux besoins de la commutation Microélectronique
aussi bien dans des circuits spécifiques que dans des ordinateurs
(microprocesseurs sur certains systèmes). Pour cette raison,
les premières expériences n'apparaissent que dans la
seconde moitié des années 70 (4ESS et 5ESS de Western
Electric / Bell Labs), à signaler les travaux du Centre National
d'Études des Télécommunications qui, en Bretagne
(Lannion ) a conçu un réseau qui a servi de base au
système E10 commercialisé plus tard par Alcatel.
De son côté, LM Ericsson a développé le
système AX qui, dans un premier temps, était assisté
par des relais «reed» dans la phase de connexion de l'abonné,
mais qui est ensuite devenu purement électronique en fonction
de la disponibilité des composants.
C'est pareil La disponibilité, spécifiée dans
les microprocesseurs, a permis à ITT de concevoir le système
12 avec un schéma de contrôle largement distribué
par rapport à la centralisation des ordinateurs dans d'autres
systèmes, ce qui a permis une mise à l'échelle
progressive de la capacité des centrales, réduisant
les coûts pour les petites tailles et pour les extensions.
En 1984, Standard Eléctrica a installé un système
central 12 avec 10000 lignes à Salamanque, ce qui était
l'une des premières étapes de la numérisation
du réseau espagnol qui serait complétée par les
équipements AX de LM Ericsson et 5ESS de Lucent (ATT).
Les centres électroniques permettent une large intégration
avec les systèmes de transmission MIC avec lesquels le réseau
numérique à intégration de services est, par
conséquent, un champ naturel pour ce type de systèmes.
En résumé: La commutation téléphonique
s'est produite au cours des cent dernières années de
la simplicité du premier qui a conçu ou après
des solutions en appliquant ces techniques. Des exemples sont les
systèmes EWSD de Siemens, DMS de Nortel et FETEX de Fujitsu.
Ils partagent des méthodes de cryptage, ouvrant la porte aux
communications haut débit essentielles pour les services multimédias
voix, données et images si largement utilisés aujourd'hui.
La première expérience en Espagne, a eu un central conçu
par le déjà Alcatel-Standard Eléctrica et installé
à l'Expo 92 de Séville Comme premier défi, l'intégration
avec les larges bandes de transmission offertes par les fibres optiques,
rendant nécessaire le recours à de nouvelles procédures
de signalisation comme le «mode de transfert asynchrone»
(ATM) qui permettent une plus grande capacité d'échange
d'informations. type pour résoudre les problèmes de
connexion entre fibres.les connexions vocales à la complexité
spectaculaire des services multimédias qui sont maintenant
disponibles et il est certain qu'il y a encore de nombreuses possibilités
à venir dans ce type de technologie.
sommaire
En 1985 Le nombre de téléphones
a continué d'augmenter, passant d'un peu plus de 4 millions
de lignes en 1970 à 14 millions en 1985.
En 1988
Le dernier standard téléphonique manuel en service en
Espagne était celui de Polopos, une ville de l'Alpujarra
de Grenade. Popolos est automatisé et le travail de la téléphoniste
n'est plus nécessaire. Par rapport à la France, l'Espagne
était très en retard sur le développement du
téléphone.
Les années 90 ont été
une période de grands changements pour Telefónica,
qui a commencé son expansion internationale dans plusieurs
pays d'Amérique latine, comme le Chili, l'Argentine ou le Pérou;
Il a été renommé Telefónica, S.A. et a
créé Telefónica de España,
la filiale qui gérait le service dans notre pays. En outre,
il a lancé Moviline, un service de téléphonie
mobile analogique, qui couvrirait pratiquement tout le territoire
espagnol.
En 1995, la téléphonie mobile numérique
a été lancée, sous le nom de Movistar.
Après quelques années de coexistence des technologies
analogiques et numériques, Moviline a été arrêté
en 2003, laissant seulement Movistar comme marque de téléphonie
mobile de Telefónica.
Initialement, la société utilisait le nom "Telefónica"
ou "Movistar" dans les différents pays dans lesquels
elle opérait, mais à partir de 2010, elle était
commercialement connue sous le nom de Movistar.
Cependant, le nom officiel de la société reste "Telefónica
de España, S.A.U." en ce qui concerne les lignes
fixes et Internet, et "Telefónica
Móviles España, S.A.U." pour la téléphonie
mobile et la télévision.
Au cours de la dernière décennie du 20e siècle,
la société a été privatisée par
le biais d'une offre publique d'acquisition (OPA) en 1995, et une
autre en 1999. La libéralisation des communications, qui a
commencé en 1996, a accru la concurrence, à travers
des sociétés comme Airtel (qui ferait plus tard partie
de Vodafone Espagne), commençant le combat non seulement pour
la téléphonie fixe, jusqu'à présent la
seule qui existait, mais surtout pour la téléphonie
mobile naissante et la connexion Internet.
Au cours des décennies suivantes, Telefónica a
poursuivi son internationalisation, devenant l'une des plus
grandes entreprises de télécommunications au monde,
avec l'acquisition de diverses sociétés, y compris sur
le territoire européen, comme le britannique O2 ou l'allemand
E-Plus.
Actuellement, l'entreprise est présente dans plus de 20 pays,
en Europe et en Amérique latine. Bien que la plupart de ses
avantages proviennent de trois d'entre eux: l'Espagne, l'Allemagne
et le Brésil.
Quand avoir un téléphone à
la maison était presque un luxe :
Depuis son invention au 19ème siècle, le téléphone
a marqué une évolution imparable. Au fil des ans, il
est passé de quelque chose d'exceptionnel à un compagnon
de tous les jours. Dans les années soixante, le téléphone
a commencé à cesser d'être un article de luxe
et son installation a commencé à se généraliser.
Les postes téléphoniques ont également été
modernisés au fil du temps. Des premiers modèles de
bois ou de bakélite noire aux derniers déjà en
différentes couleurs, ils sont devenus une partie du mobilier
habituel dans les maisons.
Les téléphones utilisés à l'époque
étaient ceux de «batterie locale» et ceux
de «batterie centrale»: les téléphones
«batterie locale» utilisaient des batteries électriques
installées à côté d'eux, chez l'abonné.
C'étaient les dispositifs à manivelle classiques. Ils
ont commencé par être en bois, puis en bakélite
et enfin en plastique.
Les téléphones à «batterie centrale»
fonctionnaient avec le courant électrique fourni par la centrale
Telefónica elle-même, sans nécessiter de piles
locales ni de poignée de l'appareil. Dès que le téléphone
a été décroché, l'opérateur a reçu
un signal sonore et / ou lumineux indiquant qu'un abonné souhaitait
établir la communication. Bien que la tendance soit à
installer des téléphones à batterie centraux
et que l'on sache que les téléphones à batterie
locaux vont disparaître, ils continueront d'être fabriqués
pendant de nombreuses années pour répondre à
la demande de ces types de téléphones. Un exemple de
téléphones couramment utilisés peut être
le suivant
Au cours des années 1950-1990, le téléphone
phare était le modèle Heraldo (1), fabriqué
en différentes couleurs pour le bureau et le mur. Il a été
conçu pour être connecté à des systèmes
automatiques à batterie centale ou des systèmes manuels.
1 Gondola
Teide
À la fin des années 60, le modèle Gondola
est apparu, qui a coexisté avec le Heraldo pendant quelques
années, et qui est devenu très populaire dans les maisons
espagnoles au cours des deux décennies suivantes en raison
de son design innovant.
Techniquement, ce 'est rien de plus qu'un téléphone
Heraldo compressé, car il est plus petit et plus compact que
ses prédécesseurs, bien qu'il ait la particularité
d'avoir le cadran sur le combiné. Puis il est devenu un objet
culte pour ses couleurs pop et son design moderne, combiné
avec son cadran de roue, qui lui donne un look très vintage.
Le modèle Teide, a été l'un des premiers
téléphones totalement électroniques, il a atteint
les foyers à la fin des années 70. Il avait une double
sonnerie et sa numérotation se fait par impulsions. C'était
probablement le modèle le plus implémenté par
l'entreprise dans les années quatre-vingt.
Dans les années 90, et de la main d'Alberto Corazón,
le Dôme est arrivé. Un terminal fixe très
populaire et bon marché. La plupart des abonnés ont
eu ou ont une de ses versions. C'était peut-être l'un
des derniers terminaux au design attrayant de la téléphonie
fixe, avant que l'attention ne se tourne vers les téléphones
mobiles.
sommaire
2023 L'Autorité espagnole des communications
(CNMC) a publié un rapport résumant et expliquant le
processus de fermeture des centrales reliant ses abonnés avec
le réseau cuivre de Telefónica , qui a débuté
il y a près de 10 ans.
Ce processus est entré dans une nouvelle phase, dans laquelle
l'opérateur espagnol s'est engagé à la fermeture
complète des services du réseau de cuivre.
Actuellement, 8 525 centrales téléphoniques ont déjà
une date de fermeture, à l'exception de celle de San Marcial
à San Sebastián.
Parmi elles, 2 911 devraient fermer d'ici la fin de 2023, le processus
sera très avancé en 2024 et pratiquement terminé
en 2025.
Grâce aux déploiements massifs de la fibre optique et
aux procédures établies par la CNMC, Telefónica
peut planifier rapidement la fermeture des services en cuivre, en
fixant une date ferme pour chaque centrale et en la communiquant suffisamment
à l'avance.
sommaire
|